Muscle Quality as a Potential Diagnostic Marker of Advanced Liver Fibrosis in Patients with Non-alcoholic Fatty Liver Disease.

IF 7.9 Q1 ENDOCRINOLOGY & METABOLISM
Journal of Obesity & Metabolic Syndrome Pub Date : 2024-06-30 Epub Date: 2024-05-13 DOI:10.7570/jomes23072
Natsumi Oshida, Sechang Oh, Bokun Kim, Ikuru Miura, Naoyuki Hasegawa, Shoichi Komine, Tomonori Isobe, Junichi Shoda
{"title":"Muscle Quality as a Potential Diagnostic Marker of Advanced Liver Fibrosis in Patients with Non-alcoholic Fatty Liver Disease.","authors":"Natsumi Oshida, Sechang Oh, Bokun Kim, Ikuru Miura, Naoyuki Hasegawa, Shoichi Komine, Tomonori Isobe, Junichi Shoda","doi":"10.7570/jomes23072","DOIUrl":null,"url":null,"abstract":"<p><strong>Background: </strong>Muscle-liver crosstalk plays an important role in the development and progression of non-alcoholic fatty liver disease (NAFLD). The measurement of muscle echo-intensity during ultrasonography is a real-time, non-invasive method of assessing muscle quality. In this retrospective study, we investigated the significance of poor muscle quality (namely, a greater mass of non-contractile tissue, including intramuscular fat) as a risk factor for advanced liver fibrosis and considered whether it may represent a useful tool for the diagnosis of advanced liver fibrosis.</p><p><strong>Methods: </strong>We analyzed data from 307 patients with NAFLD (143 men and 164 women) who visited the University of Tsukuba Hospital between 2017 and 2022. The patients were stratified into the following tertiles of muscle quality according to their muscle echo-intensity on ultrasonography: modest (84.1 arbitrary units [A.U.]), intermediate (97.4 A.U.), and poor (113.6 A.U.). We then investigated the relationships between muscle quality and risk factors for advanced liver fibrosis and calculated appropriate cutoff values.</p><p><strong>Results: </strong>Patients with poor muscle quality showed a significant, 7.6-fold greater risk of liver fibrosis compared to those with modest muscle quality. Receiver operating characteristic curve analysis showed that muscle quality assessment was as accurate as the fibrosis-4 index and NAFLD fibrosis score in screening for liver fibrosis and superior to the assessment of muscle quantity and strength, respectively. Importantly, a muscle echo-intensity of ≥92.4 A.U. may represent a useful marker of advanced liver fibrosis.</p><p><strong>Conclusion: </strong>Muscle quality may represent a useful means of identifying advanced liver fibrosis, and its assessment may become a useful screening tool in daily practice.</p>","PeriodicalId":45386,"journal":{"name":"Journal of Obesity & Metabolic Syndrome","volume":" ","pages":"143-154"},"PeriodicalIF":7.9000,"publicationDate":"2024-06-30","publicationTypes":"Journal Article","fieldsOfStudy":null,"isOpenAccess":false,"openAccessPdf":"https://www.ncbi.nlm.nih.gov/pmc/articles/PMC11224921/pdf/","citationCount":"0","resultStr":null,"platform":"Semanticscholar","paperid":null,"PeriodicalName":"Journal of Obesity & Metabolic Syndrome","FirstCategoryId":"1085","ListUrlMain":"https://doi.org/10.7570/jomes23072","RegionNum":0,"RegionCategory":null,"ArticlePicture":[],"TitleCN":null,"AbstractTextCN":null,"PMCID":null,"EPubDate":"2024/5/13 0:00:00","PubModel":"Epub","JCR":"Q1","JCRName":"ENDOCRINOLOGY & METABOLISM","Score":null,"Total":0}
引用次数: 0

Abstract

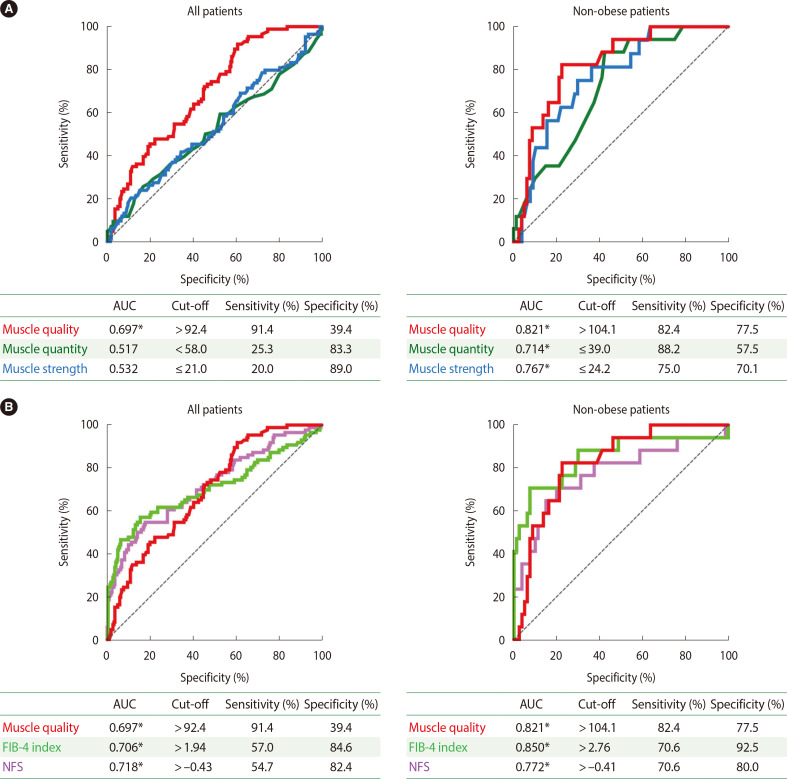
Background: Muscle-liver crosstalk plays an important role in the development and progression of non-alcoholic fatty liver disease (NAFLD). The measurement of muscle echo-intensity during ultrasonography is a real-time, non-invasive method of assessing muscle quality. In this retrospective study, we investigated the significance of poor muscle quality (namely, a greater mass of non-contractile tissue, including intramuscular fat) as a risk factor for advanced liver fibrosis and considered whether it may represent a useful tool for the diagnosis of advanced liver fibrosis.

Methods: We analyzed data from 307 patients with NAFLD (143 men and 164 women) who visited the University of Tsukuba Hospital between 2017 and 2022. The patients were stratified into the following tertiles of muscle quality according to their muscle echo-intensity on ultrasonography: modest (84.1 arbitrary units [A.U.]), intermediate (97.4 A.U.), and poor (113.6 A.U.). We then investigated the relationships between muscle quality and risk factors for advanced liver fibrosis and calculated appropriate cutoff values.

Results: Patients with poor muscle quality showed a significant, 7.6-fold greater risk of liver fibrosis compared to those with modest muscle quality. Receiver operating characteristic curve analysis showed that muscle quality assessment was as accurate as the fibrosis-4 index and NAFLD fibrosis score in screening for liver fibrosis and superior to the assessment of muscle quantity and strength, respectively. Importantly, a muscle echo-intensity of ≥92.4 A.U. may represent a useful marker of advanced liver fibrosis.

Conclusion: Muscle quality may represent a useful means of identifying advanced liver fibrosis, and its assessment may become a useful screening tool in daily practice.

Abstract Image

Abstract Image

Abstract Image

肌肉质量作为非酒精性脂肪肝患者晚期肝纤维化的潜在诊断指标
背景:肌肉与肝脏之间的相互影响在非酒精性脂肪肝(NAFLD)的发生和发展过程中起着重要作用。在超声波检查中测量肌肉回声强度是一种实时、无创的肌肉质量评估方法。在这项回顾性研究中,我们调查了肌肉质量差(即非收缩性组织(包括肌肉内脂肪)的质量较大)作为晚期肝纤维化风险因素的意义,并考虑了它是否可作为诊断晚期肝纤维化的有用工具:我们分析了2017年至2022年期间在筑波大学医院就诊的307名非酒精性脂肪肝患者(男性143人,女性164人)的数据。根据超声波检查的肌肉回声强度,将患者的肌肉质量分为以下三等分:中等(84.1 A.U.)、中等(97.4 A.U.)和较差(113.6 A.U.)。然后,我们研究了肌肉质量与晚期肝纤维化风险因素之间的关系,并计算出了适当的临界值:结果:与肌肉质量一般的患者相比,肌肉质量差的患者发生肝纤维化的风险明显高出7.6倍。接收者操作特征曲线分析表明,在筛查肝纤维化方面,肌肉质量评估与纤维化-4指数和非酒精性脂肪肝纤维化评分一样准确,并分别优于肌肉数量和力量评估。重要的是,肌肉回声强度≥92.4 A.U.可能是晚期肝纤维化的有效标志:肌肉质量可能是识别晚期肝纤维化的有效方法,其评估可能成为日常实践中的有用筛查工具。
本文章由计算机程序翻译,如有差异,请以英文原文为准。
求助全文
约1分钟内获得全文 求助全文
来源期刊
Journal of Obesity & Metabolic Syndrome
Journal of Obesity & Metabolic Syndrome ENDOCRINOLOGY & METABOLISM-
CiteScore
8.30
自引率
9.60%
发文量
39
审稿时长
19 weeks
期刊介绍: The journal was launched in 1992 and diverse studies on obesity have been published under the title of Journal of Korean Society for the Study of Obesity until 2004. Since 2017, volume 26, the title is now the Journal of Obesity & Metabolic Syndrome (pISSN 2508-6235, eISSN 2508-7576). The journal is published quarterly on March 30th, June 30th, September 30th and December 30th. The official title of the journal is now "Journal of Obesity & Metabolic Syndrome" and the abbreviated title is "J Obes Metab Syndr". Index words from medical subject headings (MeSH) list of Index Medicus are included in each article to facilitate article search. Some or all of the articles of this journal are included in the index of PubMed, PubMed Central, Scopus, Embase, DOAJ, Ebsco, KCI, KoreaMed, KoMCI, Science Central, Crossref Metadata Search, Google Scholar, and Emerging Sources Citation Index (ESCI).
×
引用
GB/T 7714-2015
复制
MLA
复制
APA
复制
导出至
BibTeX EndNote RefMan NoteFirst NoteExpress
×
提示
您的信息不完整,为了账户安全,请先补充。
现在去补充
×
提示
您因"违规操作"
具体请查看互助需知
我知道了
×
提示
确定
请完成安全验证×
copy
已复制链接
快去分享给好友吧!
我知道了
右上角分享
点击右上角分享
0
联系我们:info@booksci.cn Book学术提供免费学术资源搜索服务,方便国内外学者检索中英文文献。致力于提供最便捷和优质的服务体验。 Copyright © 2023 布克学术 All rights reserved.
京ICP备2023020795号-1
ghs 京公网安备 11010802042870号
Book学术文献互助
Book学术文献互助群
群 号:604180095
Book学术官方微信