Changes of peripheral blood α-L-fucosidase activity in patients with rheumatoid arthritis: a cross-sectional study.

IF 0.9 4区 医学 Q4 ORTHOPEDICS
Annals of Joint Pub Date : 2024-03-11 eCollection Date: 2024-01-01 DOI:10.21037/aoj-23-50
Xiao-Gang Zhou, Hui He, Kun Yuan
{"title":"Changes of peripheral blood α-L-fucosidase activity in patients with rheumatoid arthritis: a cross-sectional study.","authors":"Xiao-Gang Zhou, Hui He, Kun Yuan","doi":"10.21037/aoj-23-50","DOIUrl":null,"url":null,"abstract":"<p><strong>Background: </strong>Rheumatoid arthritis (RA), a systemic autoimmune disease with approximately 1% prevalent population worldwide, which the etiology is still unclear. RA cannot be completely cured at present, which seriously affects the quality of life of patients. This study is to compare the peripheral blood α-L-fucosidase (AFU) between RA and healthy persons.</p><p><strong>Methods: </strong>A cross-sectional study was performed using total of 96 patients with RA served as case group and another 94 age-matched healthy volunteers served as a control group. AFU assay is detected by continuous monitoring method using Toshiba TBA-120FR (Tokyo, Japan) fully automatic biochemical analyzer in Japan, and the reagent is purchased from Zhejiang Quark Biological Company (Zhejiang, China). Statistical analysis was performed using SPSS 24.0 (SPSS, Inc., Chicago, IL, USA).</p><p><strong>Results: </strong>AFU activity in peripheral blood of RA patients were lower than healthy controls. The higher AFU activity, the shorter the course of disease (r=-0.2790, P=0.0065). The activity of lactate dehydrogenase in patients with RA is higher than that of healthy control, but the activity of acetylcholinesterase is lower than that of normal people. Finally, AFU activity was negatively correlated with the activity of lactate dehydrogenase (r=-0.2381, P=0.0208) and positively correlated with the activity of acetylcholinesterase (r=0.2985, P=0.0035).</p><p><strong>Conclusions: </strong>Changes of peripheral blood AFU activity might be associated with progression of disease in RA patients. The changes of AFU activity may lead to disturbances in glucose and lipid metabolism.</p>","PeriodicalId":44459,"journal":{"name":"Annals of Joint","volume":"9 ","pages":"13"},"PeriodicalIF":0.9000,"publicationDate":"2024-03-11","publicationTypes":"Journal Article","fieldsOfStudy":null,"isOpenAccess":false,"openAccessPdf":"https://www.ncbi.nlm.nih.gov/pmc/articles/PMC11058529/pdf/","citationCount":"0","resultStr":null,"platform":"Semanticscholar","paperid":null,"PeriodicalName":"Annals of Joint","FirstCategoryId":"3","ListUrlMain":"https://doi.org/10.21037/aoj-23-50","RegionNum":4,"RegionCategory":"医学","ArticlePicture":[],"TitleCN":null,"AbstractTextCN":null,"PMCID":null,"EPubDate":"2024/1/1 0:00:00","PubModel":"eCollection","JCR":"Q4","JCRName":"ORTHOPEDICS","Score":null,"Total":0}
引用次数: 0

Abstract

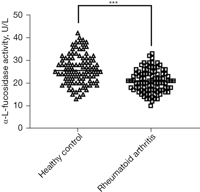
Background: Rheumatoid arthritis (RA), a systemic autoimmune disease with approximately 1% prevalent population worldwide, which the etiology is still unclear. RA cannot be completely cured at present, which seriously affects the quality of life of patients. This study is to compare the peripheral blood α-L-fucosidase (AFU) between RA and healthy persons.

Methods: A cross-sectional study was performed using total of 96 patients with RA served as case group and another 94 age-matched healthy volunteers served as a control group. AFU assay is detected by continuous monitoring method using Toshiba TBA-120FR (Tokyo, Japan) fully automatic biochemical analyzer in Japan, and the reagent is purchased from Zhejiang Quark Biological Company (Zhejiang, China). Statistical analysis was performed using SPSS 24.0 (SPSS, Inc., Chicago, IL, USA).

Results: AFU activity in peripheral blood of RA patients were lower than healthy controls. The higher AFU activity, the shorter the course of disease (r=-0.2790, P=0.0065). The activity of lactate dehydrogenase in patients with RA is higher than that of healthy control, but the activity of acetylcholinesterase is lower than that of normal people. Finally, AFU activity was negatively correlated with the activity of lactate dehydrogenase (r=-0.2381, P=0.0208) and positively correlated with the activity of acetylcholinesterase (r=0.2985, P=0.0035).

Conclusions: Changes of peripheral blood AFU activity might be associated with progression of disease in RA patients. The changes of AFU activity may lead to disturbances in glucose and lipid metabolism.

Abstract Image

Abstract Image

Abstract Image

类风湿性关节炎患者外周血α-L-岩藻糖苷酶活性的变化:一项横断面研究。
背景:类风湿性关节炎(RA类风湿性关节炎(RA)是一种全身性自身免疫性疾病,全球发病率约为 1%,病因至今不明。目前,RA 尚不能完全治愈,严重影响患者的生活质量。本研究旨在比较RA患者和健康人外周血α-L-岩藻糖苷酶(AFU):方法:这项横断面研究以 96 名 RA 患者为病例组,另外 94 名年龄匹配的健康志愿者为对照组。AFU检测采用连续监测法,使用日本东芝TBA-120FR(日本东京)全自动生化分析仪,试剂购自中国浙江夸克生物公司。统计分析采用 SPSS 24.0(SPSS, Inc:结果:RA患者外周血中AFU活性低于健康对照组。AFU活性越高,病程越短(r=-0.2790,P=0.0065)。RA患者乳酸脱氢酶的活性高于健康对照组,但乙酰胆碱酯酶的活性低于正常人。最后,AFU活性与乳酸脱氢酶活性呈负相关(r=-0.2381,P=0.0208),与乙酰胆碱酯酶活性呈正相关(r=0.2985,P=0.0035):结论:外周血AFU活性的变化可能与RA患者的病情进展有关。结论:外周血AFU活性的变化可能与RA患者的病情进展有关,AFU活性的变化可能导致葡萄糖和脂质代谢紊乱。
本文章由计算机程序翻译,如有差异,请以英文原文为准。
求助全文
约1分钟内获得全文 求助全文
来源期刊
Annals of Joint
Annals of Joint ORTHOPEDICS-
CiteScore
1.10
自引率
-25.00%
发文量
17
×
引用
GB/T 7714-2015
复制
MLA
复制
APA
复制
导出至
BibTeX EndNote RefMan NoteFirst NoteExpress
×
提示
您的信息不完整,为了账户安全,请先补充。
现在去补充
×
提示
您因"违规操作"
具体请查看互助需知
我知道了
×
提示
确定
请完成安全验证×
copy
已复制链接
快去分享给好友吧!
我知道了
右上角分享
点击右上角分享
0
联系我们:info@booksci.cn Book学术提供免费学术资源搜索服务,方便国内外学者检索中英文文献。致力于提供最便捷和优质的服务体验。 Copyright © 2023 布克学术 All rights reserved.
京ICP备2023020795号-1
ghs 京公网安备 11010802042870号
Book学术文献互助
Book学术文献互助群
群 号:604180095
Book学术官方微信