Effect of a juggling-based physical activity on postural stability, reaction time, and attention focus in older adults: a randomized crossover study.

IF 3.5 1区 医学 Q2 GERIATRICS & GERONTOLOGY
Jakub Malik, Natalia Główka, Wojciech Jelonek, Rafał Stemplewski, Janusz Maciaszek
{"title":"Effect of a juggling-based physical activity on postural stability, reaction time, and attention focus in older adults: a randomized crossover study.","authors":"Jakub Malik, Natalia Główka, Wojciech Jelonek, Rafał Stemplewski, Janusz Maciaszek","doi":"10.1186/s11556-024-00351-w","DOIUrl":null,"url":null,"abstract":"<p><strong>Background: </strong>In the aging society, more attention is paid to the promotion of forms of physical activity that can improve postural stability and cognitive functioning. In this context, the importance of combined exercises, requiring simultaneous physical and cognitive involvement, is emphasized. Juggling seems to be a form of activity that is both cognitively and physically demanding. The purpose of this study was to determine the effect of additional juggling exercise on postural stability and cognitive abilities in healthy, physically active older adults.</p><p><strong>Methods: </strong>Twenty-six healthy and physically active older adults (70.08±4.40 years old) were included in a randomized crossover study. The addition of juggling three times a week during four weeks was the main intervention (one period), while the control phase included four weeks with no addition of juggling (second period). Measurements of postural stability and cognitive abilities were performed before and after each period. For the purpose of postural stability assessment, a velocity of center of pressure with root mean square, area 95 percentile, medio-lateral and anterior-posterior range of motion were measured. Center of pressure signals were obtained using an AccuGait™ System force plate in three conditions: free standing, dual-task and limits of stability. The Vienna Test System was used for the assessment of selected cognitive abilities. A battery of reaction time tests and Cognitrone test were used for this purpose.</p><p><strong>Results: </strong>A significant interaction effect of intervention and time was observed in the postural stability dual-task condition in the root mean square of the center of pressure velocity in the advantage of the juggling period (medio-lateral: F=14.83, p<.01, ƞ<sub>p</sub><sup>2</sup>=.37; anterior-posterior: F=26.30, p<.01, ƞ<sub>p</sub><sup>2</sup>=.51). Additionally, moderate effect sizes were observed in the velocity of the center of pressure and variability of simple reaction time measurements, but without statistical significance.</p><p><strong>Conclusions: </strong>The results of this study indicate that the implementation of juggling activity in everyday life may have positive effects on cognitive abilities and postural stability in healthy, physically active older adults, but the true effect may be low to moderate.</p><p><strong>Trial registration: </strong>The study was registered retrospectively (30.10.2023) at ClinicalTrials.gov (NCT06108713).</p>","PeriodicalId":50477,"journal":{"name":"European Review of Aging and Physical Activity","volume":"21 1","pages":"15"},"PeriodicalIF":3.5000,"publicationDate":"2024-05-31","publicationTypes":"Journal Article","fieldsOfStudy":null,"isOpenAccess":false,"openAccessPdf":"https://www.ncbi.nlm.nih.gov/pmc/articles/PMC11143604/pdf/","citationCount":"0","resultStr":null,"platform":"Semanticscholar","paperid":null,"PeriodicalName":"European Review of Aging and Physical Activity","FirstCategoryId":"3","ListUrlMain":"https://doi.org/10.1186/s11556-024-00351-w","RegionNum":1,"RegionCategory":"医学","ArticlePicture":[],"TitleCN":null,"AbstractTextCN":null,"PMCID":null,"EPubDate":"","PubModel":"","JCR":"Q2","JCRName":"GERIATRICS & GERONTOLOGY","Score":null,"Total":0}
引用次数: 0

Abstract

Background: In the aging society, more attention is paid to the promotion of forms of physical activity that can improve postural stability and cognitive functioning. In this context, the importance of combined exercises, requiring simultaneous physical and cognitive involvement, is emphasized. Juggling seems to be a form of activity that is both cognitively and physically demanding. The purpose of this study was to determine the effect of additional juggling exercise on postural stability and cognitive abilities in healthy, physically active older adults.

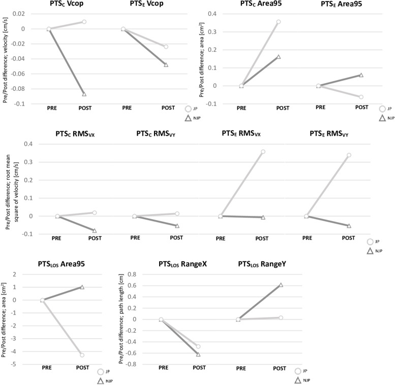
Methods: Twenty-six healthy and physically active older adults (70.08±4.40 years old) were included in a randomized crossover study. The addition of juggling three times a week during four weeks was the main intervention (one period), while the control phase included four weeks with no addition of juggling (second period). Measurements of postural stability and cognitive abilities were performed before and after each period. For the purpose of postural stability assessment, a velocity of center of pressure with root mean square, area 95 percentile, medio-lateral and anterior-posterior range of motion were measured. Center of pressure signals were obtained using an AccuGait™ System force plate in three conditions: free standing, dual-task and limits of stability. The Vienna Test System was used for the assessment of selected cognitive abilities. A battery of reaction time tests and Cognitrone test were used for this purpose.

Results: A significant interaction effect of intervention and time was observed in the postural stability dual-task condition in the root mean square of the center of pressure velocity in the advantage of the juggling period (medio-lateral: F=14.83, p<.01, ƞp2=.37; anterior-posterior: F=26.30, p<.01, ƞp2=.51). Additionally, moderate effect sizes were observed in the velocity of the center of pressure and variability of simple reaction time measurements, but without statistical significance.

Conclusions: The results of this study indicate that the implementation of juggling activity in everyday life may have positive effects on cognitive abilities and postural stability in healthy, physically active older adults, but the true effect may be low to moderate.

Trial registration: The study was registered retrospectively (30.10.2023) at ClinicalTrials.gov (NCT06108713).

Abstract Image

Abstract Image

Abstract Image

以杂耍为基础的体育活动对老年人姿势稳定性、反应时间和注意力集中的影响:随机交叉研究。
背景:在老龄化社会中,人们更加关注推广能够改善姿势稳定性和认知功能的体育活动形式。在这种情况下,需要身体和认知同时参与的综合运动的重要性得到了强调。杂耍似乎是一种既需要认知能力又需要体力的活动形式。本研究的目的是确定额外的杂耍运动对健康、身体活跃的老年人的姿势稳定性和认知能力的影响:一项随机交叉研究纳入了 26 名健康且身体活跃的老年人(70.08±4.40 岁)。在为期四周的时间里,主要干预措施(第一阶段)是每周增加三次杂耍,而对照阶段包括四周不增加杂耍的时间(第二阶段)。在每个阶段之前和之后,都对姿势稳定性和认知能力进行了测量。为了评估姿势稳定性,测量了压力中心速度的均方根、面积 95 百分位数、内外侧和前后运动范围。压力中心信号是使用 AccuGait™ 系统测力板在三种条件下获得的:自由站立、双重任务和稳定性极限。维也纳测试系统用于评估选定的认知能力。结果显示,干预与时间之间存在显著的交互影响:在姿势稳定双任务条件下,在杂耍优势期压力中心速度的均方根方面观察到了干预和时间的显着交互效应(中-外侧:F=14.83,pp2=.37;前-后:F=26.30,pp2=.51)。此外,在压力中心速度和简单反应时间测量的变异性方面也观察到中等程度的效应大小,但没有统计学意义:本研究结果表明,在日常生活中开展杂耍活动可能会对身体健康、运动量大的老年人的认知能力和姿势稳定性产生积极影响,但真正的影响可能是低度到中度:该研究已于 2023 年 10 月 30 日在 ClinicalTrials.gov (NCT06108713)进行了回顾性注册。
本文章由计算机程序翻译,如有差异,请以英文原文为准。
求助全文
约1分钟内获得全文 求助全文
来源期刊
CiteScore
8.60
自引率
1.60%
发文量
29
审稿时长
>12 weeks
期刊介绍: European Review of Aging and Physical Activity (EURAPA) disseminates research on the biomedical and behavioural aspects of physical activity and aging. The main issues addressed by EURAPA are the impact of physical activity or exercise on cognitive, physical, and psycho-social functioning of older people, physical activity patterns in advanced age, and the relationship between physical activity and health.
×
引用
GB/T 7714-2015
复制
MLA
复制
APA
复制
导出至
BibTeX EndNote RefMan NoteFirst NoteExpress
×
提示
您的信息不完整,为了账户安全,请先补充。
现在去补充
×
提示
您因"违规操作"
具体请查看互助需知
我知道了
×
提示
确定
请完成安全验证×
copy
已复制链接
快去分享给好友吧!
我知道了
右上角分享
点击右上角分享
0
联系我们:info@booksci.cn Book学术提供免费学术资源搜索服务,方便国内外学者检索中英文文献。致力于提供最便捷和优质的服务体验。 Copyright © 2023 布克学术 All rights reserved.
京ICP备2023020795号-1
ghs 京公网安备 11010802042870号
Book学术文献互助
Book学术文献互助群
群 号:604180095
Book学术官方微信