Abnormal eye movements increase as motor disabilities and cognitive impairments become more evident in Multiple Sclerosis: A novel eye-tracking study.

IF 2.3 Q2 CLINICAL NEUROLOGY
Fernández Gerardo, Eizaguirre Bárbara, Gonzalez Cecilia, Marinangeli Aldana, Ciufia Natalia, Bacigalupe Lucia, Berenice Silva, Cohen Leila, Pita Cecilia, Garcea Orlando, Casas Magdalena, Lazaro Luciana, Pardo Gabriel, Alonso Ricardo
{"title":"Abnormal eye movements increase as motor disabilities and cognitive impairments become more evident in Multiple Sclerosis: A novel eye-tracking study.","authors":"Fernández Gerardo, Eizaguirre Bárbara, Gonzalez Cecilia, Marinangeli Aldana, Ciufia Natalia, Bacigalupe Lucia, Berenice Silva, Cohen Leila, Pita Cecilia, Garcea Orlando, Casas Magdalena, Lazaro Luciana, Pardo Gabriel, Alonso Ricardo","doi":"10.1177/20552173241255008","DOIUrl":null,"url":null,"abstract":"<p><strong>Background: </strong>Eye movements can reflect brain alterations and inform on the presence of motor disabilities and cognitive impairments in people with multiple sclerosis (pwMS).</p><p><strong>Objective: </strong>The aim of the study was to determine the correlation between motor and cognitive measurements and eye movement parameters when performing the <i>n-back</i> task (NBKT).</p><p><strong>Methods: </strong>This was a cross-sectional study carried out at Ramos Mejía Hospital, a center specialized in demyelinating diseases in Buenos Aires, Argentina. The study population consisted of 66 patients with relapsing-remitting multiple sclerosis (RRMS) and 5 patients with secondary progressive multiple sclerosis (SPMS). pwMS performed the n-back test while using a device head mounted display (HMD) with eyetracking capabilities in order to capture eye movement. Clinical motor and cognitive measures were assessed with Expanded Disability Status Scale (EDSS), Nine Hole Peg Test (NHPT), Timed 25-Foot Walk (T25FW), and Symbol Digit Modalities Test (SDMT).</p><p><strong>Results: </strong>pwMS showed strong and statistically significant correlations between gaze duration; number of fixations, saccade amplitude and motor disabilities and cognitive impairments as measured by EDSS, NHPT, T25FW, and SDMT.</p><p><strong>Conclusion: </strong>This study found significant correlations between eye movement behavior and motor and cognitive disability in pwMS. These findings suggest that eye movements have the potential to be used as a surrogate biomarker in MS progression.</p>","PeriodicalId":18961,"journal":{"name":"Multiple Sclerosis Journal - Experimental, Translational and Clinical","volume":"10 2","pages":"20552173241255008"},"PeriodicalIF":2.3000,"publicationDate":"2024-05-29","publicationTypes":"Journal Article","fieldsOfStudy":null,"isOpenAccess":false,"openAccessPdf":"https://www.ncbi.nlm.nih.gov/pmc/articles/PMC11138185/pdf/","citationCount":"0","resultStr":null,"platform":"Semanticscholar","paperid":null,"PeriodicalName":"Multiple Sclerosis Journal - Experimental, Translational and Clinical","FirstCategoryId":"1085","ListUrlMain":"https://doi.org/10.1177/20552173241255008","RegionNum":0,"RegionCategory":null,"ArticlePicture":[],"TitleCN":null,"AbstractTextCN":null,"PMCID":null,"EPubDate":"2024/4/1 0:00:00","PubModel":"eCollection","JCR":"Q2","JCRName":"CLINICAL NEUROLOGY","Score":null,"Total":0}
引用次数: 0

Abstract

Background: Eye movements can reflect brain alterations and inform on the presence of motor disabilities and cognitive impairments in people with multiple sclerosis (pwMS).

Objective: The aim of the study was to determine the correlation between motor and cognitive measurements and eye movement parameters when performing the n-back task (NBKT).

Methods: This was a cross-sectional study carried out at Ramos Mejía Hospital, a center specialized in demyelinating diseases in Buenos Aires, Argentina. The study population consisted of 66 patients with relapsing-remitting multiple sclerosis (RRMS) and 5 patients with secondary progressive multiple sclerosis (SPMS). pwMS performed the n-back test while using a device head mounted display (HMD) with eyetracking capabilities in order to capture eye movement. Clinical motor and cognitive measures were assessed with Expanded Disability Status Scale (EDSS), Nine Hole Peg Test (NHPT), Timed 25-Foot Walk (T25FW), and Symbol Digit Modalities Test (SDMT).

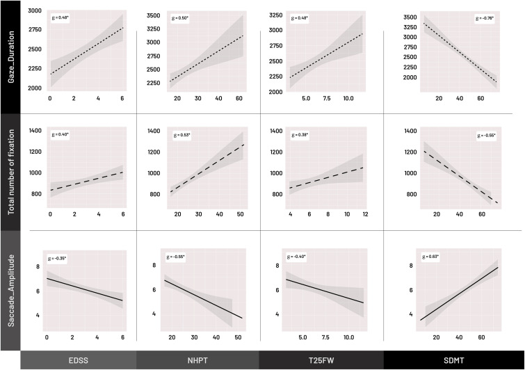
Results: pwMS showed strong and statistically significant correlations between gaze duration; number of fixations, saccade amplitude and motor disabilities and cognitive impairments as measured by EDSS, NHPT, T25FW, and SDMT.

Conclusion: This study found significant correlations between eye movement behavior and motor and cognitive disability in pwMS. These findings suggest that eye movements have the potential to be used as a surrogate biomarker in MS progression.

Abstract Image

Abstract Image

Abstract Image

随着多发性硬化症患者的运动障碍和认知障碍日益明显,异常眼球运动也随之增加:一项新颖的眼动追踪研究
背景:眼动可以反映大脑的改变,并为多发性硬化症患者(pwMS)是否存在运动障碍和认知障碍提供信息:本研究旨在确定多发性硬化症患者在执行 "n-back 任务"(NBKT)时,运动和认知能力测量值与眼球运动参数之间的相关性:这是一项横断面研究,在阿根廷布宜诺斯艾利斯的脱髓鞘疾病专科医院拉莫斯-梅希亚医院进行。研究对象包括66名复发性缓解型多发性硬化症(RRMS)患者和5名继发性进展型多发性硬化症(SPMS)患者。患者在进行N-back测试时使用了具有眼球跟踪功能的头戴式显示器(HMD),以捕捉眼球运动。结果:pwMS 的注视持续时间、定点次数、囊状移动幅度与运动障碍和认知障碍(通过 EDSS、NHPT、T25FW 和 SDMT 进行测量)之间存在很强的统计学意义上的显著相关性:本研究发现,pwMS 患者的眼球运动行为与运动障碍和认知障碍之间存在明显的相关性。这些发现表明,眼球运动有可能被用作多发性硬化症进展的替代生物标志物。
本文章由计算机程序翻译,如有差异,请以英文原文为准。
求助全文
约1分钟内获得全文 求助全文
来源期刊
CiteScore
4.70
自引率
0.00%
发文量
54
审稿时长
15 weeks
×
引用
GB/T 7714-2015
复制
MLA
复制
APA
复制
导出至
BibTeX EndNote RefMan NoteFirst NoteExpress
×
提示
您的信息不完整,为了账户安全,请先补充。
现在去补充
×
提示
您因"违规操作"
具体请查看互助需知
我知道了
×
提示
确定
请完成安全验证×
copy
已复制链接
快去分享给好友吧!
我知道了
右上角分享
点击右上角分享
0
联系我们:info@booksci.cn Book学术提供免费学术资源搜索服务,方便国内外学者检索中英文文献。致力于提供最便捷和优质的服务体验。 Copyright © 2023 布克学术 All rights reserved.
京ICP备2023020795号-1
ghs 京公网安备 11010802042870号
Book学术文献互助
Book学术文献互助群
群 号:604180095
Book学术官方微信