Physicochemical Properties of Restructured Black Goat Jerky with Various Types of Ultra-Ground Seaweed Powders.

IF 3.7 3区 农林科学 Q2 FOOD SCIENCE & TECHNOLOGY
Ui-Bin Baek, Hack-Youn Kim
{"title":"Physicochemical Properties of Restructured Black Goat Jerky with Various Types of Ultra-Ground Seaweed Powders.","authors":"Ui-Bin Baek, Hack-Youn Kim","doi":"10.5851/kosfa.2024.e80","DOIUrl":null,"url":null,"abstract":"<p><p>This study investigated the effects of ultra-ground seaweed powders (USP) on the physicochemical properties (proximate composition, mineral contents, pH, color, shear force, sensory evaluation, electronic nose, and electronic tongue) of restructured black goat jerky. Restructured black goat jerky was prepared using three different treatments, i.e., 3% (w/w) each of ultra-ground sea tangle (ST; <i>Undaria pinnatifida</i>), sea mustard (SM; <i>Saccharina japonica</i>), and sea string (SS; <i>Gracilaria verrucosa</i>) powders. Moisture and ash contents were significantly higher in the USP-treated group than in the control (p<0.05). Potassium, calcium, and zinc contents were significantly higher in the SM than in the other USP-treated groups (p<0.05). In contrast, pH values were significantly higher in the ST and SM than in the control and SS (p<0.05). CIE L*, CIE a*, CIE b*, and shear force were significantly lower in the USP-treated groups than in the control (p<0.05). Sensory evaluation revealed no significant difference in taste, texture, seaweed-like odor, and goaty flavor (p<0.05). Principal component analysis (PCA) and peak graph analysis of the electronic nose showed that the SS differed the most from the control compared with the other USP-treated groups, owing to the seaweed odor of ultra-ground SS powder. The PCA and ranking analysis of the electronic tongue showed that the umami taste of the SM was higher than that of the control and other USP-treated groups. Therefore, the potassium, calcium, zinc contents, and umami taste of reconstituted black goat jerky were significantly higher in the SM than in the control and other USP-treated groups.</p>","PeriodicalId":12459,"journal":{"name":"Food Science of Animal Resources","volume":"44 2","pages":"483-497"},"PeriodicalIF":3.7000,"publicationDate":"2024-03-01","publicationTypes":"Journal Article","fieldsOfStudy":null,"isOpenAccess":false,"openAccessPdf":"https://www.ncbi.nlm.nih.gov/pmc/articles/PMC11097035/pdf/","citationCount":"0","resultStr":null,"platform":"Semanticscholar","paperid":null,"PeriodicalName":"Food Science of Animal Resources","FirstCategoryId":"97","ListUrlMain":"https://doi.org/10.5851/kosfa.2024.e80","RegionNum":3,"RegionCategory":"农林科学","ArticlePicture":[],"TitleCN":null,"AbstractTextCN":null,"PMCID":null,"EPubDate":"","PubModel":"","JCR":"Q2","JCRName":"FOOD SCIENCE & TECHNOLOGY","Score":null,"Total":0}
引用次数: 0

Abstract

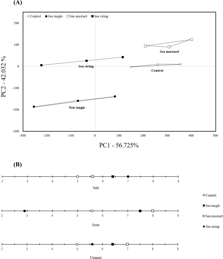
This study investigated the effects of ultra-ground seaweed powders (USP) on the physicochemical properties (proximate composition, mineral contents, pH, color, shear force, sensory evaluation, electronic nose, and electronic tongue) of restructured black goat jerky. Restructured black goat jerky was prepared using three different treatments, i.e., 3% (w/w) each of ultra-ground sea tangle (ST; Undaria pinnatifida), sea mustard (SM; Saccharina japonica), and sea string (SS; Gracilaria verrucosa) powders. Moisture and ash contents were significantly higher in the USP-treated group than in the control (p<0.05). Potassium, calcium, and zinc contents were significantly higher in the SM than in the other USP-treated groups (p<0.05). In contrast, pH values were significantly higher in the ST and SM than in the control and SS (p<0.05). CIE L*, CIE a*, CIE b*, and shear force were significantly lower in the USP-treated groups than in the control (p<0.05). Sensory evaluation revealed no significant difference in taste, texture, seaweed-like odor, and goaty flavor (p<0.05). Principal component analysis (PCA) and peak graph analysis of the electronic nose showed that the SS differed the most from the control compared with the other USP-treated groups, owing to the seaweed odor of ultra-ground SS powder. The PCA and ranking analysis of the electronic tongue showed that the umami taste of the SM was higher than that of the control and other USP-treated groups. Therefore, the potassium, calcium, zinc contents, and umami taste of reconstituted black goat jerky were significantly higher in the SM than in the control and other USP-treated groups.

Abstract Image

Abstract Image

Abstract Image

用各种超细海藻粉重组黑山羊肉干的理化特性
本研究调查了超微粉碎海藻粉(USP)对重组黑山羊肉干理化性质(近似成分、矿物质含量、pH 值、颜色、剪切力、感官评价、电子鼻和电子舌)的影响。采用三种不同的处理方法制备重组黑山羊肉干,即超磨海缠(ST;Undaria pinnatifida)、海芥(SM;Saccharina japonica)和海串(SS;Gracilaria verrucosa)粉各占 3%(重量比)。USP 处理组的水分和灰分含量明显高于对照组(p
本文章由计算机程序翻译,如有差异,请以英文原文为准。
求助全文
约1分钟内获得全文 求助全文
来源期刊
Food Science of Animal Resources
Food Science of Animal Resources Agricultural and Biological Sciences-Animal Science and Zoology
CiteScore
6.70
自引率
6.70%
发文量
75
期刊介绍: Food Science of Animal Resources (Food Sci. Anim. Resour.) is an international, peer-reviewed journal publishing original research and review articles on scientific and technological aspects of chemistry, biotechnology, processing, engineering, and microbiology of meat, egg, dairy, and edible insect/worm products.
×
引用
GB/T 7714-2015
复制
MLA
复制
APA
复制
导出至
BibTeX EndNote RefMan NoteFirst NoteExpress
×
提示
您的信息不完整,为了账户安全,请先补充。
现在去补充
×
提示
您因"违规操作"
具体请查看互助需知
我知道了
×
提示
确定
请完成安全验证×
copy
已复制链接
快去分享给好友吧!
我知道了
右上角分享
点击右上角分享
0
联系我们:info@booksci.cn Book学术提供免费学术资源搜索服务,方便国内外学者检索中英文文献。致力于提供最便捷和优质的服务体验。 Copyright © 2023 布克学术 All rights reserved.
京ICP备2023020795号-1
ghs 京公网安备 11010802042870号
Book学术文献互助
Book学术文献互助群
群 号:604180095
Book学术官方微信