Joint effects of traffic-related air pollution and hypertensive disorders of pregnancy on maternal postpartum depressive and anxiety symptoms

IF 4.7 3区 医学 Q2 ENVIRONMENTAL SCIENCES
Yuhong Hu, Thomas Chavez, Sandrah P. Eckel, Tingyu Yang, Xinci Chen, Mario Vigil, Nathan Pavlovic, Fred Lurmann, Deborah Lerner, Nathana Lurvey, Brendan Grubbs, Laila Al-Marayati, Claudia Toledo-Corral, Jill Johnston, Genevieve F. Dunton, Shohreh F. Farzan, Rima Habre, Carrie Breton, Theresa M. Bastain
{"title":"Joint effects of traffic-related air pollution and hypertensive disorders of pregnancy on maternal postpartum depressive and anxiety symptoms","authors":"Yuhong Hu, Thomas Chavez, Sandrah P. Eckel, Tingyu Yang, Xinci Chen, Mario Vigil, Nathan Pavlovic, Fred Lurmann, Deborah Lerner, Nathana Lurvey, Brendan Grubbs, Laila Al-Marayati, Claudia Toledo-Corral, Jill Johnston, Genevieve F. Dunton, Shohreh F. Farzan, Rima Habre, Carrie Breton, Theresa M. Bastain","doi":"10.1038/s41370-024-00692-9","DOIUrl":null,"url":null,"abstract":"Ambient air pollution has been linked to postpartum depression. However, few studies have investigated the effects of traffic-related NOx on postpartum depression and whether any pregnancy-related factors might increase susceptibility. To evaluate the association between traffic-related NOx and postpartum depressive and anxiety symptoms, and effect modification by pregnancy-related hypertension. This study included 453 predominantly low-income Hispanic/Latina women in the MADRES cohort. Daily traffic-related NOx concentrations by road class were estimated using the California LINE-source dispersion model (CALINE4) at participants’ residential locations and averaged across pregnancy. Postpartum depressive and anxiety symptoms were evaluated by a validated questionnaire (Postpartum Distress Measure, PDM) at 1, 3, 6 and 12 months postpartum. Multivariate linear regressions were performed to estimate the associations at each timepoint. Interaction terms were added to the linear models to assess effect modification by hypertensive disorders of pregnancy (HDPs). Repeated measurement analyses were conducted by using mixed effect models. We found prenatal traffic-related NOx was associated with increased PDM scores. Specifically, mothers exposed to an IQR (0.22 ppb) increase in NOx from major roads had 3.78% (95% CI: 0.53–7.14%) and 5.27% (95% CI: 0.33–10.45%) significantly higher 3-month and 12-month PDM scores, respectively. Similarly, in repeated measurement analyses, higher NOx from major roads was associated with 3.06% (95% CI: 0.43–5.76%) significantly higher PDM scores across the first year postpartum. Effect modification by HDPs was observed: higher freeway/highway and total NOx among mothers with HDPs were associated with significantly higher PDM scores at 12 months postpartum compared to those without HDPs. This study shows that prenatal traffic-related air pollution was associated with postpartum depressive and anxiety symptoms. The study also found novel evidence of greater susceptibility among women with HDPs, which advances the understanding of the relationships between air pollution, maternal cardiometabolic health during pregnancy and postpartum mental health. Our study has potential implications for clinical intervention to mitigate the effects of traffic-related pollution on postpartum mental health disorders. The findings can also offer valuable insights into urban planning strategies concerning the implementation of emission control measures and the creation of green spaces.","PeriodicalId":15684,"journal":{"name":"Journal of Exposure Science and Environmental Epidemiology","volume":"35 2","pages":"278-287"},"PeriodicalIF":4.7000,"publicationDate":"2024-05-31","publicationTypes":"Journal Article","fieldsOfStudy":null,"isOpenAccess":false,"openAccessPdf":"https://www.ncbi.nlm.nih.gov/pmc/articles/PMC11607174/pdf/","citationCount":"0","resultStr":null,"platform":"Semanticscholar","paperid":null,"PeriodicalName":"Journal of Exposure Science and Environmental Epidemiology","FirstCategoryId":"3","ListUrlMain":"https://www.nature.com/articles/s41370-024-00692-9","RegionNum":3,"RegionCategory":"医学","ArticlePicture":[],"TitleCN":null,"AbstractTextCN":null,"PMCID":null,"EPubDate":"","PubModel":"","JCR":"Q2","JCRName":"ENVIRONMENTAL SCIENCES","Score":null,"Total":0}
引用次数: 0

Abstract

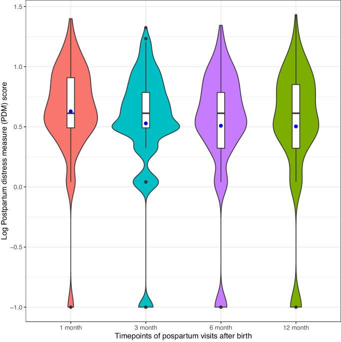
Ambient air pollution has been linked to postpartum depression. However, few studies have investigated the effects of traffic-related NOx on postpartum depression and whether any pregnancy-related factors might increase susceptibility. To evaluate the association between traffic-related NOx and postpartum depressive and anxiety symptoms, and effect modification by pregnancy-related hypertension. This study included 453 predominantly low-income Hispanic/Latina women in the MADRES cohort. Daily traffic-related NOx concentrations by road class were estimated using the California LINE-source dispersion model (CALINE4) at participants’ residential locations and averaged across pregnancy. Postpartum depressive and anxiety symptoms were evaluated by a validated questionnaire (Postpartum Distress Measure, PDM) at 1, 3, 6 and 12 months postpartum. Multivariate linear regressions were performed to estimate the associations at each timepoint. Interaction terms were added to the linear models to assess effect modification by hypertensive disorders of pregnancy (HDPs). Repeated measurement analyses were conducted by using mixed effect models. We found prenatal traffic-related NOx was associated with increased PDM scores. Specifically, mothers exposed to an IQR (0.22 ppb) increase in NOx from major roads had 3.78% (95% CI: 0.53–7.14%) and 5.27% (95% CI: 0.33–10.45%) significantly higher 3-month and 12-month PDM scores, respectively. Similarly, in repeated measurement analyses, higher NOx from major roads was associated with 3.06% (95% CI: 0.43–5.76%) significantly higher PDM scores across the first year postpartum. Effect modification by HDPs was observed: higher freeway/highway and total NOx among mothers with HDPs were associated with significantly higher PDM scores at 12 months postpartum compared to those without HDPs. This study shows that prenatal traffic-related air pollution was associated with postpartum depressive and anxiety symptoms. The study also found novel evidence of greater susceptibility among women with HDPs, which advances the understanding of the relationships between air pollution, maternal cardiometabolic health during pregnancy and postpartum mental health. Our study has potential implications for clinical intervention to mitigate the effects of traffic-related pollution on postpartum mental health disorders. The findings can also offer valuable insights into urban planning strategies concerning the implementation of emission control measures and the creation of green spaces.

Abstract Image

Abstract Image

交通相关空气污染和妊娠高血压疾病对产妇产后抑郁和焦虑症状的共同影响。
背景:环境空气污染与产后抑郁有关:环境空气污染与产后抑郁症有关。然而,很少有研究调查与交通相关的氮氧化物对产后抑郁症的影响,以及是否有任何与妊娠相关的因素会增加产后抑郁症的易感性:评估交通相关氮氧化物与产后抑郁和焦虑症状之间的关系,以及与妊娠相关的高血压对其影响的调节作用:本研究纳入了 453 名 MADRES 队列中以低收入为主的西班牙裔/拉丁裔妇女。使用加利福尼亚州线性源扩散模型(CALINE4)估算了参与者居住地按道路等级划分的每日交通相关氮氧化物浓度,并对整个孕期的浓度进行了平均。产后抑郁和焦虑症状是在产后 1、3、6 和 12 个月通过有效问卷(产后压力测量,PDM)进行评估的。对每个时间点的相关性进行了多变量线性回归估计。线性模型中加入了交互项,以评估妊娠期高血压疾病(HDPs)对效果的影响。使用混合效应模型进行重复测量分析:结果:我们发现产前与交通相关的氮氧化物与 PDM 分数的增加有关。具体来说,暴露于主要道路氮氧化物 IQR (0.22 ppb) 增加值的母亲,3 个月和 12 个月的 PDM 评分分别显著增加 3.78% (95% CI: 0.53-7.14%) 和 5.27% (95% CI: 0.33-10.45%)。同样,在重复测量分析中,来自主要道路的氮氧化物越高,产后第一年的 PDM 分数就会显著升高 3.06% (95% CI: 0.43-5.76%) 。观察到 HDPs 的效应修正:与没有 HDPs 的母亲相比,有 HDPs 的母亲在产后 12 个月时,高速公路/公路和总氮氧化物较高与 PDM 分数明显较高有关:本研究表明,产前与交通相关的空气污染与产后抑郁和焦虑症状有关。这项研究还发现了患有 HDPs 的妇女更易受影响的新证据,从而加深了人们对孕期空气污染、孕产妇心脏代谢健康和产后心理健康之间关系的理解。我们的研究对减轻交通相关污染对产后心理健康疾病影响的临床干预具有潜在的意义。研究结果还能为有关实施排放控制措施和创建绿色空间的城市规划战略提供有价值的见解。
本文章由计算机程序翻译,如有差异,请以英文原文为准。
求助全文
约1分钟内获得全文 求助全文
来源期刊
CiteScore
8.90
自引率
6.70%
发文量
93
审稿时长
3 months
期刊介绍: Journal of Exposure Science and Environmental Epidemiology (JESEE) aims to be the premier and authoritative source of information on advances in exposure science for professionals in a wide range of environmental and public health disciplines. JESEE publishes original peer-reviewed research presenting significant advances in exposure science and exposure analysis, including development and application of the latest technologies for measuring exposures, and innovative computational approaches for translating novel data streams to characterize and predict exposures. The types of papers published in the research section of JESEE are original research articles, translation studies, and correspondence. Reported results should further understanding of the relationship between environmental exposure and human health, describe evaluated novel exposure science tools, or demonstrate potential of exposure science to enable decisions and actions that promote and protect human health.
×
引用
GB/T 7714-2015
复制
MLA
复制
APA
复制
导出至
BibTeX EndNote RefMan NoteFirst NoteExpress
×
提示
您的信息不完整,为了账户安全,请先补充。
现在去补充
×
提示
您因"违规操作"
具体请查看互助需知
我知道了
×
提示
确定
请完成安全验证×
copy
已复制链接
快去分享给好友吧!
我知道了
右上角分享
点击右上角分享
0
联系我们:info@booksci.cn Book学术提供免费学术资源搜索服务,方便国内外学者检索中英文文献。致力于提供最便捷和优质的服务体验。 Copyright © 2023 布克学术 All rights reserved.
京ICP备2023020795号-1
ghs 京公网安备 11010802042870号
Book学术文献互助
Book学术文献互助群
群 号:604180095
Book学术官方微信