Triglyceride-Related Parameters and Symptomatic Atherosclerotic Lesions in Patients With Ischemic Stroke.

Q2 Medicine
Journal of Lipid and Atherosclerosis Pub Date : 2024-05-01 Epub Date: 2024-01-16 DOI:10.12997/jla.2024.13.2.155
Ki-Woong Nam, Hyung-Min Kwon, Yong-Seok Lee
{"title":"Triglyceride-Related Parameters and Symptomatic Atherosclerotic Lesions in Patients With Ischemic Stroke.","authors":"Ki-Woong Nam, Hyung-Min Kwon, Yong-Seok Lee","doi":"10.12997/jla.2024.13.2.155","DOIUrl":null,"url":null,"abstract":"<p><strong>Objective: </strong>Recently, evidence has suggested that the pathophysiology and risk factors of intracranial atherosclerosis (ICAS) differs from those of extracranial atherosclerosis (ECAS). In addition, novel parameters reflecting metabolic conditions, such as insulin resistance or atherogenic dyslipidemia, based on triglycerides (TG) and other biomarkers, have emerged. In this study, we evaluated the association between TG-related parameters and symptomatic cerebral atherosclerosis in patients with acute ischemic stroke resulting from large artery atherosclerosis (LAA).</p><p><strong>Methods: </strong>We assessed consecutive acute LAA-stroke patients between January 2010 and December 2020. Based on the radiological findings, we classified the relevant symptomatic arteries that caused the index stroke into LAA-ICAS and LAA-ECAS. As TG-related parameters, the atherogenic index of plasma (AIP) and TG-glucose (TyG) index were calculated according to the following formulas: AIP = log<sub>10</sub> (TG Level/High-density Lipoprotein Cholesterol Level), TyG Index = Ln (TG Level × Glucose Level/2).</p><p><strong>Results: </strong>A total of 519 patients with LAA-stroke were evaluated. In multivariable logistic regression analysis to identify predictors of LAA-ICAS, AIP was significantly associated with LAA-ICAS (adjusted odds ratio [aOR], 3.60; 95% confidence interval [CI], 1.60-8.06). TyG index also showed a statistically significant relationship with LAA-ICAS (aOR, 1.60; 95% CI, 1.11-2.32). However, TG per se did not show a statistical association with LAA-ECAS.</p><p><strong>Conclusion: </strong>TG-related parameters were more closely associated with stroke by ICAS than by ECAS. The metabolic conditions reflected by the AIP or TyG index, rather than hypertriglyceridemia itself, may play a greater role in determining the relevant vessel causally involved in a stroke.</p>","PeriodicalId":16284,"journal":{"name":"Journal of Lipid and Atherosclerosis","volume":"13 2","pages":"155-165"},"PeriodicalIF":0.0000,"publicationDate":"2024-05-01","publicationTypes":"Journal Article","fieldsOfStudy":null,"isOpenAccess":false,"openAccessPdf":"https://www.ncbi.nlm.nih.gov/pmc/articles/PMC11140243/pdf/","citationCount":"0","resultStr":null,"platform":"Semanticscholar","paperid":null,"PeriodicalName":"Journal of Lipid and Atherosclerosis","FirstCategoryId":"1085","ListUrlMain":"https://doi.org/10.12997/jla.2024.13.2.155","RegionNum":0,"RegionCategory":null,"ArticlePicture":[],"TitleCN":null,"AbstractTextCN":null,"PMCID":null,"EPubDate":"2024/1/16 0:00:00","PubModel":"Epub","JCR":"Q2","JCRName":"Medicine","Score":null,"Total":0}
引用次数: 0

Abstract

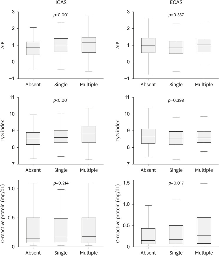
Objective: Recently, evidence has suggested that the pathophysiology and risk factors of intracranial atherosclerosis (ICAS) differs from those of extracranial atherosclerosis (ECAS). In addition, novel parameters reflecting metabolic conditions, such as insulin resistance or atherogenic dyslipidemia, based on triglycerides (TG) and other biomarkers, have emerged. In this study, we evaluated the association between TG-related parameters and symptomatic cerebral atherosclerosis in patients with acute ischemic stroke resulting from large artery atherosclerosis (LAA).

Methods: We assessed consecutive acute LAA-stroke patients between January 2010 and December 2020. Based on the radiological findings, we classified the relevant symptomatic arteries that caused the index stroke into LAA-ICAS and LAA-ECAS. As TG-related parameters, the atherogenic index of plasma (AIP) and TG-glucose (TyG) index were calculated according to the following formulas: AIP = log10 (TG Level/High-density Lipoprotein Cholesterol Level), TyG Index = Ln (TG Level × Glucose Level/2).

Results: A total of 519 patients with LAA-stroke were evaluated. In multivariable logistic regression analysis to identify predictors of LAA-ICAS, AIP was significantly associated with LAA-ICAS (adjusted odds ratio [aOR], 3.60; 95% confidence interval [CI], 1.60-8.06). TyG index also showed a statistically significant relationship with LAA-ICAS (aOR, 1.60; 95% CI, 1.11-2.32). However, TG per se did not show a statistical association with LAA-ECAS.

Conclusion: TG-related parameters were more closely associated with stroke by ICAS than by ECAS. The metabolic conditions reflected by the AIP or TyG index, rather than hypertriglyceridemia itself, may play a greater role in determining the relevant vessel causally involved in a stroke.

Abstract Image

Abstract Image

Abstract Image

缺血性脑卒中患者的甘油三酯相关参数和症状性动脉粥样硬化病变
目的:最近有证据表明,颅内动脉粥样硬化(ICAS)的病理生理学和风险因素与颅外动脉粥样硬化(ECAS)不同。此外,还出现了基于甘油三酯(TG)和其他生物标记物的反映胰岛素抵抗或动脉粥样硬化性血脂异常等代谢状况的新参数。在这项研究中,我们评估了大动脉粥样硬化(LAA)导致的急性缺血性脑卒中患者的 TG 相关参数与无症状脑动脉粥样硬化之间的关系:方法:我们对2010年1月至2020年12月期间的连续急性LAA脑卒中患者进行了评估。方法:我们对 2010 年 1 月至 2020 年 12 月间的连续急性 LAA 脑卒中患者进行了评估。根据放射学检查结果,我们将引起脑卒中的相关无症状动脉分为 LAA-ICAS 和 LAA-ECAS。作为与 TG 相关的参数,血浆致动脉粥样硬化指数(AIP)和 TG-葡萄糖指数(TyG)按以下公式计算:AIP=log10(TG水平/高密度脂蛋白胆固醇水平),TyG指数=Ln(TG水平×葡萄糖水平/2):共评估了519名LAA脑卒中患者。在确定 LAA-ICAS 预测因素的多变量逻辑回归分析中,AIP 与 LAA-ICAS 显著相关(调整后比值比 [aOR],3.60;95% 置信区间 [CI],1.60-8.06)。TyG 指数与 LAA-ICAS 也有显著的统计学关系(aOR,1.60;95% CI,1.11-2.32)。然而,总胆固醇本身与 LAA-ECAS 并无统计学关联:结论:与 ECAS 相比,ICAS 的 TG 相关参数与中风的关系更为密切。AIP或TyG指数所反映的代谢状况,而不是高甘油三酯血症本身,可能在确定中风因果关系的相关血管方面发挥更大作用。
本文章由计算机程序翻译,如有差异,请以英文原文为准。
求助全文
约1分钟内获得全文 求助全文
来源期刊
Journal of Lipid and Atherosclerosis
Journal of Lipid and Atherosclerosis Medicine-Internal Medicine
CiteScore
6.90
自引率
0.00%
发文量
26
审稿时长
12 weeks
×
引用
GB/T 7714-2015
复制
MLA
复制
APA
复制
导出至
BibTeX EndNote RefMan NoteFirst NoteExpress
×
提示
您的信息不完整,为了账户安全,请先补充。
现在去补充
×
提示
您因"违规操作"
具体请查看互助需知
我知道了
×
提示
确定
请完成安全验证×
copy
已复制链接
快去分享给好友吧!
我知道了
右上角分享
点击右上角分享
0
联系我们:info@booksci.cn Book学术提供免费学术资源搜索服务,方便国内外学者检索中英文文献。致力于提供最便捷和优质的服务体验。 Copyright © 2023 布克学术 All rights reserved.
京ICP备2023020795号-1
ghs 京公网安备 11010802042870号
Book学术文献互助
Book学术文献互助群
群 号:604180095
Book学术官方微信