Comparison of manual and artificial intelligence-automated choroidal thickness segmentation of optical coherence tomography imaging in myopic adults.

IF 4 1区 医学 Q1 OPHTHALMOLOGY
Zhi Wei Lim, Jonathan Li, Damon Wong, Joey Chung, Angeline Toh, Jia Ling Lee, Crystal Lam, Maithily Balakrishnan, Audrey Chia, Jacqueline Chua, Michael Girard, Quan V Hoang, Rachel Chong, Chee Wai Wong, Seang Mei Saw, Leopold Schmetterer, Noel Brennan, Marcus Ang
{"title":"Comparison of manual and artificial intelligence-automated choroidal thickness segmentation of optical coherence tomography imaging in myopic adults.","authors":"Zhi Wei Lim, Jonathan Li, Damon Wong, Joey Chung, Angeline Toh, Jia Ling Lee, Crystal Lam, Maithily Balakrishnan, Audrey Chia, Jacqueline Chua, Michael Girard, Quan V Hoang, Rachel Chong, Chee Wai Wong, Seang Mei Saw, Leopold Schmetterer, Noel Brennan, Marcus Ang","doi":"10.1186/s40662-024-00385-2","DOIUrl":null,"url":null,"abstract":"<p><strong>Background: </strong>Myopia affects 1.4 billion individuals worldwide. Notably, there is increasing evidence that choroidal thickness plays an important role in myopia and risk of developing myopia-related conditions. With the advancements in artificial intelligence (AI), choroidal thickness segmentation can now be automated, offering inherent advantages such as better repeatability, reduced grader variability, and less reliance for manpower. Hence, we aimed to evaluate the agreement between AI-automated and manual segmented measurements of subfoveal choroidal thickness (SFCT) using two swept-source optical coherence tomography (OCT) systems.</p><p><strong>Methods: </strong>Subjects aged ≥ 16 years, with myopia of ≥ 0.50 diopters in both eyes, were recruited from the Prospective Myopia Cohort Study in Singapore (PROMYSE). OCT scans were acquired using Triton DRI-OCT and PLEX Elite 9000. OCT images were segmented both automatically with an established SA-Net architecture and manually using a standard technique with adjudication by two independent graders. SFCT was subsequently determined based on the segmentation. The Bland-Altman plot and intraclass correlation coefficient (ICC) were used to evaluate the agreement.</p><p><strong>Results: </strong>A total of 229 subjects (456 eyes) with mean [± standard deviation (SD)] age of 34.1 (10.4) years were included. The overall SFCT (mean ± SD) based on manual segmentation was 216.9 ± 82.7 µm with Triton DRI-OCT and 239.3 ± 84.3 µm with PLEX Elite 9000. ICC values demonstrated excellent agreement between AI-automated and manual segmented SFCT measurements (PLEX Elite 9000: ICC = 0.937, 95% CI: 0.922 to 0.949, P < 0.001; Triton DRI-OCT: ICC = 0.887, 95% CI: 0.608 to 0.950, P < 0.001). For PLEX Elite 9000, manual segmented measurements were generally thicker when compared to AI-automated segmented measurements, with a fixed bias of 6.3 µm (95% CI: 3.8 to 8.9, P < 0.001) and proportional bias of 0.120 (P < 0.001). On the other hand, manual segmented measurements were comparatively thinner than AI-automated segmented measurements for Triton DRI-OCT, with a fixed bias of - 26.7 µm (95% CI: - 29.7 to - 23.7, P < 0.001) and proportional bias of - 0.090 (P < 0.001).</p><p><strong>Conclusion: </strong>We observed an excellent agreement in choroidal segmentation measurements when comparing manual with AI-automated techniques, using images from two SS-OCT systems. Given its edge over manual segmentation, automated segmentation may potentially emerge as the primary method of choroidal thickness measurement in the future.</p>","PeriodicalId":12194,"journal":{"name":"Eye and Vision","volume":"11 1","pages":"21"},"PeriodicalIF":4.0000,"publicationDate":"2024-06-03","publicationTypes":"Journal Article","fieldsOfStudy":null,"isOpenAccess":false,"openAccessPdf":"https://www.ncbi.nlm.nih.gov/pmc/articles/PMC11145894/pdf/","citationCount":"0","resultStr":null,"platform":"Semanticscholar","paperid":null,"PeriodicalName":"Eye and Vision","FirstCategoryId":"3","ListUrlMain":"https://doi.org/10.1186/s40662-024-00385-2","RegionNum":1,"RegionCategory":"医学","ArticlePicture":[],"TitleCN":null,"AbstractTextCN":null,"PMCID":null,"EPubDate":"","PubModel":"","JCR":"Q1","JCRName":"OPHTHALMOLOGY","Score":null,"Total":0}
引用次数: 0

Abstract

Background: Myopia affects 1.4 billion individuals worldwide. Notably, there is increasing evidence that choroidal thickness plays an important role in myopia and risk of developing myopia-related conditions. With the advancements in artificial intelligence (AI), choroidal thickness segmentation can now be automated, offering inherent advantages such as better repeatability, reduced grader variability, and less reliance for manpower. Hence, we aimed to evaluate the agreement between AI-automated and manual segmented measurements of subfoveal choroidal thickness (SFCT) using two swept-source optical coherence tomography (OCT) systems.

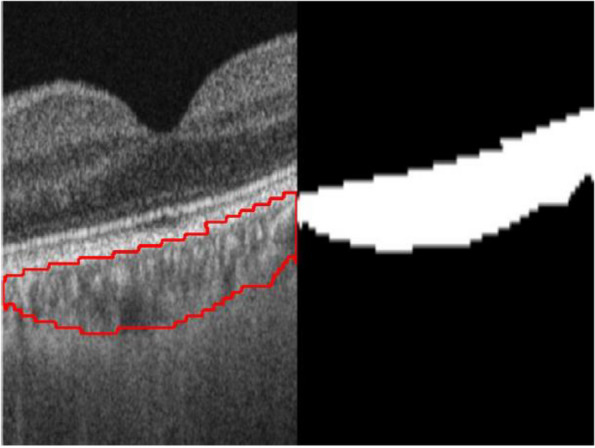
Methods: Subjects aged ≥ 16 years, with myopia of ≥ 0.50 diopters in both eyes, were recruited from the Prospective Myopia Cohort Study in Singapore (PROMYSE). OCT scans were acquired using Triton DRI-OCT and PLEX Elite 9000. OCT images were segmented both automatically with an established SA-Net architecture and manually using a standard technique with adjudication by two independent graders. SFCT was subsequently determined based on the segmentation. The Bland-Altman plot and intraclass correlation coefficient (ICC) were used to evaluate the agreement.

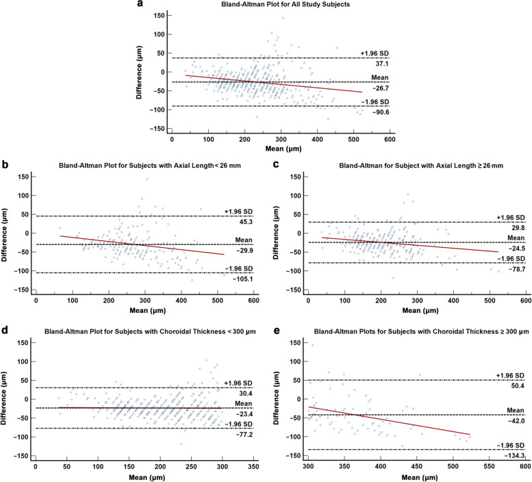
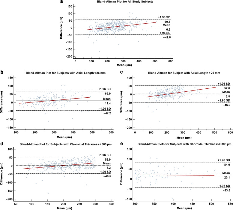
Results: A total of 229 subjects (456 eyes) with mean [± standard deviation (SD)] age of 34.1 (10.4) years were included. The overall SFCT (mean ± SD) based on manual segmentation was 216.9 ± 82.7 µm with Triton DRI-OCT and 239.3 ± 84.3 µm with PLEX Elite 9000. ICC values demonstrated excellent agreement between AI-automated and manual segmented SFCT measurements (PLEX Elite 9000: ICC = 0.937, 95% CI: 0.922 to 0.949, P < 0.001; Triton DRI-OCT: ICC = 0.887, 95% CI: 0.608 to 0.950, P < 0.001). For PLEX Elite 9000, manual segmented measurements were generally thicker when compared to AI-automated segmented measurements, with a fixed bias of 6.3 µm (95% CI: 3.8 to 8.9, P < 0.001) and proportional bias of 0.120 (P < 0.001). On the other hand, manual segmented measurements were comparatively thinner than AI-automated segmented measurements for Triton DRI-OCT, with a fixed bias of - 26.7 µm (95% CI: - 29.7 to - 23.7, P < 0.001) and proportional bias of - 0.090 (P < 0.001).

Conclusion: We observed an excellent agreement in choroidal segmentation measurements when comparing manual with AI-automated techniques, using images from two SS-OCT systems. Given its edge over manual segmentation, automated segmentation may potentially emerge as the primary method of choroidal thickness measurement in the future.

Abstract Image

Abstract Image

Abstract Image

近视成人光学相干断层成像的脉络膜厚度人工分割与人工智能自动分割的比较。
背景:全世界有 14 亿人患有近视。值得注意的是,越来越多的证据表明脉络膜厚度在近视和近视相关疾病的发病风险中起着重要作用。随着人工智能(AI)的发展,脉络膜厚度的分割现在可以实现自动化,从而提供了固有的优势,如更好的可重复性、降低分级机的可变性以及减少对人力的依赖。因此,我们旨在评估使用两种扫源光学相干断层扫描(OCT)系统对脉络膜下厚度(SFCT)进行人工智能自动分段测量与手动分段测量之间的一致性:从新加坡前瞻性近视队列研究(PROMYSE)中招募年龄≥ 16 岁、双眼近视度数≥ 0.50 度的受试者。使用 Triton DRI-OCT 和 PLEX Elite 9000 采集了 OCT 扫描图像。OCT 图像采用已建立的 SA-Net 架构自动分割,也采用标准技术手动分割,并由两名独立分级人员进行裁决。随后根据分割结果确定 SFCT。布兰德-阿尔特曼图和类内相关系数(ICC)用于评估一致性:共纳入 229 名受试者(456 只眼),平均[± 标准差 (SD)]年龄为 34.1 (10.4)岁。Triton DRI-OCT 和 PLEX Elite 9000 根据手动分割得出的总体 SFCT(平均值±标准差)分别为 216.9 ± 82.7 µm 和 239.3 ± 84.3 µm。ICC 值显示,AI 自动和手动分割 SFCT 测量结果之间的一致性极佳(PLEX Elite 9000:ICC = 0.937,95% CI:0.922 至 0.949,P 结论:AI 自动和手动分割 SFCT 测量结果之间的一致性极佳(PLEX Elite 9000:ICC = 0.937,95% CI:0.922 至 0.949,P 结论):我们使用两套 SS-OCT 系统的图像,比较了人工和 AI 自动技术,发现两者在脉络膜分割测量方面的一致性非常好。与手动分割相比,自动分割技术更具优势,有可能成为未来测量脉络膜厚度的主要方法。
本文章由计算机程序翻译,如有差异,请以英文原文为准。
求助全文
约1分钟内获得全文 求助全文
来源期刊
Eye and Vision
Eye and Vision OPHTHALMOLOGY-
CiteScore
8.60
自引率
2.40%
发文量
89
审稿时长
15 weeks
期刊介绍: Eye and Vision is an open access, peer-reviewed journal for ophthalmologists and visual science specialists. It welcomes research articles, reviews, methodologies, commentaries, case reports, perspectives and short reports encompassing all aspects of eye and vision. Topics of interest include but are not limited to: current developments of theoretical, experimental and clinical investigations in ophthalmology, optometry and vision science which focus on novel and high-impact findings on central issues pertaining to biology, pathophysiology and etiology of eye diseases as well as advances in diagnostic techniques, surgical treatment, instrument updates, the latest drug findings, results of clinical trials and research findings. It aims to provide ophthalmologists and visual science specialists with the latest developments in theoretical, experimental and clinical investigations in eye and vision.
×
引用
GB/T 7714-2015
复制
MLA
复制
APA
复制
导出至
BibTeX EndNote RefMan NoteFirst NoteExpress
×
提示
您的信息不完整,为了账户安全,请先补充。
现在去补充
×
提示
您因"违规操作"
具体请查看互助需知
我知道了
×
提示
确定
请完成安全验证×
copy
已复制链接
快去分享给好友吧!
我知道了
右上角分享
点击右上角分享
0
联系我们:info@booksci.cn Book学术提供免费学术资源搜索服务,方便国内外学者检索中英文文献。致力于提供最便捷和优质的服务体验。 Copyright © 2023 布克学术 All rights reserved.
京ICP备2023020795号-1
ghs 京公网安备 11010802042870号
Book学术文献互助
Book学术文献互助群
群 号:604180095
Book学术官方微信