Role of urinary N-acetyl-beta-D-glucosaminidase in predicting the prognosis of antenatal hydronephrosis.

IF 2.1 3区 医学 Q2 UROLOGY & NEPHROLOGY
Kwanjin Park, Kyeong Kim, Young Jae Im
{"title":"Role of urinary N-acetyl-beta-D-glucosaminidase in predicting the prognosis of antenatal hydronephrosis.","authors":"Kwanjin Park, Kyeong Kim, Young Jae Im","doi":"10.4111/icu.20240091","DOIUrl":null,"url":null,"abstract":"<p><strong>Purpose: </strong>Urinary biomarkers are known to be able to diagnose renal damage caused by obstruction at an early stage. We evaluated the usefulness of urine N-acetyl-beta-D-glucosaminidase (NAG) to determine the prognosis of antenatal hydronephrosis.</p><p><strong>Materials and methods: </strong>From January 2019 to December 2021, a retrospective study was performed on patients with grade 3 or 4 hydronephrosis. We analyzed the ultrasonographic findings and the urinary NAG/Cr ratio between the laparoscopic pyeloplasty (LP) group and active surveillance (AS) group.</p><p><strong>Results: </strong>A total of 21 children underwent LP for ureteropelvic junction (UPJ) obstruction and 14 children underwent AS. The mean age at the time of examination was 3.7 months (1.7-7.5 months) in the LP and 5.2 months (0.5-21.5 months) in the AS (p=0.564). The mean anteroposterior pelvic diameter was 30.0 mm (15.0-49.0 mm) in the LP and 16.7 mm (9.0-31.3 mm) in the AS (p=0.003). The mean renal parenchymal thickness was 2.6 mm (1.2-3.7 mm) in the LP and 3.8 mm (2.9-5.5 mm) in the AS (p=0.017). The urinary NAG/Cr ratio was 26.1 IU/g (9.8-47.4 IU/g) in the LP and 11.1 IU/g (2.6-18.1 IU/g) in the AS (p=0.003). After LP, the urinary NAG/Cr ratio was significantly reduced to 10.4 IU/g (3.4-14.2 IU/g) (p=0.023).</p><p><strong>Conclusions: </strong>The urinary NAG/Cr ratio, one of the biomarkers of acute renal injury, is closely related to the degree of hydronephrosis. Therefore, it may be useful to determine whether to perform surgery on the UPJ obstruction and to predict the prognosis.</p>","PeriodicalId":14522,"journal":{"name":"Investigative and Clinical Urology","volume":"65 3","pages":"293-299"},"PeriodicalIF":2.1000,"publicationDate":"2024-05-01","publicationTypes":"Journal Article","fieldsOfStudy":null,"isOpenAccess":false,"openAccessPdf":"https://www.ncbi.nlm.nih.gov/pmc/articles/PMC11076795/pdf/","citationCount":"0","resultStr":null,"platform":"Semanticscholar","paperid":null,"PeriodicalName":"Investigative and Clinical Urology","FirstCategoryId":"3","ListUrlMain":"https://doi.org/10.4111/icu.20240091","RegionNum":3,"RegionCategory":"医学","ArticlePicture":[],"TitleCN":null,"AbstractTextCN":null,"PMCID":null,"EPubDate":"","PubModel":"","JCR":"Q2","JCRName":"UROLOGY & NEPHROLOGY","Score":null,"Total":0}
引用次数: 0

Abstract

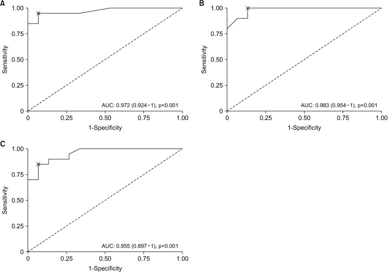
Purpose: Urinary biomarkers are known to be able to diagnose renal damage caused by obstruction at an early stage. We evaluated the usefulness of urine N-acetyl-beta-D-glucosaminidase (NAG) to determine the prognosis of antenatal hydronephrosis.

Materials and methods: From January 2019 to December 2021, a retrospective study was performed on patients with grade 3 or 4 hydronephrosis. We analyzed the ultrasonographic findings and the urinary NAG/Cr ratio between the laparoscopic pyeloplasty (LP) group and active surveillance (AS) group.

Results: A total of 21 children underwent LP for ureteropelvic junction (UPJ) obstruction and 14 children underwent AS. The mean age at the time of examination was 3.7 months (1.7-7.5 months) in the LP and 5.2 months (0.5-21.5 months) in the AS (p=0.564). The mean anteroposterior pelvic diameter was 30.0 mm (15.0-49.0 mm) in the LP and 16.7 mm (9.0-31.3 mm) in the AS (p=0.003). The mean renal parenchymal thickness was 2.6 mm (1.2-3.7 mm) in the LP and 3.8 mm (2.9-5.5 mm) in the AS (p=0.017). The urinary NAG/Cr ratio was 26.1 IU/g (9.8-47.4 IU/g) in the LP and 11.1 IU/g (2.6-18.1 IU/g) in the AS (p=0.003). After LP, the urinary NAG/Cr ratio was significantly reduced to 10.4 IU/g (3.4-14.2 IU/g) (p=0.023).

Conclusions: The urinary NAG/Cr ratio, one of the biomarkers of acute renal injury, is closely related to the degree of hydronephrosis. Therefore, it may be useful to determine whether to perform surgery on the UPJ obstruction and to predict the prognosis.

Abstract Image

Abstract Image

Abstract Image

尿液中的 N-乙酰-beta-D-葡萄糖苷酶在预测产前肾积水预后中的作用。
目的:众所周知,尿液生物标志物能够早期诊断梗阻引起的肾损伤。我们评估了尿液 N-乙酰基-beta-D-葡萄糖苷酶(NAG)在判断产前肾积水预后方面的作用:2019年1月至2021年12月,我们对3级或4级肾积水患者进行了回顾性研究。我们分析了腹腔镜肾盂成形术(LP)组和积极监测(AS)组之间的超声波检查结果和尿NAG/Cr比值:共有21名儿童因输尿管肾盂连接处(UPJ)梗阻接受了腹腔镜肾盂成形术(LP),14名儿童接受了腹腔镜肾盂成形术(AS)。接受 LP 检查时的平均年龄为 3.7 个月(1.7-7.5 个月),接受 AS 检查时的平均年龄为 5.2 个月(0.5-21.5 个月)(P=0.564)。LP患者的平均骨盆前后直径为30.0毫米(15.0-49.0毫米),AS患者为16.7毫米(9.0-31.3毫米)(P=0.003)。LP患者的平均肾实质厚度为2.6毫米(1.2-3.7毫米),AS患者为3.8毫米(2.9-5.5毫米)(P=0.017)。LP患者的尿NAG/Cr比值为26.1 IU/g(9.8-47.4 IU/g),AS患者为11.1 IU/g(2.6-18.1 IU/g)(P=0.003)。LP后,尿液NAG/Cr比值明显降低至10.4 IU/g(3.4-14.2 IU/g)(p=0.023):结论:尿 NAG/Cr 比值是急性肾损伤的生物标志物之一,与肾积水程度密切相关。结论:尿 NAG/Cr 比值是急性肾损伤的生物标志物之一,与肾积水程度密切相关,因此可用于确定是否对 UPJ 梗阻进行手术以及预测预后。
本文章由计算机程序翻译,如有差异,请以英文原文为准。
求助全文
约1分钟内获得全文 求助全文
来源期刊
CiteScore
4.10
自引率
4.30%
发文量
82
审稿时长
4 weeks
期刊介绍: Investigative and Clinical Urology (Investig Clin Urol, ICUrology) is an international, peer-reviewed, platinum open access journal published bimonthly. ICUrology aims to provide outstanding scientific and clinical research articles, that will advance knowledge and understanding of urological diseases and current therapeutic treatments. ICUrology publishes Original Articles, Rapid Communications, Review Articles, Special Articles, Innovations in Urology, Editorials, and Letters to the Editor, with a focus on the following areas of expertise: • Precision Medicine in Urology • Urological Oncology • Robotics/Laparoscopy • Endourology/Urolithiasis • Lower Urinary Tract Dysfunction • Female Urology • Sexual Dysfunction/Infertility • Infection/Inflammation • Reconstruction/Transplantation • Geriatric Urology • Pediatric Urology • Basic/Translational Research One of the notable features of ICUrology is the application of multimedia platforms facilitating easy-to-access online video clips of newly developed surgical techniques from the journal''s website, by a QR (quick response) code located in the article, or via YouTube. ICUrology provides current and highly relevant knowledge to a broad audience at the cutting edge of urological research and clinical practice.
×
引用
GB/T 7714-2015
复制
MLA
复制
APA
复制
导出至
BibTeX EndNote RefMan NoteFirst NoteExpress
×
提示
您的信息不完整,为了账户安全,请先补充。
现在去补充
×
提示
您因"违规操作"
具体请查看互助需知
我知道了
×
提示
确定
请完成安全验证×
copy
已复制链接
快去分享给好友吧!
我知道了
右上角分享
点击右上角分享
0
联系我们:info@booksci.cn Book学术提供免费学术资源搜索服务,方便国内外学者检索中英文文献。致力于提供最便捷和优质的服务体验。 Copyright © 2023 布克学术 All rights reserved.
京ICP备2023020795号-1
ghs 京公网安备 11010802042870号
Book学术文献互助
Book学术文献互助群
群 号:604180095
Book学术官方微信