Evaluation of Immune Characteristics and Factors Associated with Immune Response following Hepatitis B Vaccination among Ghanaian Adolescents.

IF 1.4 Q4 VIROLOGY
Advances in Virology Pub Date : 2024-05-24 eCollection Date: 2024-01-01 DOI:10.1155/2024/9502939
Samuel Asamoah Sakyi, Joseph Badu Gyapong, Ebenezer Krampah Aidoo, Alfred Effah, Simon Koffie, Oscar Simon Olympio Mensah, Isaac Arddey, Godwin Boakye, Stephen Opoku, Benjamin Amoani, Robert Amadu Ngala
{"title":"Evaluation of Immune Characteristics and Factors Associated with Immune Response following Hepatitis B Vaccination among Ghanaian Adolescents.","authors":"Samuel Asamoah Sakyi, Joseph Badu Gyapong, Ebenezer Krampah Aidoo, Alfred Effah, Simon Koffie, Oscar Simon Olympio Mensah, Isaac Arddey, Godwin Boakye, Stephen Opoku, Benjamin Amoani, Robert Amadu Ngala","doi":"10.1155/2024/9502939","DOIUrl":null,"url":null,"abstract":"<p><strong>Background: </strong>WHO recommends HBV-negative babies in high-prevalence (8%) countries receive anti-HBV vaccination. Ghana initiated mass immunization in 2002, but concerns remain about vaccine effectiveness and long-term protection. We evaluated immune characteristics and factors following hepatitis B vaccination among Ghanaian adolescents who received HBV vaccines.</p><p><strong>Methods: </strong>In this longitudinal cross-sectional study, 74 participants were enrolled from the Kumasi Metropolis, Ghana. Sociodemographic and lifestyle characteristics of participants were obtained using a questionnaire. Blood samples were obtained before and after booster administration for anti-HBsAg, IL-6, and IL-10 estimations using ELISA kit (Shanghai Chemical Ltd., China). Anti-HBsAg titers ≥10 mIU/ml were considered protective. Statistical analyses were done using SPSS version 26.0 and R programming language, <i>p</i> < 0.05 was considered statistically significant.</p><p><strong>Results: </strong>We found 100% seroconversion rate, with 25.7% seroprotection rate (anti-HBsAg >10 mIU/ml). Gender (<i>p</i>=0.009), age (<i>p</i>=0.001), and exercising (<i>p</i>=0.044) were significantly associated with seroprotection. Following booster administration, 59.4% were hyporesponders (10 ≤ anti-HBsAg titre ≤99 mIU/ml) whilst 40.6% were good responders (anti-HBsAg titre ≥100 mIU/ml). Exercise (<i>p</i>=0.034) was significantly associated with immune response after booster administration. Moreover, we reported significant positive correlation between cytokines [IL-6 (<i>r</i> = 0.817, <i>p</i> < 0.001) and IL-10 (<i>r</i> = 0.928, <i>p</i> < 0.001)] and anti-HBsAg titre.</p><p><strong>Conclusion: </strong>Approximately two thirds of adolescents vaccinated at birth lack protective levels of antibodies against hepatitis B virus. Booster vaccines could aid in mounting protective levels of anti-HBsAg. Physical exercise was negatively associated with immune response to hepatitis B vaccinations.</p>","PeriodicalId":7473,"journal":{"name":"Advances in Virology","volume":"2024 ","pages":"9502939"},"PeriodicalIF":1.4000,"publicationDate":"2024-05-24","publicationTypes":"Journal Article","fieldsOfStudy":null,"isOpenAccess":false,"openAccessPdf":"https://www.ncbi.nlm.nih.gov/pmc/articles/PMC11142859/pdf/","citationCount":"0","resultStr":null,"platform":"Semanticscholar","paperid":null,"PeriodicalName":"Advances in Virology","FirstCategoryId":"1085","ListUrlMain":"https://doi.org/10.1155/2024/9502939","RegionNum":0,"RegionCategory":null,"ArticlePicture":[],"TitleCN":null,"AbstractTextCN":null,"PMCID":null,"EPubDate":"2024/1/1 0:00:00","PubModel":"eCollection","JCR":"Q4","JCRName":"VIROLOGY","Score":null,"Total":0}
引用次数: 0

Abstract

Background: WHO recommends HBV-negative babies in high-prevalence (8%) countries receive anti-HBV vaccination. Ghana initiated mass immunization in 2002, but concerns remain about vaccine effectiveness and long-term protection. We evaluated immune characteristics and factors following hepatitis B vaccination among Ghanaian adolescents who received HBV vaccines.

Methods: In this longitudinal cross-sectional study, 74 participants were enrolled from the Kumasi Metropolis, Ghana. Sociodemographic and lifestyle characteristics of participants were obtained using a questionnaire. Blood samples were obtained before and after booster administration for anti-HBsAg, IL-6, and IL-10 estimations using ELISA kit (Shanghai Chemical Ltd., China). Anti-HBsAg titers ≥10 mIU/ml were considered protective. Statistical analyses were done using SPSS version 26.0 and R programming language, p < 0.05 was considered statistically significant.

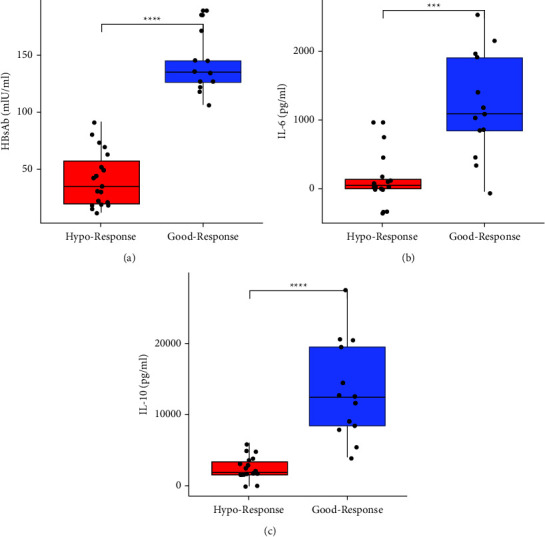
Results: We found 100% seroconversion rate, with 25.7% seroprotection rate (anti-HBsAg >10 mIU/ml). Gender (p=0.009), age (p=0.001), and exercising (p=0.044) were significantly associated with seroprotection. Following booster administration, 59.4% were hyporesponders (10 ≤ anti-HBsAg titre ≤99 mIU/ml) whilst 40.6% were good responders (anti-HBsAg titre ≥100 mIU/ml). Exercise (p=0.034) was significantly associated with immune response after booster administration. Moreover, we reported significant positive correlation between cytokines [IL-6 (r = 0.817, p < 0.001) and IL-10 (r = 0.928, p < 0.001)] and anti-HBsAg titre.

Conclusion: Approximately two thirds of adolescents vaccinated at birth lack protective levels of antibodies against hepatitis B virus. Booster vaccines could aid in mounting protective levels of anti-HBsAg. Physical exercise was negatively associated with immune response to hepatitis B vaccinations.

Abstract Image

Abstract Image

Abstract Image

评估加纳青少年接种乙型肝炎疫苗后的免疫特征以及与免疫反应相关的因素。
背景:世卫组织建议高感染率(8%)国家的 HBV 阴性婴儿接种抗 HBV 疫苗。加纳于 2002 年启动了大规模免疫接种,但人们对疫苗的有效性和长期保护仍存在担忧。我们对加纳青少年接种乙肝疫苗后的免疫特征和因素进行了评估:在这项纵向横断面研究中,74 名参与者来自加纳库马西大都会。通过问卷调查获得了参与者的社会人口学和生活方式特征。在注射疫苗前后采集血样,使用 ELISA 试剂盒(中国上海化学有限公司)估测抗-HBsAg、IL-6 和 IL-10。抗-HBsAg滴度≥10 mIU/ml为保护性滴度。使用 SPSS 26.0 版和 R 程序语言进行统计分析,P < 0.05 为差异有统计学意义:我们发现血清转换率为 100%,血清保护率为 25.7%(抗-HBsAg >10 mIU/ml)。性别(p=0.009)、年龄(p=0.001)和运动(p=0.044)与血清保护率显著相关。接受强化治疗后,59.4%的患者为低应答者(10 ≤抗-HBsAg滴度≤99 mIU/ml),40.6%的患者为良好应答者(抗-HBsAg滴度≥100 mIU/ml)。运动(p=0.034)与强化给药后的免疫反应有显著相关性。此外,我们还发现细胞因子[IL-6(r = 0.817,p < 0.001)和 IL-10(r = 0.928,p < 0.001)]与抗 HBsAg 滴度之间存在明显的正相关性:结论:约有三分之二在出生时接种过疫苗的青少年缺乏针对乙型肝炎病毒的保护性抗体。加强接种疫苗有助于提高抗 HBsAg 的保护性水平。体育锻炼与乙肝疫苗免疫反应呈负相关。
本文章由计算机程序翻译,如有差异,请以英文原文为准。
求助全文
约1分钟内获得全文 求助全文
来源期刊
CiteScore
2.30
自引率
0.00%
发文量
23
审稿时长
22 weeks
×
引用
GB/T 7714-2015
复制
MLA
复制
APA
复制
导出至
BibTeX EndNote RefMan NoteFirst NoteExpress
×
提示
您的信息不完整,为了账户安全,请先补充。
现在去补充
×
提示
您因"违规操作"
具体请查看互助需知
我知道了
×
提示
确定
请完成安全验证×
copy
已复制链接
快去分享给好友吧!
我知道了
右上角分享
点击右上角分享
0
联系我们:info@booksci.cn Book学术提供免费学术资源搜索服务,方便国内外学者检索中英文文献。致力于提供最便捷和优质的服务体验。 Copyright © 2023 布克学术 All rights reserved.
京ICP备2023020795号-1
ghs 京公网安备 11010802042870号
Book学术文献互助
Book学术文献互助群
群 号:604180095
Book学术官方微信