The Protection of EGCG Against 6-OHDA-Induced Oxidative Damage by Regulating PPARγ and Nrf2/HO-1 Signaling.

IF 2.2 Q3 NUTRITION & DIETETICS
Nutrition and Metabolic Insights Pub Date : 2024-05-25 eCollection Date: 2024-01-01 DOI:10.1177/11786388241253436
Qi Xu, Yujie Chen, Dan Chen, Manju B Reddy
{"title":"The Protection of EGCG Against 6-OHDA-Induced Oxidative Damage by Regulating PPARγ and Nrf2/HO-1 Signaling.","authors":"Qi Xu, Yujie Chen, Dan Chen, Manju B Reddy","doi":"10.1177/11786388241253436","DOIUrl":null,"url":null,"abstract":"<p><p>6-Hydroxydopamine (6-OHDA) is a classic neurotoxin that has been widely used in Parkinson's disease research. 6-OHDA can increase intracellular reactive oxygen species (ROS) and can cause cell damage, which can be attenuated with (-)-Epigallocatechin-3-gallate (EGCG) treatment. However, the mechanism by which EGCG alters the 6-OHDA toxicity remains unclear; In this study, we found 6-OHDA (25 μM) alone increased intracellular ROS concentration in N27 cells, which was attenuated by pretreating with EGCG (100 μM). We evaluated the intracellular oxidative damage by determining the level of thiobarbituric acid reactive substances (TBARS) and protein carbonyl content. 6-OHDA significantly increased TBARS by 82.7% (<i>P</i> < .05) and protein carbonyl content by 47.8 (<i>P</i> < .05), compared to the control. Pretreatment of EGCG decreased TBARS and protein carbonyls by 36.4% (<i>P</i> < .001) and 27.7% (<i>P</i> < .05), respectively, compared to 6-OHDA alone treatment. Antioxidant effect was tested with E2-related factor 2 (Nrf2), heme oxygenase-1(HO-1) and peroxisome-proliferator activator receptor γ (PPARγ) expression. 6-OHDA increased Nrf2 expression by 69.6% (<i>P</i> < .001), HO-1 by 173.3% (<i>P</i> < .001), and PPARγ by 122.7% (<i>P</i> < .001), compared with untreatment. EGCG pretreatment stabilized these alterations induced by 6-OHDA. Our results suggested that the neurotoxicity of 6-OHDA in N27 cells was associated with ROS pathway, whereas pretreatment of EGCG suppressed the ROS generation and deactivated the Nrf2/HO-1 and PPARγ expression.</p>","PeriodicalId":19396,"journal":{"name":"Nutrition and Metabolic Insights","volume":"17 ","pages":"11786388241253436"},"PeriodicalIF":2.2000,"publicationDate":"2024-05-25","publicationTypes":"Journal Article","fieldsOfStudy":null,"isOpenAccess":false,"openAccessPdf":"https://www.ncbi.nlm.nih.gov/pmc/articles/PMC11128170/pdf/","citationCount":"0","resultStr":null,"platform":"Semanticscholar","paperid":null,"PeriodicalName":"Nutrition and Metabolic Insights","FirstCategoryId":"1085","ListUrlMain":"https://doi.org/10.1177/11786388241253436","RegionNum":0,"RegionCategory":null,"ArticlePicture":[],"TitleCN":null,"AbstractTextCN":null,"PMCID":null,"EPubDate":"2024/1/1 0:00:00","PubModel":"eCollection","JCR":"Q3","JCRName":"NUTRITION & DIETETICS","Score":null,"Total":0}
引用次数: 0

Abstract

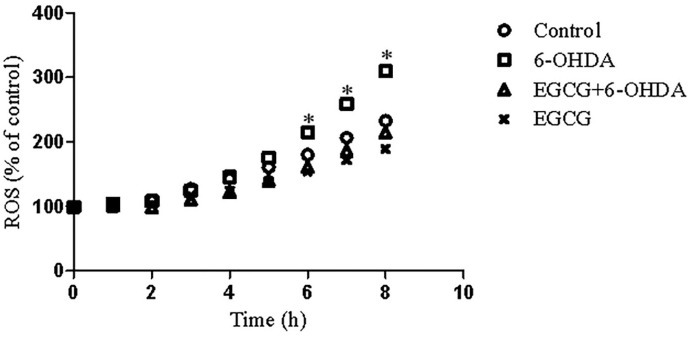
6-Hydroxydopamine (6-OHDA) is a classic neurotoxin that has been widely used in Parkinson's disease research. 6-OHDA can increase intracellular reactive oxygen species (ROS) and can cause cell damage, which can be attenuated with (-)-Epigallocatechin-3-gallate (EGCG) treatment. However, the mechanism by which EGCG alters the 6-OHDA toxicity remains unclear; In this study, we found 6-OHDA (25 μM) alone increased intracellular ROS concentration in N27 cells, which was attenuated by pretreating with EGCG (100 μM). We evaluated the intracellular oxidative damage by determining the level of thiobarbituric acid reactive substances (TBARS) and protein carbonyl content. 6-OHDA significantly increased TBARS by 82.7% (P < .05) and protein carbonyl content by 47.8 (P < .05), compared to the control. Pretreatment of EGCG decreased TBARS and protein carbonyls by 36.4% (P < .001) and 27.7% (P < .05), respectively, compared to 6-OHDA alone treatment. Antioxidant effect was tested with E2-related factor 2 (Nrf2), heme oxygenase-1(HO-1) and peroxisome-proliferator activator receptor γ (PPARγ) expression. 6-OHDA increased Nrf2 expression by 69.6% (P < .001), HO-1 by 173.3% (P < .001), and PPARγ by 122.7% (P < .001), compared with untreatment. EGCG pretreatment stabilized these alterations induced by 6-OHDA. Our results suggested that the neurotoxicity of 6-OHDA in N27 cells was associated with ROS pathway, whereas pretreatment of EGCG suppressed the ROS generation and deactivated the Nrf2/HO-1 and PPARγ expression.

Abstract Image

Abstract Image

Abstract Image

EGCG通过调节PPARγ和Nrf2/HO-1信号传导防止6-OHDA诱导的氧化损伤
6-羟基多巴胺(6-OHDA)是一种典型的神经毒素,已被广泛用于帕金森病的研究。6-OHDA可增加细胞内活性氧(ROS)并造成细胞损伤,而(-)-表没食子儿茶素-3-棓酸盐(EGCG)可减轻细胞损伤。在本研究中,我们发现单用6-OHDA(25 μM)会增加N27细胞的细胞内ROS浓度,而用EGCG(100 μM)预处理可减轻这一现象。我们通过测定硫代巴比妥酸活性物质(TBARS)水平和蛋白质羰基含量来评估细胞内氧化损伤。6-OHDA 使 TBARS 明显增加 82.7% (P P P P P P P P P
本文章由计算机程序翻译,如有差异,请以英文原文为准。
求助全文
约1分钟内获得全文 求助全文
来源期刊
Nutrition and Metabolic Insights
Nutrition and Metabolic Insights NUTRITION & DIETETICS-
CiteScore
3.30
自引率
0.00%
发文量
27
审稿时长
8 weeks
期刊介绍: Nutrition and Metabolic Insights is a peer-reviewed, open-access online journal focusing on all aspects of nutrition and metabolism. This encompasses nutrition, including the biochemistry of metabolism, exercise and associated physical processes and also includes clinical articles that relate to metabolism, such as obesity, lipidemias and diabetes. It includes research at the molecular, cellular and organismal levels. This journal welcomes new manuscripts for peer review on the following topics: Nutrition, including the biochemistry of metabolism, Exercise and associated physical processes, Clinical articles that relate to metabolism, such as obesity, lipidemias and diabetes, Research at the molecular, cellular and organismal levels, Other areas of interest include gene-nutrient interactions, the effects of hormones, models of metabolic function, macronutrient interactions, outcomes of changes in diet, and pathophysiology.
×
引用
GB/T 7714-2015
复制
MLA
复制
APA
复制
导出至
BibTeX EndNote RefMan NoteFirst NoteExpress
×
提示
您的信息不完整,为了账户安全,请先补充。
现在去补充
×
提示
您因"违规操作"
具体请查看互助需知
我知道了
×
提示
确定
请完成安全验证×
copy
已复制链接
快去分享给好友吧!
我知道了
右上角分享
点击右上角分享
0
联系我们:info@booksci.cn Book学术提供免费学术资源搜索服务,方便国内外学者检索中英文文献。致力于提供最便捷和优质的服务体验。 Copyright © 2023 布克学术 All rights reserved.
京ICP备2023020795号-1
ghs 京公网安备 11010802042870号
Book学术文献互助
Book学术文献互助群
群 号:604180095
Book学术官方微信