Long-term efficacy and safety of rituximab in the treatment of neuromyelitis Optica Spectrum disorder.

IF 2.3 Q2 CLINICAL NEUROLOGY
Michael T G Hayes, Robert J Adam, Pamela A McCombe, Michael Walsh, Stefan Blum
{"title":"Long-term efficacy and safety of rituximab in the treatment of neuromyelitis Optica Spectrum disorder.","authors":"Michael T G Hayes, Robert J Adam, Pamela A McCombe, Michael Walsh, Stefan Blum","doi":"10.1177/20552173241257876","DOIUrl":null,"url":null,"abstract":"<p><strong>Background: </strong>Neuromyelitis optica spectrum disorder (NMOSD) is a relapsing, autoimmune, inflammatory astrocytopathy. Rituximab for B-cell suppression is a common treatment for NMOSD; however, large-scale randomised controlled trials are lacking.</p><p><strong>Objective: </strong>Evaluate long-term efficacy and safety of rituximab for NMOSD.</p><p><strong>Methods: </strong>Retrospective observational study of patients with NMOSD treated with rituximab. Annualised relapse rates (ARRs) before and during rituximab treatment were evaluated; Modified Rankin Scores (mRS) were measured as a marker of disability.</p><p><strong>Results: </strong>In total, 37 patients were included: 27 aquaporin-4-IgG-seropositive and 10 seronegative NMOSD. The predominant rituximab dosing regimen was an initial 1000 mg, split over two 500 mg infusions, two weeks apart, followed by single 500 mg doses. Over a median follow-up of 54 months, ARR for the whole cohort was 0.136 (95% CI 0.088-0.201), significantly lower than the pretreatment ARR of 0.366 (95% CI 0.271-0.483, <i>p</i> < 0.001). There was a significant reduction in ARR for the seropositive subgroup, but not seronegative. Significant improvement in mRS was seen post-treatment. Infections were reported in 32% of patients during follow-up; most were mild.</p><p><strong>Conclusion: </strong>Rituximab, at doses lower than traditionally used, may be an efficacious therapy for NMOSD, with a favourable safety profile.</p>","PeriodicalId":18961,"journal":{"name":"Multiple Sclerosis Journal - Experimental, Translational and Clinical","volume":"10 2","pages":"20552173241257876"},"PeriodicalIF":2.3000,"publicationDate":"2024-05-27","publicationTypes":"Journal Article","fieldsOfStudy":null,"isOpenAccess":false,"openAccessPdf":"https://www.ncbi.nlm.nih.gov/pmc/articles/PMC11131406/pdf/","citationCount":"0","resultStr":null,"platform":"Semanticscholar","paperid":null,"PeriodicalName":"Multiple Sclerosis Journal - Experimental, Translational and Clinical","FirstCategoryId":"1085","ListUrlMain":"https://doi.org/10.1177/20552173241257876","RegionNum":0,"RegionCategory":null,"ArticlePicture":[],"TitleCN":null,"AbstractTextCN":null,"PMCID":null,"EPubDate":"2024/4/1 0:00:00","PubModel":"eCollection","JCR":"Q2","JCRName":"CLINICAL NEUROLOGY","Score":null,"Total":0}
引用次数: 0

Abstract

Background: Neuromyelitis optica spectrum disorder (NMOSD) is a relapsing, autoimmune, inflammatory astrocytopathy. Rituximab for B-cell suppression is a common treatment for NMOSD; however, large-scale randomised controlled trials are lacking.

Objective: Evaluate long-term efficacy and safety of rituximab for NMOSD.

Methods: Retrospective observational study of patients with NMOSD treated with rituximab. Annualised relapse rates (ARRs) before and during rituximab treatment were evaluated; Modified Rankin Scores (mRS) were measured as a marker of disability.

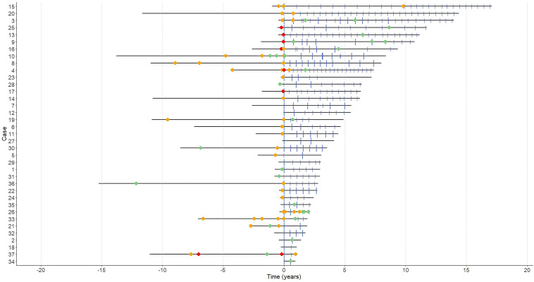
Results: In total, 37 patients were included: 27 aquaporin-4-IgG-seropositive and 10 seronegative NMOSD. The predominant rituximab dosing regimen was an initial 1000 mg, split over two 500 mg infusions, two weeks apart, followed by single 500 mg doses. Over a median follow-up of 54 months, ARR for the whole cohort was 0.136 (95% CI 0.088-0.201), significantly lower than the pretreatment ARR of 0.366 (95% CI 0.271-0.483, p < 0.001). There was a significant reduction in ARR for the seropositive subgroup, but not seronegative. Significant improvement in mRS was seen post-treatment. Infections were reported in 32% of patients during follow-up; most were mild.

Conclusion: Rituximab, at doses lower than traditionally used, may be an efficacious therapy for NMOSD, with a favourable safety profile.

Abstract Image

Abstract Image

Abstract Image

利妥昔单抗治疗神经脊髓炎谱系障碍的长期疗效和安全性。
背景:神经脊髓炎视谱系障碍(NMOSD)是一种复发性、自身免疫性、炎症性星形细胞病。抑制 B 细胞的利妥昔单抗是治疗 NMOSD 的常用方法,但目前尚缺乏大规模随机对照试验:评估利妥昔单抗治疗 NMOSD 的长期疗效和安全性:方法:对接受利妥昔单抗治疗的 NMOSD 患者进行回顾性观察研究。评估利妥昔单抗治疗前和治疗期间的年复发率(ARR);测量改良Rankin评分(mRS)作为残疾标志:结果:共纳入37名患者:结果:共纳入37名患者:27名水合蛋白-4-IgG血清阳性患者和10名血清阴性NMOSD患者。利妥昔单抗的主要用药方案是初始剂量为1000毫克,分两次输注500毫克,每次间隔两周,然后单次输注500毫克。在54个月的中位随访中,整个组群的ARR为0.136(95% CI 0.088-0.201),明显低于治疗前的ARR 0.366(95% CI 0.271-0.483,P 结论:利妥昔单抗的剂量为0.5毫克(95% CI 0.088-0.201):利妥昔单抗的剂量低于传统使用剂量,可能是一种有效的 NMOSD 治疗方法,而且安全性良好。
本文章由计算机程序翻译,如有差异,请以英文原文为准。
求助全文
约1分钟内获得全文 求助全文
来源期刊
CiteScore
4.70
自引率
0.00%
发文量
54
审稿时长
15 weeks
×
引用
GB/T 7714-2015
复制
MLA
复制
APA
复制
导出至
BibTeX EndNote RefMan NoteFirst NoteExpress
×
提示
您的信息不完整,为了账户安全,请先补充。
现在去补充
×
提示
您因"违规操作"
具体请查看互助需知
我知道了
×
提示
确定
请完成安全验证×
copy
已复制链接
快去分享给好友吧!
我知道了
右上角分享
点击右上角分享
0
联系我们:info@booksci.cn Book学术提供免费学术资源搜索服务,方便国内外学者检索中英文文献。致力于提供最便捷和优质的服务体验。 Copyright © 2023 布克学术 All rights reserved.
京ICP备2023020795号-1
ghs 京公网安备 11010802042870号
Book学术文献互助
Book学术文献互助群
群 号:604180095
Book学术官方微信