Breathing Pattern Disorders Distinguished from Healthy Breathing Patterns Using Optoelectronic Plethysmography.

IF 1.9 Q3 SPORT SCIENCES
Translational sports medicine Pub Date : 2022-12-03 eCollection Date: 2022-01-01 DOI:10.1155/2022/2816781
Carol M E Smyth, Samantha L Winter, John W Dickinson
{"title":"Breathing Pattern Disorders Distinguished from Healthy Breathing Patterns Using Optoelectronic Plethysmography.","authors":"Carol M E Smyth, Samantha L Winter, John W Dickinson","doi":"10.1155/2022/2816781","DOIUrl":null,"url":null,"abstract":"<p><p>There is no gold standard diagnostic method for breathing pattern disorders (BPD) which is commonly diagnosed through the exclusion of other pathologies. Optoelectronic plethysmography (OEP) is a 3D motion capture technique that provides a comprehensive noninvasive assessment of chest wall during rest and exercise. The purpose of this study was to determine if OEP can distinguish between active individuals classified with and without BPD at rest and during exercise. Forty-seven individuals with a healthy breathing pattern (HBP) and twenty-six individuals with a BPD performed a submaximal exercise challenge. OEP measured the movement of the chest wall through the calculation of timing, percentage contribution, and phase angle breathing pattern variables. A mixed model repeated measures ANOVA analysed the OEP variables between the groups classified as HBP and BPD at rest, during exercise, and after recovery. At rest, regional contribution variables including ribcage percentage contribution (HBP: 71% and BPD: 69%), abdominal ribcage contribution (HBP: 13% and BPD: 11%), abdomen percentage contribution (HBP: 29% and BPD: 31%), and ribcage and abdomen volume index (HPB: 2.5 and BPD: 2.2) were significantly (<i>p</i> < 0.05) different between groups. During exercise, BPD displayed significantly (<i>p</i> < 0.05) more asynchrony between various thoracic compartments including the ribcage and abdomen phase angle (HBP: -1.9 and BPD: -2.7), pulmonary ribcage and abdomen phase angle (HBP: -0.5 and BPD, 0.5), abdominal ribcage and shoulders phase angle (HBP: -0.3 and BPD: 0.6), and pulmonary ribcage and shoulders phase angle (HBP: 0.2 and BPD: 0.6). Additionally, the novel variables inhale deviation (HBP: 8.8% and BPD: 19.7%) and exhale deviation (HBP: -10.9% and BPD: -17.6%) were also significantly (<i>p</i> < 0.05) different between the groups during high intensity exercise. Regional contribution and phase angles measured via OEP can distinguish BPD from HBP at rest and during exercise. Characteristics of BPD include asynchronous and thoracic dominant breathing patterns that could form part of future objective criteria for the diagnosis of BPD.</p>","PeriodicalId":75247,"journal":{"name":"Translational sports medicine","volume":"2022 ","pages":"2816781"},"PeriodicalIF":1.9000,"publicationDate":"2022-12-03","publicationTypes":"Journal Article","fieldsOfStudy":null,"isOpenAccess":false,"openAccessPdf":"https://www.ncbi.nlm.nih.gov/pmc/articles/PMC11022780/pdf/","citationCount":"0","resultStr":null,"platform":"Semanticscholar","paperid":null,"PeriodicalName":"Translational sports medicine","FirstCategoryId":"1085","ListUrlMain":"https://doi.org/10.1155/2022/2816781","RegionNum":0,"RegionCategory":null,"ArticlePicture":[],"TitleCN":null,"AbstractTextCN":null,"PMCID":null,"EPubDate":"2022/1/1 0:00:00","PubModel":"eCollection","JCR":"Q3","JCRName":"SPORT SCIENCES","Score":null,"Total":0}
引用次数: 0

Abstract

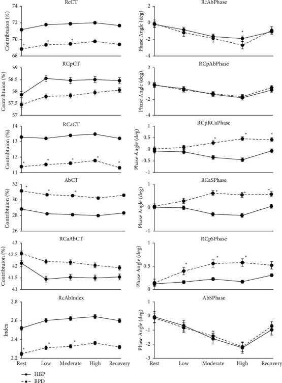
There is no gold standard diagnostic method for breathing pattern disorders (BPD) which is commonly diagnosed through the exclusion of other pathologies. Optoelectronic plethysmography (OEP) is a 3D motion capture technique that provides a comprehensive noninvasive assessment of chest wall during rest and exercise. The purpose of this study was to determine if OEP can distinguish between active individuals classified with and without BPD at rest and during exercise. Forty-seven individuals with a healthy breathing pattern (HBP) and twenty-six individuals with a BPD performed a submaximal exercise challenge. OEP measured the movement of the chest wall through the calculation of timing, percentage contribution, and phase angle breathing pattern variables. A mixed model repeated measures ANOVA analysed the OEP variables between the groups classified as HBP and BPD at rest, during exercise, and after recovery. At rest, regional contribution variables including ribcage percentage contribution (HBP: 71% and BPD: 69%), abdominal ribcage contribution (HBP: 13% and BPD: 11%), abdomen percentage contribution (HBP: 29% and BPD: 31%), and ribcage and abdomen volume index (HPB: 2.5 and BPD: 2.2) were significantly (p < 0.05) different between groups. During exercise, BPD displayed significantly (p < 0.05) more asynchrony between various thoracic compartments including the ribcage and abdomen phase angle (HBP: -1.9 and BPD: -2.7), pulmonary ribcage and abdomen phase angle (HBP: -0.5 and BPD, 0.5), abdominal ribcage and shoulders phase angle (HBP: -0.3 and BPD: 0.6), and pulmonary ribcage and shoulders phase angle (HBP: 0.2 and BPD: 0.6). Additionally, the novel variables inhale deviation (HBP: 8.8% and BPD: 19.7%) and exhale deviation (HBP: -10.9% and BPD: -17.6%) were also significantly (p < 0.05) different between the groups during high intensity exercise. Regional contribution and phase angles measured via OEP can distinguish BPD from HBP at rest and during exercise. Characteristics of BPD include asynchronous and thoracic dominant breathing patterns that could form part of future objective criteria for the diagnosis of BPD.

Abstract Image

Abstract Image

Abstract Image

利用光电胸廓成像技术将呼吸模式紊乱与健康呼吸模式区分开来。
呼吸模式紊乱 (BPD) 通常是通过排除其他病症而诊断出来的,目前还没有金标准诊断方法。光电胸透(OEP)是一种三维运动捕捉技术,可在休息和运动时对胸壁进行全面的无创评估。本研究的目的是确定 OEP 能否区分静息和运动时患有和不患有 BPD 的活跃个体。47 名具有健康呼吸模式 (HBP) 的人和 26 名患有 BPD 的人进行了亚极限运动挑战。OEP 通过计算呼吸模式的时间、贡献百分比和相位角变量来测量胸壁的运动。混合模型重复测量方差分析了分为 HBP 和 BPD 两组的人在静息、运动时和恢复后的 OEP 变量。静息时,区域贡献变量包括肋骨百分比贡献率(HBP:71%,BPD:69%)、腹部肋骨贡献率(HBP:13%,BPD:11%)、腹部百分比贡献率(HBP:29%,BPD:31%)以及肋骨和腹部容积指数(HPB:2.5,BPD:2.2)在组间存在显著差异(P < 0.05)。在运动过程中,BPD 的胸廓各部分之间的不同步程度明显更高(P < 0.05),包括肋骨和腹部相位角(HBP:-1.9 和 BPD:-2.7)、肺部肋骨和腹部相位角(HBP:-0.5 和 BPD:0.5)、腹部肋骨和肩部相位角(HBP:-0.3 和 BPD:0.6)以及肺部肋骨和肩部相位角(HBP:0.2 和 BPD:0.6)。此外,在高强度运动期间,吸气偏差(HBP:8.8%,BPD:19.7%)和呼气偏差(HBP:-10.9%,BPD:-17.6%)这两个新变量在各组之间也存在显著差异(P < 0.05)。通过 OEP 测量的区域贡献度和相位角可以区分静息时和运动时的 BPD 和 HBP。BPD 的特征包括不同步和胸廓主导呼吸模式,可作为未来诊断 BPD 的客观标准的一部分。
本文章由计算机程序翻译,如有差异,请以英文原文为准。
求助全文
约1分钟内获得全文 求助全文
来源期刊
CiteScore
3.00
自引率
0.00%
发文量
0
×
引用
GB/T 7714-2015
复制
MLA
复制
APA
复制
导出至
BibTeX EndNote RefMan NoteFirst NoteExpress
×
提示
您的信息不完整,为了账户安全,请先补充。
现在去补充
×
提示
您因"违规操作"
具体请查看互助需知
我知道了
×
提示
确定
请完成安全验证×
copy
已复制链接
快去分享给好友吧!
我知道了
右上角分享
点击右上角分享
0
联系我们:info@booksci.cn Book学术提供免费学术资源搜索服务,方便国内外学者检索中英文文献。致力于提供最便捷和优质的服务体验。 Copyright © 2023 布克学术 All rights reserved.
京ICP备2023020795号-1
ghs 京公网安备 11010802042870号
Book学术文献互助
Book学术文献互助群
群 号:604180095
Book学术官方微信