Protective effect of platelet-rich plasma against structural and functional changes of the adult rat testis in carbimazole-induced hypothyroidism.

IF 1.6 Q3 OBSTETRICS & GYNECOLOGY
Hossein Bordbar, Masoud Sattar-Shamsabadi, Farzaneh Dehghani, Fatemeh Karimi
{"title":"Protective effect of platelet-rich plasma against structural and functional changes of the adult rat testis in carbimazole-induced hypothyroidism.","authors":"Hossein Bordbar, Masoud Sattar-Shamsabadi, Farzaneh Dehghani, Fatemeh Karimi","doi":"10.5653/cerm.2023.06695","DOIUrl":null,"url":null,"abstract":"<p><strong>Objective: </strong>Hypothyroidism (HT) influences spermatogenesis and is associated with male infertility. Platelet-rich plasma (PRP), a biological product rich in growth factors, promotes tissue repair. In this study, the likely protective effects of PRP on testicular tissue damage in carbimazole (CBZ)-induced HT were evaluated.</p><p><strong>Methods: </strong>Forty male rats were divided into four groups. HT was induced by administering CBZ (1.35 mg/kg orally, for 45 days). Two doses of PRP (40 μL each, locally injected into the testis on days 15 and 30) were also given. After 45 days, blood samples were taken from the heart to measure triiodothyronine (T3), thyroxine (T4), and testosterone levels, and semen analysis was performed. For stereological assessment, the left testis was removed, fixed, embedded, sectioned, and stained with hematoxylin and eosin. The right testis was excised to evaluate antioxidant levels.</p><p><strong>Results: </strong>CBZ was demonstrated to induce HT, characterized by significant reductions in T3 and T4. HT was associated with decreased testicular weight, impaired sperm parameters, reduced testosterone concentration, diminished antioxidant activity, reduced volumes of testicular components, and lower total numbers of testicular cells of various types. When HT samples were treated with PRP, improvement was observed for all of these changes. This protective effect could be attributed to the growth factors present in PRP.</p><p><strong>Conclusion: </strong>PRP appears to prevent the structural changes in the testes and the deterioration in sperm quality caused by CBZ-induced HT. This protective effect is likely due to mitigation of oxidative damage and elevation of testosterone levels.</p>","PeriodicalId":46409,"journal":{"name":"Clinical and Experimental Reproductive Medicine-CERM","volume":" ","pages":"225-235"},"PeriodicalIF":1.6000,"publicationDate":"2024-09-01","publicationTypes":"Journal Article","fieldsOfStudy":null,"isOpenAccess":false,"openAccessPdf":"https://www.ncbi.nlm.nih.gov/pmc/articles/PMC11372310/pdf/","citationCount":"0","resultStr":null,"platform":"Semanticscholar","paperid":null,"PeriodicalName":"Clinical and Experimental Reproductive Medicine-CERM","FirstCategoryId":"1085","ListUrlMain":"https://doi.org/10.5653/cerm.2023.06695","RegionNum":0,"RegionCategory":null,"ArticlePicture":[],"TitleCN":null,"AbstractTextCN":null,"PMCID":null,"EPubDate":"2024/4/11 0:00:00","PubModel":"Epub","JCR":"Q3","JCRName":"OBSTETRICS & GYNECOLOGY","Score":null,"Total":0}
引用次数: 0

Abstract

Objective: Hypothyroidism (HT) influences spermatogenesis and is associated with male infertility. Platelet-rich plasma (PRP), a biological product rich in growth factors, promotes tissue repair. In this study, the likely protective effects of PRP on testicular tissue damage in carbimazole (CBZ)-induced HT were evaluated.

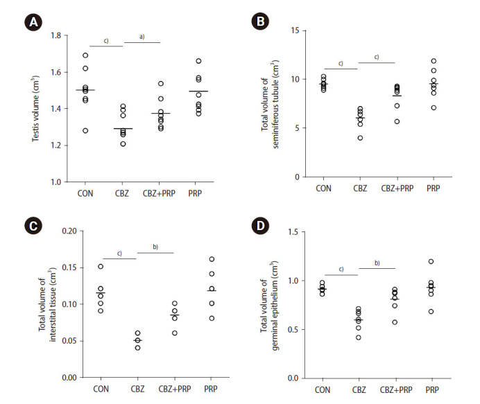
Methods: Forty male rats were divided into four groups. HT was induced by administering CBZ (1.35 mg/kg orally, for 45 days). Two doses of PRP (40 μL each, locally injected into the testis on days 15 and 30) were also given. After 45 days, blood samples were taken from the heart to measure triiodothyronine (T3), thyroxine (T4), and testosterone levels, and semen analysis was performed. For stereological assessment, the left testis was removed, fixed, embedded, sectioned, and stained with hematoxylin and eosin. The right testis was excised to evaluate antioxidant levels.

Results: CBZ was demonstrated to induce HT, characterized by significant reductions in T3 and T4. HT was associated with decreased testicular weight, impaired sperm parameters, reduced testosterone concentration, diminished antioxidant activity, reduced volumes of testicular components, and lower total numbers of testicular cells of various types. When HT samples were treated with PRP, improvement was observed for all of these changes. This protective effect could be attributed to the growth factors present in PRP.

Conclusion: PRP appears to prevent the structural changes in the testes and the deterioration in sperm quality caused by CBZ-induced HT. This protective effect is likely due to mitigation of oxidative damage and elevation of testosterone levels.

Abstract Image

Abstract Image

Abstract Image

富血小板血浆对卡比马唑诱发甲状腺功能减退症的成年大鼠睾丸结构和功能变化的保护作用
目的:甲状腺功能减退症(HT)会影响精子生成,并与男性不育症有关。富血小板血浆(PRP)是一种富含生长因子的生物制品,可促进组织修复。本研究评估了富血小板血浆对卡比马唑(CBZ)诱导的 HT 中睾丸组织损伤的可能保护作用:方法:40 只雄性大鼠分为四组。方法:40 只雄性大鼠分为四组,分别口服 CBZ(1.35 毫克/千克,连续 45 天)诱导 HT。此外,还给予两剂 PRP(各 40 μL,分别于第 15 天和第 30 天在睾丸局部注射)。45 天后,从心脏抽取血液样本,测量三碘甲状腺原氨酸(T3)、甲状腺素(T4)和睾酮水平,并进行精液分析。为进行立体学评估,切除左侧睾丸,固定、包埋、切片,并用苏木精和伊红染色。切除右侧睾丸以评估抗氧化剂水平:结果:CBZ 可诱导 HT,其特征是 T3 和 T4 显著降低。HT与睾丸重量减少、精子参数受损、睾酮浓度降低、抗氧化活性减弱、睾丸成分体积减少以及各种类型的睾丸细胞总数减少有关。用 PRP 处理 HT 样本后,所有这些变化都得到了改善。这种保护作用可归因于 PRP 中的生长因子:PRP似乎可以防止CBZ诱导的HT引起的睾丸结构变化和精子质量下降。这种保护作用可能是由于减轻了氧化损伤和提高了睾酮水平。
本文章由计算机程序翻译,如有差异,请以英文原文为准。
求助全文
约1分钟内获得全文 求助全文
来源期刊
CiteScore
3.30
自引率
0.00%
发文量
0
×
引用
GB/T 7714-2015
复制
MLA
复制
APA
复制
导出至
BibTeX EndNote RefMan NoteFirst NoteExpress
×
提示
您的信息不完整,为了账户安全,请先补充。
现在去补充
×
提示
您因"违规操作"
具体请查看互助需知
我知道了
×
提示
确定
请完成安全验证×
copy
已复制链接
快去分享给好友吧!
我知道了
右上角分享
点击右上角分享
0
联系我们:info@booksci.cn Book学术提供免费学术资源搜索服务,方便国内外学者检索中英文文献。致力于提供最便捷和优质的服务体验。 Copyright © 2023 布克学术 All rights reserved.
京ICP备2023020795号-1
ghs 京公网安备 11010802042870号
Book学术文献互助
Book学术文献互助群
群 号:604180095
Book学术官方微信