Testing mixing rules for structural and dynamical quantities in multi-component crowded protein solutions.

IF 4.1 3区 医学 Q1 ENGINEERING, BIOMEDICAL
APL Bioengineering Pub Date : 2024-05-29 eCollection Date: 2024-06-01 DOI:10.1063/5.0204201
Alessandro Gulotta, Saskia Bucciarelli, Felix Roosen-Runge, Olaf Holderer, Peter Schurtenberger, Anna Stradner
{"title":"Testing mixing rules for structural and dynamical quantities in multi-component crowded protein solutions.","authors":"Alessandro Gulotta, Saskia Bucciarelli, Felix Roosen-Runge, Olaf Holderer, Peter Schurtenberger, Anna Stradner","doi":"10.1063/5.0204201","DOIUrl":null,"url":null,"abstract":"<p><p>Crowding effects significantly influence the phase behavior and the structural and dynamic properties of the concentrated protein mixtures present in the cytoplasm of cells or in the blood serum. This poses enormous difficulties for our theoretical understanding and our ability to predict the behavior of these systems. While the use of course grained colloid-inspired models allows us to reproduce the key physical solution properties of concentrated monodisperse solutions of individual proteins, we lack corresponding theories for complex polydisperse mixtures. Here, we test the applicability of simple mixing rules in order to predict solution properties of protein mixtures. We use binary mixtures of the well-characterized bovine eye lens proteins <i>α</i> and <i>γ<sub>B</sub></i> crystallin as model systems. Combining microrheology with static and dynamic scattering techniques and observations of the phase diagram for liquid-liquid phase separation, we show that reasonably accurate descriptions are possible for macroscopic and mesoscopic signatures, while information on the length scale of the individual protein size requires more information on cross-component interaction.</p>","PeriodicalId":46288,"journal":{"name":"APL Bioengineering","volume":"8 2","pages":"026116"},"PeriodicalIF":4.1000,"publicationDate":"2024-05-29","publicationTypes":"Journal Article","fieldsOfStudy":null,"isOpenAccess":false,"openAccessPdf":"https://www.ncbi.nlm.nih.gov/pmc/articles/PMC11143939/pdf/","citationCount":"0","resultStr":null,"platform":"Semanticscholar","paperid":null,"PeriodicalName":"APL Bioengineering","FirstCategoryId":"5","ListUrlMain":"https://doi.org/10.1063/5.0204201","RegionNum":3,"RegionCategory":"医学","ArticlePicture":[],"TitleCN":null,"AbstractTextCN":null,"PMCID":null,"EPubDate":"2024/6/1 0:00:00","PubModel":"eCollection","JCR":"Q1","JCRName":"ENGINEERING, BIOMEDICAL","Score":null,"Total":0}
引用次数: 0

Abstract

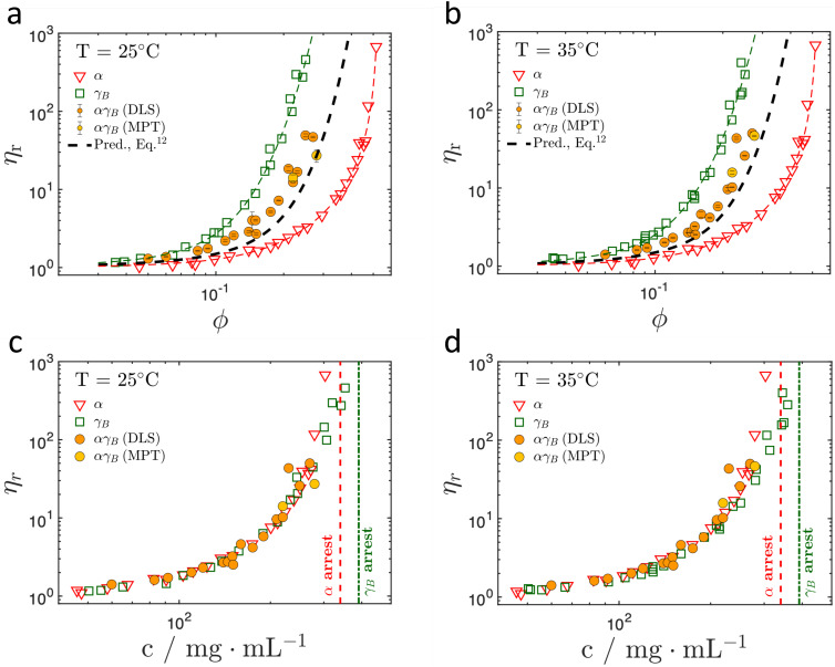
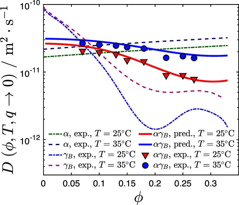
Crowding effects significantly influence the phase behavior and the structural and dynamic properties of the concentrated protein mixtures present in the cytoplasm of cells or in the blood serum. This poses enormous difficulties for our theoretical understanding and our ability to predict the behavior of these systems. While the use of course grained colloid-inspired models allows us to reproduce the key physical solution properties of concentrated monodisperse solutions of individual proteins, we lack corresponding theories for complex polydisperse mixtures. Here, we test the applicability of simple mixing rules in order to predict solution properties of protein mixtures. We use binary mixtures of the well-characterized bovine eye lens proteins α and γB crystallin as model systems. Combining microrheology with static and dynamic scattering techniques and observations of the phase diagram for liquid-liquid phase separation, we show that reasonably accurate descriptions are possible for macroscopic and mesoscopic signatures, while information on the length scale of the individual protein size requires more information on cross-component interaction.

Abstract Image

Abstract Image

Abstract Image

测试多组分拥挤蛋白质溶液中结构和动态量的混合规则。
拥挤效应极大地影响了细胞胞质或血清中浓缩蛋白质混合物的相行为以及结构和动态特性。这给我们的理论理解和预测这些系统行为的能力带来了巨大困难。虽然使用微粒胶体启发模型可以让我们再现单个蛋白质的单分散浓缩溶液的关键物理溶液特性,但对于复杂的多分散混合物,我们却缺乏相应的理论。在此,我们测试了简单混合规则的适用性,以预测蛋白质混合物的溶液特性。我们使用特性良好的牛眼晶状体蛋白 α 和 γB 结晶蛋白的二元混合物作为模型系统。结合微流变学、静态和动态散射技术以及液-液相分离相图的观察,我们表明可以对宏观和介观特征进行合理准确的描述,而关于单个蛋白质大小的长度尺度信息则需要更多关于跨组分相互作用的信息。
本文章由计算机程序翻译,如有差异,请以英文原文为准。
求助全文
约1分钟内获得全文 求助全文
来源期刊
APL Bioengineering
APL Bioengineering ENGINEERING, BIOMEDICAL-
CiteScore
9.30
自引率
6.70%
发文量
39
审稿时长
19 weeks
期刊介绍: APL Bioengineering is devoted to research at the intersection of biology, physics, and engineering. The journal publishes high-impact manuscripts specific to the understanding and advancement of physics and engineering of biological systems. APL Bioengineering is the new home for the bioengineering and biomedical research communities. APL Bioengineering publishes original research articles, reviews, and perspectives. Topical coverage includes: -Biofabrication and Bioprinting -Biomedical Materials, Sensors, and Imaging -Engineered Living Systems -Cell and Tissue Engineering -Regenerative Medicine -Molecular, Cell, and Tissue Biomechanics -Systems Biology and Computational Biology
×
引用
GB/T 7714-2015
复制
MLA
复制
APA
复制
导出至
BibTeX EndNote RefMan NoteFirst NoteExpress
×
提示
您的信息不完整,为了账户安全,请先补充。
现在去补充
×
提示
您因"违规操作"
具体请查看互助需知
我知道了
×
提示
确定
请完成安全验证×
copy
已复制链接
快去分享给好友吧!
我知道了
右上角分享
点击右上角分享
0
联系我们:info@booksci.cn Book学术提供免费学术资源搜索服务,方便国内外学者检索中英文文献。致力于提供最便捷和优质的服务体验。 Copyright © 2023 布克学术 All rights reserved.
京ICP备2023020795号-1
ghs 京公网安备 11010802042870号
Book学术文献互助
Book学术文献互助群
群 号:604180095
Book学术官方微信