A reduced proteomic signature in critically ill Covid-19 patients determined with plasma antibody micro-array and machine learning.

IF 3.3 3区 医学 Q2 BIOCHEMICAL RESEARCH METHODS
Maitray A Patel, Mark Daley, Logan R Van Nynatten, Marat Slessarev, Gediminas Cepinskas, Douglas D Fraser
{"title":"A reduced proteomic signature in critically ill Covid-19 patients determined with plasma antibody micro-array and machine learning.","authors":"Maitray A Patel, Mark Daley, Logan R Van Nynatten, Marat Slessarev, Gediminas Cepinskas, Douglas D Fraser","doi":"10.1186/s12014-024-09488-3","DOIUrl":null,"url":null,"abstract":"<p><strong>Background: </strong>COVID-19 is a complex, multi-system disease with varying severity and symptoms. Identifying changes in critically ill COVID-19 patients' proteomes enables a better understanding of markers associated with susceptibility, symptoms, and treatment. We performed plasma antibody microarray and machine learning analyses to identify novel proteins of COVID-19.</p><p><strong>Methods: </strong>A case-control study comparing the concentration of 2000 plasma proteins in age- and sex-matched COVID-19 inpatients, non-COVID-19 sepsis controls, and healthy control subjects. Machine learning was used to identify a unique proteome signature in COVID-19 patients. Protein expression was correlated with clinically relevant variables and analyzed for temporal changes over hospitalization days 1, 3, 7, and 10. Expert-curated protein expression information was analyzed with Natural language processing (NLP) to determine organ- and cell-specific expression.</p><p><strong>Results: </strong>Machine learning identified a 28-protein model that accurately differentiated COVID-19 patients from ICU non-COVID-19 patients (accuracy = 0.89, AUC = 1.00, F1 = 0.89) and healthy controls (accuracy = 0.89, AUC = 1.00, F1 = 0.88). An optimal nine-protein model (PF4V1, NUCB1, CrkL, SerpinD1, Fen1, GATA-4, ProSAAS, PARK7, and NET1) maintained high classification ability. Specific proteins correlated with hemoglobin, coagulation factors, hypertension, and high-flow nasal cannula intervention (P < 0.01). Time-course analysis of the 28 leading proteins demonstrated no significant temporal changes within the COVID-19 cohort. NLP analysis identified multi-system expression of the key proteins, with the digestive and nervous systems being the leading systems.</p><p><strong>Conclusions: </strong>The plasma proteome of critically ill COVID-19 patients was distinguishable from that of non-COVID-19 sepsis controls and healthy control subjects. The leading 28 proteins and their subset of 9 proteins yielded accurate classification models and are expressed in multiple organ systems. The identified COVID-19 proteomic signature helps elucidate COVID-19 pathophysiology and may guide future COVID-19 treatment development.</p>","PeriodicalId":10468,"journal":{"name":"Clinical proteomics","volume":"21 1","pages":"33"},"PeriodicalIF":3.3000,"publicationDate":"2024-05-17","publicationTypes":"Journal Article","fieldsOfStudy":null,"isOpenAccess":false,"openAccessPdf":"https://www.ncbi.nlm.nih.gov/pmc/articles/PMC11100131/pdf/","citationCount":"0","resultStr":null,"platform":"Semanticscholar","paperid":null,"PeriodicalName":"Clinical proteomics","FirstCategoryId":"3","ListUrlMain":"https://doi.org/10.1186/s12014-024-09488-3","RegionNum":3,"RegionCategory":"医学","ArticlePicture":[],"TitleCN":null,"AbstractTextCN":null,"PMCID":null,"EPubDate":"","PubModel":"","JCR":"Q2","JCRName":"BIOCHEMICAL RESEARCH METHODS","Score":null,"Total":0}
引用次数: 0

Abstract

Background: COVID-19 is a complex, multi-system disease with varying severity and symptoms. Identifying changes in critically ill COVID-19 patients' proteomes enables a better understanding of markers associated with susceptibility, symptoms, and treatment. We performed plasma antibody microarray and machine learning analyses to identify novel proteins of COVID-19.

Methods: A case-control study comparing the concentration of 2000 plasma proteins in age- and sex-matched COVID-19 inpatients, non-COVID-19 sepsis controls, and healthy control subjects. Machine learning was used to identify a unique proteome signature in COVID-19 patients. Protein expression was correlated with clinically relevant variables and analyzed for temporal changes over hospitalization days 1, 3, 7, and 10. Expert-curated protein expression information was analyzed with Natural language processing (NLP) to determine organ- and cell-specific expression.

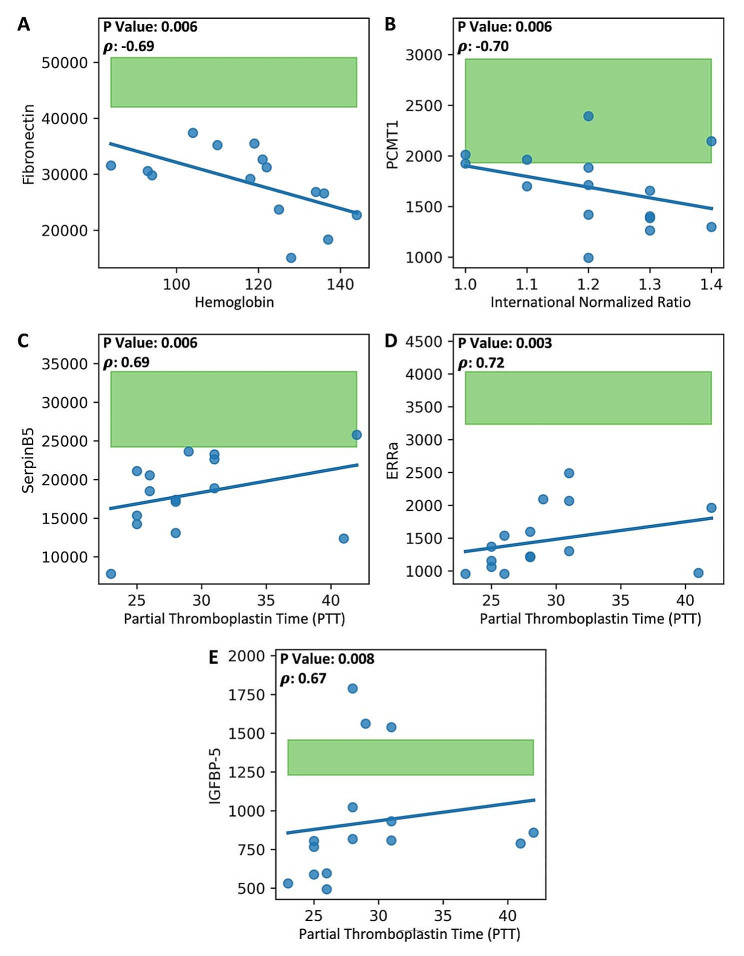
Results: Machine learning identified a 28-protein model that accurately differentiated COVID-19 patients from ICU non-COVID-19 patients (accuracy = 0.89, AUC = 1.00, F1 = 0.89) and healthy controls (accuracy = 0.89, AUC = 1.00, F1 = 0.88). An optimal nine-protein model (PF4V1, NUCB1, CrkL, SerpinD1, Fen1, GATA-4, ProSAAS, PARK7, and NET1) maintained high classification ability. Specific proteins correlated with hemoglobin, coagulation factors, hypertension, and high-flow nasal cannula intervention (P < 0.01). Time-course analysis of the 28 leading proteins demonstrated no significant temporal changes within the COVID-19 cohort. NLP analysis identified multi-system expression of the key proteins, with the digestive and nervous systems being the leading systems.

Conclusions: The plasma proteome of critically ill COVID-19 patients was distinguishable from that of non-COVID-19 sepsis controls and healthy control subjects. The leading 28 proteins and their subset of 9 proteins yielded accurate classification models and are expressed in multiple organ systems. The identified COVID-19 proteomic signature helps elucidate COVID-19 pathophysiology and may guide future COVID-19 treatment development.

Abstract Image

Abstract Image

Abstract Image

通过血浆抗体微阵列和机器学习确定 Covid-19 重症患者蛋白质组特征的减少。
背景:COVID-19 是一种复杂的多系统疾病,其严重程度和症状各不相同。识别 COVID-19 重症患者蛋白质组的变化有助于更好地了解与易感性、症状和治疗相关的标记物。我们进行了血浆抗体芯片和机器学习分析,以确定 COVID-19 的新型蛋白质:一项病例对照研究比较了年龄和性别匹配的 COVID-19 住院病人、非 COVID-19 败血症对照组和健康对照组中 2000 种血浆蛋白质的浓度。该研究利用机器学习技术确定了 COVID-19 患者独特的蛋白质组特征。蛋白质表达与临床相关变量相关联,并分析了住院第1、3、7和10天的时间变化。通过自然语言处理(NLP)对专家整理的蛋白质表达信息进行分析,以确定器官和细胞的特异性表达:机器学习确定了一个 28 蛋白模型,该模型能准确区分 COVID-19 患者与 ICU 非 COVID-19 患者(准确率 = 0.89,AUC = 1.00,F1 = 0.89)和健康对照组(准确率 = 0.89,AUC = 1.00,F1 = 0.88)。最佳的九种蛋白模型(PF4V1、NUCB1、CrkL、SerpinD1、Fen1、GATA-4、ProSAAS、PARK7 和 NET1)保持了较高的分类能力。特定蛋白质与血红蛋白、凝血因子、高血压和高流量鼻插管干预相关(P 结论:血浆蛋白质组与高血压和高流量鼻插管干预相关:COVID-19 重症患者的血浆蛋白质组可与非 COVID-19 败血症对照组和健康对照组的血浆蛋白质组区分开来。主要的 28 种蛋白质及其子集 9 种蛋白质可生成准确的分类模型,并在多个器官系统中表达。确定的 COVID-19 蛋白质组特征有助于阐明 COVID-19 的病理生理学,并可指导未来 COVID-19 治疗方法的开发。
本文章由计算机程序翻译,如有差异,请以英文原文为准。
求助全文
约1分钟内获得全文 求助全文
来源期刊
Clinical proteomics
Clinical proteomics BIOCHEMICAL RESEARCH METHODS-
CiteScore
5.80
自引率
2.60%
发文量
37
审稿时长
17 weeks
期刊介绍: Clinical Proteomics encompasses all aspects of translational proteomics. Special emphasis will be placed on the application of proteomic technology to all aspects of clinical research and molecular medicine. The journal is committed to rapid scientific review and timely publication of submitted manuscripts.
×
引用
GB/T 7714-2015
复制
MLA
复制
APA
复制
导出至
BibTeX EndNote RefMan NoteFirst NoteExpress
×
提示
您的信息不完整,为了账户安全,请先补充。
现在去补充
×
提示
您因"违规操作"
具体请查看互助需知
我知道了
×
提示
确定
请完成安全验证×
copy
已复制链接
快去分享给好友吧!
我知道了
右上角分享
点击右上角分享
0
联系我们:info@booksci.cn Book学术提供免费学术资源搜索服务,方便国内外学者检索中英文文献。致力于提供最便捷和优质的服务体验。 Copyright © 2023 布克学术 All rights reserved.
京ICP备2023020795号-1
ghs 京公网安备 11010802042870号
Book学术文献互助
Book学术文献互助群
群 号:604180095
Book学术官方微信