Early feeding and nutritional status of Portuguese children in the first 36 months of life: EPACI Portugal 2012-a national representative cross-sectional study.

Porto biomedical journal Pub Date : 2024-04-26 eCollection Date: 2024-03-01 DOI:10.1097/j.pbj.0000000000000250
Margarida Nazareth, Elisabete Pinto, Milton Severo, Pedro Graça, Carla Lopes, Carla Rêgo
{"title":"Early feeding and nutritional status of Portuguese children in the first 36 months of life: EPACI Portugal 2012-a national representative cross-sectional study.","authors":"Margarida Nazareth, Elisabete Pinto, Milton Severo, Pedro Graça, Carla Lopes, Carla Rêgo","doi":"10.1097/j.pbj.0000000000000250","DOIUrl":null,"url":null,"abstract":"<p><strong>Background: </strong>Early feeding practices have a critical role in the future not only in health but also in modulating eating habits. This study aimed to assess breastfeeding and complementary feeding practices and the nutritional status of Portuguese toddlers aged 0-36 months.</p><p><strong>Methods: </strong>EPACI Portugal 2012 is a cross-sectional study of a national representative sample. Trained interviewers collected data about early feeding practices and anthropometrics. Body mass index was classified according to World Health Organization criteria. Frequencies and survival analysis were used to characterize variables.</p><p><strong>Results: </strong>More than 90% of children were initiated breastfeeding, around 20% were exclusively breastfed for six months, and about 20% were breastfed at 12 months while complementary feeding was taking place. Exclusive breastfeeding was determined by maternal prepregnancy body mass index (HR 1.01; 95% CI 1.00, 1.03, <i>P</i>=.03) and low birth weight (HR 1.61; IC 95% 1.21, 2.15, <i>P</i>=.001) of the infants. About 90% were initiated complementary feeding between four and six months, and almost 10% were introduced to cow's milk before 12 months. In the second year of life, 83.2% and 61.6% of toddlers have already consumed nectars and sweet desserts, respectively. About one-third of Portuguese toddlers showed a body mass index z-score >1, and 6.6% were overweight/obese (z-score >2). No association was found between the duration of breastfeeding or timing of complementary feeding and the body mass index z-score in children.</p><p><strong>Conclusions: </strong>Despite the low prevalence of exclusive breastfeeding at six months, Portuguese infants effectively comply with dietary recommendations during the first year of life. The transition to the family diet must be carefully made. There is a high prevalence of Portuguese toddlers at least at overweight risk. The duration of breastfeeding or timing of complementary feeding was not associated with the expression of overweight/obesity.</p>","PeriodicalId":74479,"journal":{"name":"Porto biomedical journal","volume":"9 2","pages":"250"},"PeriodicalIF":0.0000,"publicationDate":"2024-04-26","publicationTypes":"Journal Article","fieldsOfStudy":null,"isOpenAccess":false,"openAccessPdf":"https://www.ncbi.nlm.nih.gov/pmc/articles/PMC11049788/pdf/","citationCount":"0","resultStr":null,"platform":"Semanticscholar","paperid":null,"PeriodicalName":"Porto biomedical journal","FirstCategoryId":"1085","ListUrlMain":"https://doi.org/10.1097/j.pbj.0000000000000250","RegionNum":0,"RegionCategory":null,"ArticlePicture":[],"TitleCN":null,"AbstractTextCN":null,"PMCID":null,"EPubDate":"2024/3/1 0:00:00","PubModel":"eCollection","JCR":"","JCRName":"","Score":null,"Total":0}
引用次数: 0

Abstract

Background: Early feeding practices have a critical role in the future not only in health but also in modulating eating habits. This study aimed to assess breastfeeding and complementary feeding practices and the nutritional status of Portuguese toddlers aged 0-36 months.

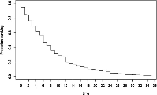
Methods: EPACI Portugal 2012 is a cross-sectional study of a national representative sample. Trained interviewers collected data about early feeding practices and anthropometrics. Body mass index was classified according to World Health Organization criteria. Frequencies and survival analysis were used to characterize variables.

Results: More than 90% of children were initiated breastfeeding, around 20% were exclusively breastfed for six months, and about 20% were breastfed at 12 months while complementary feeding was taking place. Exclusive breastfeeding was determined by maternal prepregnancy body mass index (HR 1.01; 95% CI 1.00, 1.03, P=.03) and low birth weight (HR 1.61; IC 95% 1.21, 2.15, P=.001) of the infants. About 90% were initiated complementary feeding between four and six months, and almost 10% were introduced to cow's milk before 12 months. In the second year of life, 83.2% and 61.6% of toddlers have already consumed nectars and sweet desserts, respectively. About one-third of Portuguese toddlers showed a body mass index z-score >1, and 6.6% were overweight/obese (z-score >2). No association was found between the duration of breastfeeding or timing of complementary feeding and the body mass index z-score in children.

Conclusions: Despite the low prevalence of exclusive breastfeeding at six months, Portuguese infants effectively comply with dietary recommendations during the first year of life. The transition to the family diet must be carefully made. There is a high prevalence of Portuguese toddlers at least at overweight risk. The duration of breastfeeding or timing of complementary feeding was not associated with the expression of overweight/obesity.

Abstract Image

Abstract Image

葡萄牙儿童出生后前 36 个月的早期喂养和营养状况:2012 年葡萄牙 EPACI--一项具有全国代表性的横断面研究。
背景:早期喂养方式不仅对未来的健康,而且对饮食习惯的养成都有着至关重要的作用。本研究旨在评估母乳喂养和辅食喂养方式以及葡萄牙 0-36 个月幼儿的营养状况:2012年葡萄牙EPACI是一项具有全国代表性的横断面研究。经过培训的访问员收集了有关早期喂养方式和人体测量的数据。体重指数根据世界卫生组织的标准进行分类。研究采用频率和生存分析来描述变量的特征:结果:90%以上的儿童开始进行母乳喂养,约20%的儿童纯母乳喂养6个月,约20%的儿童在12个月时进行母乳喂养,同时添加辅食。母体孕前体重指数(HR 1.01;95% CI 1.00,1.03,P=.03)和婴儿低出生体重(HR 1.61;IC 95% 1.21,2.15,P=.001)决定了是否纯母乳喂养。约 90% 的婴儿在 4 到 6 个月时开始添加辅食,近 10% 的婴儿在 12 个月前开始喝牛奶。在出生后的第二年,分别有 83.2% 和 61.6% 的幼儿已经食用过花蜜和甜点。约三分之一的葡萄牙幼儿的体重指数 z 值大于 1,6.6% 超重/肥胖(z 值大于 2)。母乳喂养持续时间或添加辅食的时间与儿童体重指数 z 值之间没有关联:尽管 6 个月纯母乳喂养的比例较低,但葡萄牙婴儿在出生后第一年能有效遵守饮食建议。向家庭饮食过渡必须谨慎。葡萄牙幼儿至少有超重风险的比例很高。母乳喂养的持续时间或添加辅食的时间与超重/肥胖的表现无关。
本文章由计算机程序翻译,如有差异,请以英文原文为准。
求助全文
约1分钟内获得全文 求助全文
来源期刊
自引率
0.00%
发文量
0
×
引用
GB/T 7714-2015
复制
MLA
复制
APA
复制
导出至
BibTeX EndNote RefMan NoteFirst NoteExpress
×
提示
您的信息不完整,为了账户安全,请先补充。
现在去补充
×
提示
您因"违规操作"
具体请查看互助需知
我知道了
×
提示
确定
请完成安全验证×
copy
已复制链接
快去分享给好友吧!
我知道了
右上角分享
点击右上角分享
0
联系我们:info@booksci.cn Book学术提供免费学术资源搜索服务,方便国内外学者检索中英文文献。致力于提供最便捷和优质的服务体验。 Copyright © 2023 布克学术 All rights reserved.
京ICP备2023020795号-1
ghs 京公网安备 11010802042870号
Book学术文献互助
Book学术文献互助群
群 号:604180095
Book学术官方微信