The effect of enriched versus depleted housing on eucalyptus smoke-induced cardiovascular dysfunction in mice.

IF 2 4区 医学 Q4 TOXICOLOGY
Inhalation Toxicology Pub Date : 2024-07-01 Epub Date: 2024-05-22 DOI:10.1080/08958378.2024.2352748
Molly E Harmon, Michelle Fiamingo, Sydnie Toler, Kaleb Lee, Yongho Kim, Brandi Martin, Ian Gilmour, Aimen K Farraj, Mehdi S Hazari
{"title":"The effect of enriched versus depleted housing on eucalyptus smoke-induced cardiovascular dysfunction in mice.","authors":"Molly E Harmon, Michelle Fiamingo, Sydnie Toler, Kaleb Lee, Yongho Kim, Brandi Martin, Ian Gilmour, Aimen K Farraj, Mehdi S Hazari","doi":"10.1080/08958378.2024.2352748","DOIUrl":null,"url":null,"abstract":"<p><p><b>Objectives:</b> Living conditions play a major role in health and well-being, particularly for the cardiovascular and pulmonary systems. Depleted housing contributes to impairment and development of disease, but how it impacts body resiliency during exposure to environmental stressors is unknown. This study examined the effect of depleted (DH) versus enriched housing (EH) on cardiopulmonary function and subsequent responses to wildfire smoke. <b>Materials and Methods:</b> Two cohorts of healthy female mice, one of them surgically implanted with radiotelemeters for the measurement of electrocardiogram, body temperature (Tco) and activity, were housed in either DH or EH for 7 weeks. Telemetered mice were exposed for 1 h to filtered air (FA) and then flaming eucalyptus wildfire smoke (WS) while untelemetered mice, which were used for ventilatory assessment and tissue collection, were exposed to either FA or WS. Animals were continuously monitored for 5-7 days after exposure. <b>Results:</b> EH prevented a decrease in Tco after radiotelemetry surgery. EH mice also had significantly higher activity levels and lower heart rate during and after FA and WS. Moreover, EH caused a decreased number of cardiac arrhythmias during WS. WS caused ventilatory depression in DH mice but not EH mice. Housing enrichment also upregulated the expression of cardioprotective genes in the heart. <b>Conclusions:</b> The results of this study indicate that housing conditions impact overall health and cardiopulmonary function. More importantly, depleted housing appears to worsen the response to air pollution. Thus, non-chemical factors should be considered when assessing the susceptibility of populations, especially when it comes to extreme environmental events.</p>","PeriodicalId":13561,"journal":{"name":"Inhalation Toxicology","volume":" ","pages":"355-366"},"PeriodicalIF":2.0000,"publicationDate":"2024-07-01","publicationTypes":"Journal Article","fieldsOfStudy":null,"isOpenAccess":false,"openAccessPdf":"https://www.ncbi.nlm.nih.gov/pmc/articles/PMC11632382/pdf/","citationCount":"0","resultStr":null,"platform":"Semanticscholar","paperid":null,"PeriodicalName":"Inhalation Toxicology","FirstCategoryId":"3","ListUrlMain":"https://doi.org/10.1080/08958378.2024.2352748","RegionNum":4,"RegionCategory":"医学","ArticlePicture":[],"TitleCN":null,"AbstractTextCN":null,"PMCID":null,"EPubDate":"2024/5/22 0:00:00","PubModel":"Epub","JCR":"Q4","JCRName":"TOXICOLOGY","Score":null,"Total":0}
引用次数: 0

Abstract

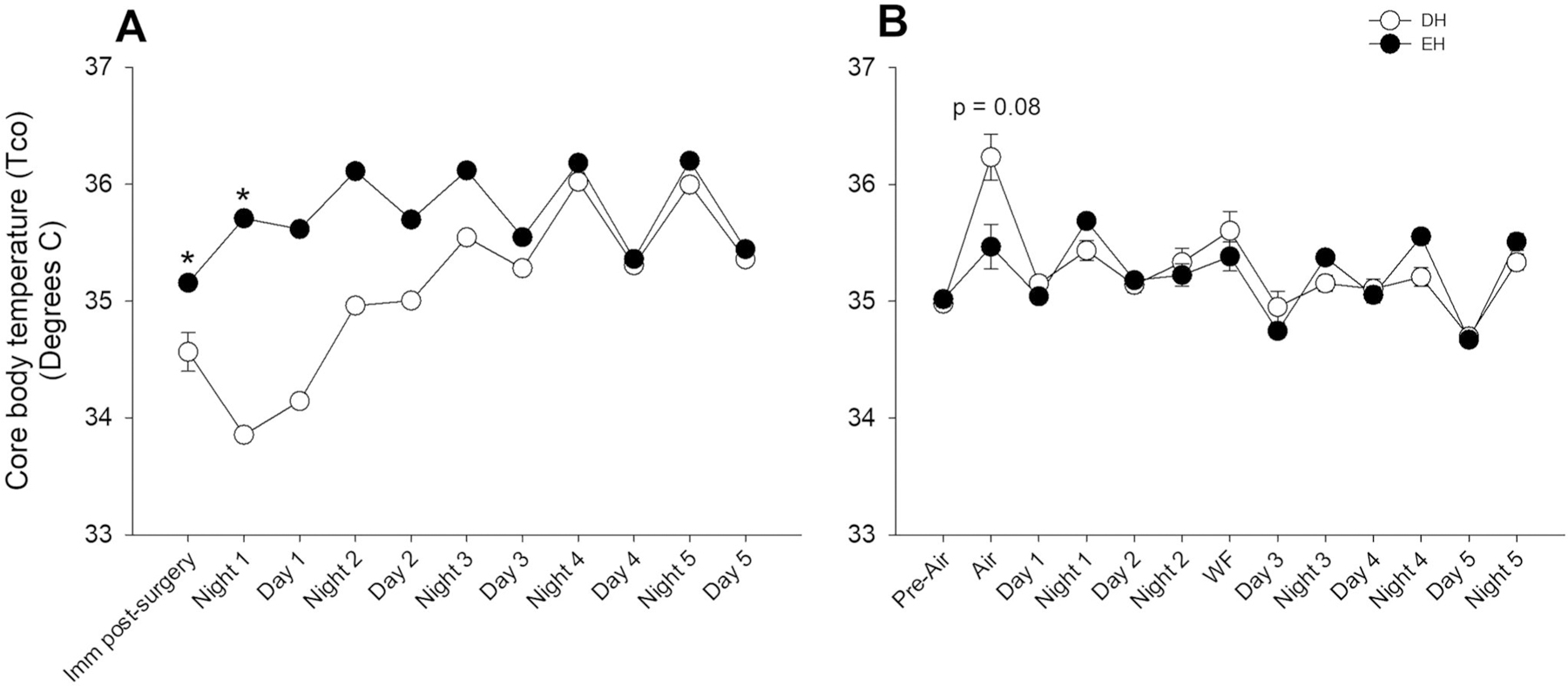
Objectives: Living conditions play a major role in health and well-being, particularly for the cardiovascular and pulmonary systems. Depleted housing contributes to impairment and development of disease, but how it impacts body resiliency during exposure to environmental stressors is unknown. This study examined the effect of depleted (DH) versus enriched housing (EH) on cardiopulmonary function and subsequent responses to wildfire smoke. Materials and Methods: Two cohorts of healthy female mice, one of them surgically implanted with radiotelemeters for the measurement of electrocardiogram, body temperature (Tco) and activity, were housed in either DH or EH for 7 weeks. Telemetered mice were exposed for 1 h to filtered air (FA) and then flaming eucalyptus wildfire smoke (WS) while untelemetered mice, which were used for ventilatory assessment and tissue collection, were exposed to either FA or WS. Animals were continuously monitored for 5-7 days after exposure. Results: EH prevented a decrease in Tco after radiotelemetry surgery. EH mice also had significantly higher activity levels and lower heart rate during and after FA and WS. Moreover, EH caused a decreased number of cardiac arrhythmias during WS. WS caused ventilatory depression in DH mice but not EH mice. Housing enrichment also upregulated the expression of cardioprotective genes in the heart. Conclusions: The results of this study indicate that housing conditions impact overall health and cardiopulmonary function. More importantly, depleted housing appears to worsen the response to air pollution. Thus, non-chemical factors should be considered when assessing the susceptibility of populations, especially when it comes to extreme environmental events.

Abstract Image

Abstract Image

Abstract Image

高密度饲养与低密度饲养对桉树烟雾诱发的小鼠心血管功能障碍的影响。
目标:居住条件对健康和福祉起着重要作用,尤其是对心血管和肺部系统。贫化饲养条件会导致机能受损和疾病的发生,但它如何影响暴露于环境应激因素时的身体恢复能力尚不清楚。本研究考察了贫化住房(DH)和富化住房(EH)对心肺功能的影响以及随后对野火烟雾的反应。材料与方法:将两组健康的雌性小鼠(其中一组通过手术植入了用于测量心电图、体温(Tco)和活动的无线电遥测仪)分别饲养在DH或EH中7周。遥测小鼠暴露在过滤空气(FA)中 1 小时,然后暴露在燃烧的桉树野火烟雾(WS)中 1 小时,而用于通气评估和组织采集的未遥测小鼠则暴露在 FA 或 WS 中。暴露后对动物进行 5-7 天的连续监测。结果EH 阻止了放射性遥测手术后 Tco 的下降。EH小鼠在FA和WS期间和之后的活动水平也明显提高,心率降低。此外,EH 还能减少 WS 期间的心律失常次数。WS会导致DH小鼠呼吸抑制,但不会导致EH小鼠呼吸抑制。居住环境的富集还能上调心脏中心脏保护基因的表达。结论本研究结果表明,饲养条件会影响整体健康和心肺功能。更重要的是,贫化的饲养条件似乎会加重对空气污染的反应。因此,在评估人群的易感性时应考虑非化学因素,尤其是在极端环境事件发生时。
本文章由计算机程序翻译,如有差异,请以英文原文为准。
求助全文
约1分钟内获得全文 求助全文
来源期刊
Inhalation Toxicology
Inhalation Toxicology 医学-毒理学
CiteScore
4.10
自引率
4.80%
发文量
38
审稿时长
6-12 weeks
期刊介绍: Inhalation Toxicology is a peer-reviewed publication providing a key forum for the latest accomplishments and advancements in concepts, approaches, and procedures presently being used to evaluate the health risk associated with airborne chemicals. The journal publishes original research, reviews, symposia, and workshop topics involving the respiratory system’s functions in health and disease, the pathogenesis and mechanism of injury, the extrapolation of animal data to humans, the effects of inhaled substances on extra-pulmonary systems, as well as reliable and innovative models for predicting human disease.
×
引用
GB/T 7714-2015
复制
MLA
复制
APA
复制
导出至
BibTeX EndNote RefMan NoteFirst NoteExpress
×
提示
您的信息不完整,为了账户安全,请先补充。
现在去补充
×
提示
您因"违规操作"
具体请查看互助需知
我知道了
×
提示
确定
请完成安全验证×
copy
已复制链接
快去分享给好友吧!
我知道了
右上角分享
点击右上角分享
0
联系我们:info@booksci.cn Book学术提供免费学术资源搜索服务,方便国内外学者检索中英文文献。致力于提供最便捷和优质的服务体验。 Copyright © 2023 布克学术 All rights reserved.
京ICP备2023020795号-1
ghs 京公网安备 11010802042870号
Book学术文献互助
Book学术文献互助群
群 号:604180095
Book学术官方微信