Safety, Efficacy, and Pharmacokinetics of Combination SARS-CoV-2 Neutralizing Monoclonal Antibodies BMS-986414 (C135-LS) and BMS-986413 (C144-LS) Administered Subcutaneously in Non-Hospitalized Persons with COVID-19 in a Phase 2 Trial.

Q1 Medicine
Pathogens and Immunity Pub Date : 2024-05-06 eCollection Date: 2024-01-01 DOI:10.20411/pai.v9i1.660
Katya C Corado, Kara W Chew, Mark J Giganti, Ying Mu, Courtney V Fletcher, Judith S Currier, Eric S Daar, David A Wohl, Jonathan Z Li, Carlee B Moser, Justin Ritz, Arzhang Cyrus Javan, Gene Neytman, Marina Caskey, Michael D Hughes, Davey M Smith, Joseph J Eron
{"title":"Safety, Efficacy, and Pharmacokinetics of Combination SARS-CoV-2 Neutralizing Monoclonal Antibodies BMS-986414 (C135-LS) and BMS-986413 (C144-LS) Administered Subcutaneously in Non-Hospitalized Persons with COVID-19 in a Phase 2 Trial.","authors":"Katya C Corado, Kara W Chew, Mark J Giganti, Ying Mu, Courtney V Fletcher, Judith S Currier, Eric S Daar, David A Wohl, Jonathan Z Li, Carlee B Moser, Justin Ritz, Arzhang Cyrus Javan, Gene Neytman, Marina Caskey, Michael D Hughes, Davey M Smith, Joseph J Eron","doi":"10.20411/pai.v9i1.660","DOIUrl":null,"url":null,"abstract":"<p><strong>Background: </strong>Outpatient COVID-19 monoclonal antibody (mAb) treatment via subcutaneous delivery, if effective, overcomes the logistical burdens of intravenous administration.</p><p><strong>Methods: </strong>ACTIV-2/A5401 was a randomized, masked placebo-controlled platform trial where participants with COVID-19 at low risk for progression were randomized 1:1 to subcutaneously administered BMS-986414 (C135-LS) 200 mg, plus BMS-986413 (C144-LS) 200 mg, (BMS mAbs), or placebo. Coprimary outcomes were time to symptom improvement through 28 days; nasopharyngeal SARS-CoV-2 RNA below the lower limit of quantification (LLoQ) on days 3, 7, or 14; and treatment-emergent grade 3 or higher adverse events (TEAEs) through 28 days.</p><p><strong>Results: </strong>A total of 211 participants (105 BMS mAbs and 106 placebo) initiated study product. Time to symptom improvement favored the active therapy but was not significant (median 8 vs 10 days, <i>P</i>=0.19). There was no significant difference in the proportion with SARS-CoV-2 RNA <LLoQ at day 3 (risk ratio [RR] for BMS mAbs versus placebo: 1.03; 95%CI: 0.80, 1.32), at day 7 (RR: 1.04; 95%CI: 0.94, 1.15), or at day 14 (RR: 1.00; 95%CI: 0.90, 1.12). Fewer grade 3 TEAEs were reported for the BMS mAbs arm than placebo (RR: 0.58 [95%CI: 0.25, 1.32]). Through day 28, there were no deaths, and there were 4 hospitalizations in the BMS mAbs arm versus 3 in the placebo arm. Higher early plasma mAb concentrations were associated with more favorable outcomes.</p><p><strong>Conclusions: </strong>While safe, the BMS mAbs delivered subcutaneously were not effective at treating COVID-19 at low risk for progression. The lack of clinically significant activity may relate to the pharmacokinetics of subcutaneous administration of mAbs.</p>","PeriodicalId":36419,"journal":{"name":"Pathogens and Immunity","volume":"9 1","pages":"138-155"},"PeriodicalIF":0.0000,"publicationDate":"2024-05-06","publicationTypes":"Journal Article","fieldsOfStudy":null,"isOpenAccess":false,"openAccessPdf":"https://www.ncbi.nlm.nih.gov/pmc/articles/PMC11093219/pdf/","citationCount":"0","resultStr":null,"platform":"Semanticscholar","paperid":null,"PeriodicalName":"Pathogens and Immunity","FirstCategoryId":"1085","ListUrlMain":"https://doi.org/10.20411/pai.v9i1.660","RegionNum":0,"RegionCategory":null,"ArticlePicture":[],"TitleCN":null,"AbstractTextCN":null,"PMCID":null,"EPubDate":"2024/1/1 0:00:00","PubModel":"eCollection","JCR":"Q1","JCRName":"Medicine","Score":null,"Total":0}
引用次数: 0

Abstract

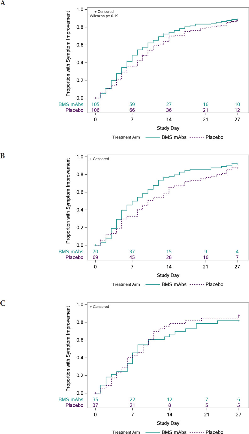
Background: Outpatient COVID-19 monoclonal antibody (mAb) treatment via subcutaneous delivery, if effective, overcomes the logistical burdens of intravenous administration.

Methods: ACTIV-2/A5401 was a randomized, masked placebo-controlled platform trial where participants with COVID-19 at low risk for progression were randomized 1:1 to subcutaneously administered BMS-986414 (C135-LS) 200 mg, plus BMS-986413 (C144-LS) 200 mg, (BMS mAbs), or placebo. Coprimary outcomes were time to symptom improvement through 28 days; nasopharyngeal SARS-CoV-2 RNA below the lower limit of quantification (LLoQ) on days 3, 7, or 14; and treatment-emergent grade 3 or higher adverse events (TEAEs) through 28 days.

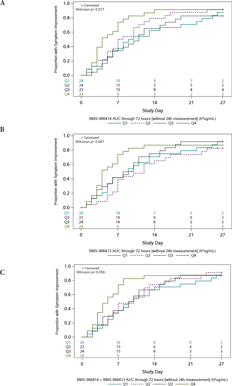
Results: A total of 211 participants (105 BMS mAbs and 106 placebo) initiated study product. Time to symptom improvement favored the active therapy but was not significant (median 8 vs 10 days, P=0.19). There was no significant difference in the proportion with SARS-CoV-2 RNA

Conclusions: While safe, the BMS mAbs delivered subcutaneously were not effective at treating COVID-19 at low risk for progression. The lack of clinically significant activity may relate to the pharmacokinetics of subcutaneous administration of mAbs.

Abstract Image

Abstract Image

SARS-CoV-2中和单克隆抗体BMS-986414 (C135-LS)和BMS-986413 (C144-LS)复方制剂在COVID-19非住院患者中皮下注射的安全性、有效性和药代动力学2期试验。
背景通过皮下注射COVID-19单克隆抗体(mAb)进行门诊治疗,如果效果显著,将克服静脉给药带来的后勤负担:ACTIV-2/A5401是一项随机、掩蔽安慰剂对照平台试验,将COVID-19低进展风险患者按1:1比例随机分配到皮下注射BMS-986414(C135-LS)200毫克和BMS-986413(C144-LS)200毫克(BMS mAb)或安慰剂。主要结果为28天内症状改善的时间;第3、7或14天鼻咽SARS-CoV-2 RNA低于定量下限(LLoQ);以及28天内治疗引发的3级或以上不良事件(TEAEs):共有211人(105人使用BMS mAbs,106人使用安慰剂)开始服用研究产品。症状改善的时间有利于主动疗法,但并不显著(中位数为8天对10天,P=0.19)。感染SARS-CoV-2 RNA的比例没有明显差异:皮下注射的BMS mAbs虽然安全,但对治疗COVID-19进展风险低的患者效果不佳。缺乏有临床意义的活性可能与皮下注射 mAbs 的药代动力学有关。
本文章由计算机程序翻译,如有差异,请以英文原文为准。
求助全文
约1分钟内获得全文 求助全文
来源期刊
Pathogens and Immunity
Pathogens and Immunity Medicine-Infectious Diseases
CiteScore
10.60
自引率
0.00%
发文量
16
审稿时长
10 weeks
×
引用
GB/T 7714-2015
复制
MLA
复制
APA
复制
导出至
BibTeX EndNote RefMan NoteFirst NoteExpress
×
提示
您的信息不完整,为了账户安全,请先补充。
现在去补充
×
提示
您因"违规操作"
具体请查看互助需知
我知道了
×
提示
确定
请完成安全验证×
copy
已复制链接
快去分享给好友吧!
我知道了
右上角分享
点击右上角分享
0
联系我们:info@booksci.cn Book学术提供免费学术资源搜索服务,方便国内外学者检索中英文文献。致力于提供最便捷和优质的服务体验。 Copyright © 2023 布克学术 All rights reserved.
京ICP备2023020795号-1
ghs 京公网安备 11010802042870号
Book学术文献互助
Book学术文献互助群
群 号:604180095
Book学术官方微信