Liver Transplantation from Brain-Dead Donors with Hepatitis B or C in South Korea: A 2014-2020 Korean Organ Transplantation Registry Data Analysis.

IF 1.4 4区 医学 Q3 SURGERY
Hoonsung Park, Hanyoung Lee, Seungmin Baik, Myoung Soo Kim, Jaeseok Yang, Jong Cheol Jeong, Tai Yeon Koo, Deok-Gie Kim, Jae-Myeong Lee
{"title":"Liver Transplantation from Brain-Dead Donors with Hepatitis B or C in South Korea: A 2014-2020 Korean Organ Transplantation Registry Data Analysis.","authors":"Hoonsung Park, Hanyoung Lee, Seungmin Baik, Myoung Soo Kim, Jaeseok Yang, Jong Cheol Jeong, Tai Yeon Koo, Deok-Gie Kim, Jae-Myeong Lee","doi":"10.12659/AOT.943588","DOIUrl":null,"url":null,"abstract":"<p><p>BACKGROUND According to the current guidelines for liver transplantation (LT) of brain-dead donors with hepatitis B or C virus (HBV or HCV) in Korea, grafts from hepatitis B surface antigen (HBsAg)(+) or HCV antibody (anti-HCV)(+) donors must be transplanted only to HBsAg(+) or anti-HCV(+) recipients, respectively. We aimed to determine the current status and outcomes of brain-dead donor LT with HBV or HCV in Korea. MATERIAL AND METHODS This retrospective observational study included all LTs from brain-dead donors in the Korean Organ Transplantation Registry between April 2014 and December 2020. According to donor hepatitis status, 24 HBV(+), 1 HCV(+), and 1010 HBV(-)/HCV(-) donors were included. RESULTS Baseline/final model for end-stage liver disease score (MELD) for HBV(+), HCV(+), and HBV(-)/HCV(-) were 22.4±9.3/27.8±7.8, 16/11, and 33.0±15.4/35.5±7.1, respectively. MELD score of HBV (+) were lower than those of HBV(-)/HCV(-) (P<0.01). Five-year graft and patient survival rates of HBV(+) and HBV(-)/HCV(-) recipients were 81.7%/85.6%, and 76.6%/76.7%, respectively (P=0.73 and P=0.038). One-year graft and patient survival rates of HCV (+) graft recipients were both 100%. CONCLUSIONS No differences in graft and patient survival rates between HBV(+) and HBV(-)/HCV(-) groups were observed. Although accumulating the results of transplants from HBV (+) or HCV(+) grafts to HBV(-) or HCV(-) recipients is not possible owing to domestic regulations, Korea should conditionally permit transplantations from HBV(+) or HCV(+) grafts to HBV(-) or HCV(-) recipients by considering the risks and benefits based on foreign studies. Thereafter, we can accumulate the data from Korea and analyze the outcomes.</p>","PeriodicalId":7935,"journal":{"name":"Annals of Transplantation","volume":"29 ","pages":"e943588"},"PeriodicalIF":1.4000,"publicationDate":"2024-05-21","publicationTypes":"Journal Article","fieldsOfStudy":null,"isOpenAccess":false,"openAccessPdf":"https://www.ncbi.nlm.nih.gov/pmc/articles/PMC11127609/pdf/","citationCount":"0","resultStr":null,"platform":"Semanticscholar","paperid":null,"PeriodicalName":"Annals of Transplantation","FirstCategoryId":"3","ListUrlMain":"https://doi.org/10.12659/AOT.943588","RegionNum":4,"RegionCategory":"医学","ArticlePicture":[],"TitleCN":null,"AbstractTextCN":null,"PMCID":null,"EPubDate":"","PubModel":"","JCR":"Q3","JCRName":"SURGERY","Score":null,"Total":0}
引用次数: 0

Abstract

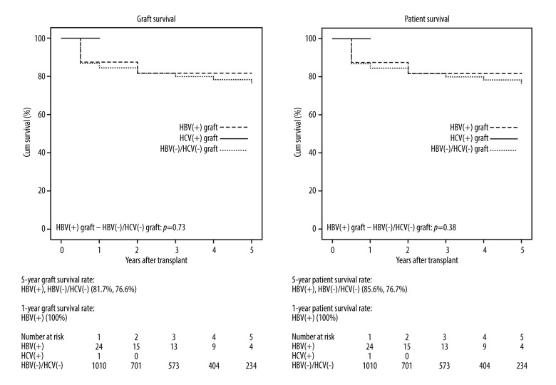
BACKGROUND According to the current guidelines for liver transplantation (LT) of brain-dead donors with hepatitis B or C virus (HBV or HCV) in Korea, grafts from hepatitis B surface antigen (HBsAg)(+) or HCV antibody (anti-HCV)(+) donors must be transplanted only to HBsAg(+) or anti-HCV(+) recipients, respectively. We aimed to determine the current status and outcomes of brain-dead donor LT with HBV or HCV in Korea. MATERIAL AND METHODS This retrospective observational study included all LTs from brain-dead donors in the Korean Organ Transplantation Registry between April 2014 and December 2020. According to donor hepatitis status, 24 HBV(+), 1 HCV(+), and 1010 HBV(-)/HCV(-) donors were included. RESULTS Baseline/final model for end-stage liver disease score (MELD) for HBV(+), HCV(+), and HBV(-)/HCV(-) were 22.4±9.3/27.8±7.8, 16/11, and 33.0±15.4/35.5±7.1, respectively. MELD score of HBV (+) were lower than those of HBV(-)/HCV(-) (P<0.01). Five-year graft and patient survival rates of HBV(+) and HBV(-)/HCV(-) recipients were 81.7%/85.6%, and 76.6%/76.7%, respectively (P=0.73 and P=0.038). One-year graft and patient survival rates of HCV (+) graft recipients were both 100%. CONCLUSIONS No differences in graft and patient survival rates between HBV(+) and HBV(-)/HCV(-) groups were observed. Although accumulating the results of transplants from HBV (+) or HCV(+) grafts to HBV(-) or HCV(-) recipients is not possible owing to domestic regulations, Korea should conditionally permit transplantations from HBV(+) or HCV(+) grafts to HBV(-) or HCV(-) recipients by considering the risks and benefits based on foreign studies. Thereafter, we can accumulate the data from Korea and analyze the outcomes.

Abstract Image

韩国乙型或丙型肝炎脑死亡捐献者的肝移植:2014-2020年韩国器官移植登记数据分析》。
背景根据韩国现行的乙型或丙型肝炎病毒(HBV或HCV)脑死亡供体肝移植(LT)指南,乙型肝炎表面抗原(HBsAg)(+)或HCV抗体(抗-HCV)(+)供体的移植物必须分别移植给HBsAg(+)或抗-HCV(+)受体。我们旨在确定韩国 HBV 或 HCV 脑死亡供体 LT 的现状和结果。材料与方法 这项回顾性观察研究纳入了韩国器官移植登记处在 2014 年 4 月至 2020 年 12 月期间所有脑死亡供体的 LT。根据供体肝炎状态,纳入了 24 名 HBV(+)、1 名 HCV(+)和 1010 名 HBV(-)/HCV(-)供体。结果 HBV(+)、HCV(+)和 HBV(-)/HCV(-)的终末期肝病评分基线/最终模型(MELD)分别为 22.4±9.3/27.8±7.8、16/11 和 33.0±15.4/35.5±7.1。HBV(+)的 MELD 评分低于 HBV(-)/HCV(-)(P
本文章由计算机程序翻译,如有差异,请以英文原文为准。
求助全文
约1分钟内获得全文 求助全文
来源期刊
CiteScore
2.50
自引率
0.00%
发文量
79
审稿时长
>12 weeks
期刊介绍: Annals of Transplantation is one of the fast-developing journals open to all scientists and fields of transplant medicine and related research. The journal is published quarterly and provides extensive coverage of the most important advances in transplantation. Using an electronic on-line submission and peer review tracking system, Annals of Transplantation is committed to rapid review and publication. The average time to first decision is around 3-4 weeks. Time to publication of accepted manuscripts continues to be shortened, with the Editorial team committed to a goal of 3 months from acceptance to publication. Expert reseachers and clinicians from around the world contribute original Articles, Review Papers, Case Reports and Special Reports in every pertinent specialty, providing a lot of arguments for discussion of exciting developments and controversies in the field.
×
引用
GB/T 7714-2015
复制
MLA
复制
APA
复制
导出至
BibTeX EndNote RefMan NoteFirst NoteExpress
×
提示
您的信息不完整,为了账户安全,请先补充。
现在去补充
×
提示
您因"违规操作"
具体请查看互助需知
我知道了
×
提示
确定
请完成安全验证×
copy
已复制链接
快去分享给好友吧!
我知道了
右上角分享
点击右上角分享
0
联系我们:info@booksci.cn Book学术提供免费学术资源搜索服务,方便国内外学者检索中英文文献。致力于提供最便捷和优质的服务体验。 Copyright © 2023 布克学术 All rights reserved.
京ICP备2023020795号-1
ghs 京公网安备 11010802042870号
Book学术文献互助
Book学术文献互助群
群 号:604180095
Book学术官方微信