Diagnostic Indicators of ECG for Coronary Slow Flow Phenomenon; a Systematic Review and Meta-Analysis.

IF 2 Q1 EMERGENCY MEDICINE
Archives of Academic Emergency Medicine Pub Date : 2024-03-03 eCollection Date: 2024-01-01 DOI:10.22037/aaem.v12i1.2202
MohammadHossein MozafaryBazargany, Parham Samimisedeh, Niloofar Gholami, Elmira Jafari Afshar, Amirhossein Memari, Shahrooz Yazdani, Hadith Rastad
{"title":"Diagnostic Indicators of ECG for Coronary Slow Flow Phenomenon; a Systematic Review and Meta-Analysis.","authors":"MohammadHossein MozafaryBazargany, Parham Samimisedeh, Niloofar Gholami, Elmira Jafari Afshar, Amirhossein Memari, Shahrooz Yazdani, Hadith Rastad","doi":"10.22037/aaem.v12i1.2202","DOIUrl":null,"url":null,"abstract":"<p><strong>Introduction: </strong>Currently, epicardial coronary angiography is still the only diagnostic tool for Coronary Slow Flow Phenomenon (CSFP). This study aimed to systematically review studies that compared Electrocardiogram (ECG) findings between patients with and without CSFP.</p><p><strong>Methods: </strong>Using relevant key terms, we systematically searched MEDLINE, Scopus, Embase, and Web of Science to find relevant studies up to February 5<sup>th</sup>, 2023. Effect sizes in each study were calculated as mean differences and crude odds ratio; then, random-effect models using inverse variance and Mantel-Haenszel methods were used to pool standardized mean differences (SMD) and crude odds ratios, respectively.</p><p><strong>Results: </strong>Thirty-two eligible articles with a total sample size of 3,937 patients (2,069 with CSFP) were included. CSFP patients had higher P-wave maximum (Pmax) (SMD: 1.02 (95% confidence interval (CI): 0.29 - 1.76); p=0.006) and P-dispersion (Pd) (SMD: 1.63 (95% CI: 0.99 - 2.27); p<0.001) compared to the control group. CSFP group also showed significantly longer QT wave maximum duration (SMD: 0.69 (95% CI: 0.33 - 1.06); p<0.001), uncorrected QTd (SMD: 1.89(95% CI: 0.67 - 3.11); p=0.002), and corrected dispersion (QTcd) (SMD: 1.63 (95% CI: 1.09 - 2.17), p<0.001). The frontal QRS-T angle was significantly higher in the CSFP group in comparison with the control group (SMD: 1.18 (95% CI: 0.31 - 2.04; p=0.007). While CSFP patients had a significantly higher T-peak to T-end (Tp-e) (SMD:1.71 (95% CI: 0.91, 2.52), p<0.001), no significant difference was noted between groups in terms of Tp-e to QT (p=0.16) and corrected QT ratios (p=0.07).</p><p><strong>Conclusion: </strong>Our findings suggest several ECG parameters, such as P max, Pd, QT, QTc, QTd, QTcd, Tp-e, and frontal QRS-T angle, may be prolonged in CSFP patients, and they could be employed as diagnostic indicators of CSFP before angiography.</p>","PeriodicalId":8146,"journal":{"name":"Archives of Academic Emergency Medicine","volume":"12 1","pages":"e34"},"PeriodicalIF":2.0000,"publicationDate":"2024-03-03","publicationTypes":"Journal Article","fieldsOfStudy":null,"isOpenAccess":false,"openAccessPdf":"https://www.ncbi.nlm.nih.gov/pmc/articles/PMC11077394/pdf/","citationCount":"0","resultStr":null,"platform":"Semanticscholar","paperid":null,"PeriodicalName":"Archives of Academic Emergency Medicine","FirstCategoryId":"1085","ListUrlMain":"https://doi.org/10.22037/aaem.v12i1.2202","RegionNum":0,"RegionCategory":null,"ArticlePicture":[],"TitleCN":null,"AbstractTextCN":null,"PMCID":null,"EPubDate":"2024/1/1 0:00:00","PubModel":"eCollection","JCR":"Q1","JCRName":"EMERGENCY MEDICINE","Score":null,"Total":0}
引用次数: 0

Abstract

Introduction: Currently, epicardial coronary angiography is still the only diagnostic tool for Coronary Slow Flow Phenomenon (CSFP). This study aimed to systematically review studies that compared Electrocardiogram (ECG) findings between patients with and without CSFP.

Methods: Using relevant key terms, we systematically searched MEDLINE, Scopus, Embase, and Web of Science to find relevant studies up to February 5th, 2023. Effect sizes in each study were calculated as mean differences and crude odds ratio; then, random-effect models using inverse variance and Mantel-Haenszel methods were used to pool standardized mean differences (SMD) and crude odds ratios, respectively.

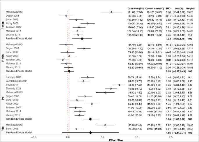
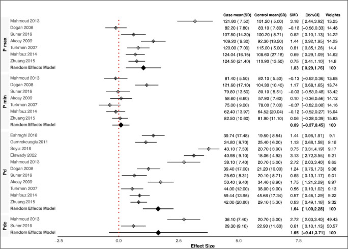
Results: Thirty-two eligible articles with a total sample size of 3,937 patients (2,069 with CSFP) were included. CSFP patients had higher P-wave maximum (Pmax) (SMD: 1.02 (95% confidence interval (CI): 0.29 - 1.76); p=0.006) and P-dispersion (Pd) (SMD: 1.63 (95% CI: 0.99 - 2.27); p<0.001) compared to the control group. CSFP group also showed significantly longer QT wave maximum duration (SMD: 0.69 (95% CI: 0.33 - 1.06); p<0.001), uncorrected QTd (SMD: 1.89(95% CI: 0.67 - 3.11); p=0.002), and corrected dispersion (QTcd) (SMD: 1.63 (95% CI: 1.09 - 2.17), p<0.001). The frontal QRS-T angle was significantly higher in the CSFP group in comparison with the control group (SMD: 1.18 (95% CI: 0.31 - 2.04; p=0.007). While CSFP patients had a significantly higher T-peak to T-end (Tp-e) (SMD:1.71 (95% CI: 0.91, 2.52), p<0.001), no significant difference was noted between groups in terms of Tp-e to QT (p=0.16) and corrected QT ratios (p=0.07).

Conclusion: Our findings suggest several ECG parameters, such as P max, Pd, QT, QTc, QTd, QTcd, Tp-e, and frontal QRS-T angle, may be prolonged in CSFP patients, and they could be employed as diagnostic indicators of CSFP before angiography.

Abstract Image

Abstract Image

Abstract Image

冠状动脉慢血流现象的心电图诊断指标;系统综述与 Meta 分析。
简介目前,心外膜冠状动脉造影仍是冠状动脉慢流现象(CSFP)的唯一诊断工具。本研究旨在系统回顾比较冠状动脉慢速血流现象患者与非患者心电图(ECG)结果的研究:使用相关关键词,我们系统地检索了 MEDLINE、Scopus、Embase 和 Web of Science,以找到截至 2023 年 2 月 5 日的相关研究。每项研究的效应大小均以均值差异和粗略几率比率计算,然后使用反方差随机效应模型和 Mantel-Haenszel 方法分别汇集标准化均值差异(SMD)和粗略几率比率:共纳入 32 篇符合条件的文章,总样本量为 3,937 例患者(其中 2,069 例为 CSFP 患者)。CSFP患者的P波最大值(Pmax)(SMD:1.02(95% 置信区间(CI):0.29 - 1.76);p=0.006)和P波分散值(Pd)(SMD:1.63(95% 置信区间(CI):0.99 - 2.27);p)均较高:我们的研究结果表明,一些心电图参数,如P max、Pd、QT、QTc、QTd、QTcd、Tp-e和额部QRS-T角,在CSFP患者中可能会延长,这些参数可作为血管造影前CSFP的诊断指标。
本文章由计算机程序翻译,如有差异,请以英文原文为准。
求助全文
约1分钟内获得全文 求助全文
来源期刊
Archives of Academic Emergency Medicine
Archives of Academic Emergency Medicine Medicine-Emergency Medicine
CiteScore
8.90
自引率
7.40%
发文量
0
审稿时长
6 weeks
×
引用
GB/T 7714-2015
复制
MLA
复制
APA
复制
导出至
BibTeX EndNote RefMan NoteFirst NoteExpress
×
提示
您的信息不完整,为了账户安全,请先补充。
现在去补充
×
提示
您因"违规操作"
具体请查看互助需知
我知道了
×
提示
确定
请完成安全验证×
copy
已复制链接
快去分享给好友吧!
我知道了
右上角分享
点击右上角分享
0
联系我们:info@booksci.cn Book学术提供免费学术资源搜索服务,方便国内外学者检索中英文文献。致力于提供最便捷和优质的服务体验。 Copyright © 2023 布克学术 All rights reserved.
京ICP备2023020795号-1
ghs 京公网安备 11010802042870号
Book学术文献互助
Book学术文献互助群
群 号:604180095
Book学术官方微信