Impact of Dose Calculation Algorithms and Radiobiological Parameters on Prediction of Cardiopulmonary Complications in Left Breast Radiation Therapy.

Q3 Medicine
Niloofar Kargar, Ahad Zeinali, Mikaeil Molazadeh
{"title":"Impact of Dose Calculation Algorithms and Radiobiological Parameters on Prediction of Cardiopulmonary Complications in Left Breast Radiation Therapy.","authors":"Niloofar Kargar, Ahad Zeinali, Mikaeil Molazadeh","doi":"10.31661/jbpe.v0i0.2305-1616","DOIUrl":null,"url":null,"abstract":"<p><strong>Background: </strong>Breast cancer requires evaluating treatment plans using dosimetric and biological parameters. Considering radiation dose distribution and tissue response, healthcare professionals can optimize treatment plans for better outcomes.</p><p><strong>Objective: </strong>This study aimed to evaluate the effects of the different Dose Calculation Algorithms (DCAs) and Biologically Model-Related Parameters (BMRPs) on the prediction of cardiopulmonary complications due to left breast radiotherapy.</p><p><strong>Material and methods: </strong>In this practical study, the treatment plans of 21 female patients were simulated in the Monaco Treatment Planning System (TPS) with a prescribed dose of 50 Gy in 25 fractions. Dose distribution was extracted using the three DCAs [Pencil Beam (PB), Collapsed Cone (CC), and Monte Carlo (MC)]. Cardiopulmonary complications were predicted by Normal Tissue Complication Probability (NTCP) calculations using different dosimetric and biological parameters. The Lyman-Kutcher-Burman (LKB) and Relative-Seriality (RS) models were used to calculate NTCP. The endpoint for NTCP calculation was pneumonitis, pericarditis, and late cardiac mortality. The ANOVA test was used for statistical analysis.</p><p><strong>Results: </strong>In calculating Tumor Control Probability (TCP), a statistically significant difference was observed between the results of DCAs in the Poisson model. The PB algorithm estimated NTCP as less than others for all Pneumonia BMRPs.</p><p><strong>Conclusion: </strong>The impact of DCAs and BMRPs differs in the estimation of TCP and NTCP. DCAs have a stronger influence on TCP calculation, providing more effective results. On the other hand, BMRPs are more effective in estimating NTCP. Consequently, parameters for radiobiological indices should be cautiously used s to ensure the appropriate consideration of both DCAs and BMRPs.</p>","PeriodicalId":38035,"journal":{"name":"Journal of Biomedical Physics and Engineering","volume":"14 2","pages":"129-140"},"PeriodicalIF":0.0000,"publicationDate":"2024-04-01","publicationTypes":"Journal Article","fieldsOfStudy":null,"isOpenAccess":false,"openAccessPdf":"https://www.ncbi.nlm.nih.gov/pmc/articles/PMC11016826/pdf/","citationCount":"0","resultStr":null,"platform":"Semanticscholar","paperid":null,"PeriodicalName":"Journal of Biomedical Physics and Engineering","FirstCategoryId":"1085","ListUrlMain":"https://doi.org/10.31661/jbpe.v0i0.2305-1616","RegionNum":0,"RegionCategory":null,"ArticlePicture":[],"TitleCN":null,"AbstractTextCN":null,"PMCID":null,"EPubDate":"","PubModel":"","JCR":"Q3","JCRName":"Medicine","Score":null,"Total":0}
引用次数: 0

Abstract

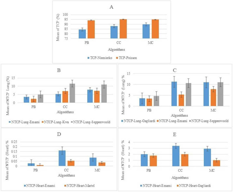
Background: Breast cancer requires evaluating treatment plans using dosimetric and biological parameters. Considering radiation dose distribution and tissue response, healthcare professionals can optimize treatment plans for better outcomes.

Objective: This study aimed to evaluate the effects of the different Dose Calculation Algorithms (DCAs) and Biologically Model-Related Parameters (BMRPs) on the prediction of cardiopulmonary complications due to left breast radiotherapy.

Material and methods: In this practical study, the treatment plans of 21 female patients were simulated in the Monaco Treatment Planning System (TPS) with a prescribed dose of 50 Gy in 25 fractions. Dose distribution was extracted using the three DCAs [Pencil Beam (PB), Collapsed Cone (CC), and Monte Carlo (MC)]. Cardiopulmonary complications were predicted by Normal Tissue Complication Probability (NTCP) calculations using different dosimetric and biological parameters. The Lyman-Kutcher-Burman (LKB) and Relative-Seriality (RS) models were used to calculate NTCP. The endpoint for NTCP calculation was pneumonitis, pericarditis, and late cardiac mortality. The ANOVA test was used for statistical analysis.

Results: In calculating Tumor Control Probability (TCP), a statistically significant difference was observed between the results of DCAs in the Poisson model. The PB algorithm estimated NTCP as less than others for all Pneumonia BMRPs.

Conclusion: The impact of DCAs and BMRPs differs in the estimation of TCP and NTCP. DCAs have a stronger influence on TCP calculation, providing more effective results. On the other hand, BMRPs are more effective in estimating NTCP. Consequently, parameters for radiobiological indices should be cautiously used s to ensure the appropriate consideration of both DCAs and BMRPs.

Abstract Image

Abstract Image

剂量计算公式和放射生物学参数对左乳房放射治疗心肺并发症预测的影响
背景:乳腺癌需要利用剂量学和生物学参数来评估治疗方案。考虑到辐射剂量分布和组织反应,医护人员可以优化治疗方案,以获得更好的疗效:本研究旨在评估不同剂量计算公式(DCA)和生物模型相关参数(BMRP)对左乳腺放疗心肺并发症预测的影响:在这项实际研究中,21 名女性患者的治疗计划在摩纳哥治疗计划系统 (TPS) 中进行了模拟,规定剂量为 50 Gy,分 25 次进行。使用三种DCA[铅笔光束(PB)、塌陷锥体(CC)和蒙特卡洛(MC)]提取剂量分布。心肺并发症是通过正常组织并发症概率(NTCP)计算,使用不同的剂量学和生物学参数进行预测的。莱曼-库彻-伯曼(LKB)和相对序列(RS)模型被用来计算NTCP。计算 NTCP 的终点是肺炎、心包炎和晚期心脏病死亡率。统计分析采用方差分析:结果:在计算肿瘤控制概率(TCP)时,泊松模型中的DCA结果之间存在显著的统计学差异。在所有肺炎 BMRP 中,PB 算法估计的 NTCP 均小于其他算法:结论:DCA 和 BMRP 对估计 TCP 和 NTCP 的影响不同。DCA 对 TCP 计算的影响更大,能提供更有效的结果。另一方面,BMRP 在估算 NTCP 时更为有效。因此,应谨慎使用放射生物学指数参数,以确保适当考虑 DCAs 和 BMRP。
本文章由计算机程序翻译,如有差异,请以英文原文为准。
求助全文
约1分钟内获得全文 求助全文
来源期刊
Journal of Biomedical Physics and Engineering
Journal of Biomedical Physics and Engineering Medicine-Radiology, Nuclear Medicine and Imaging
CiteScore
2.90
自引率
0.00%
发文量
64
审稿时长
10 weeks
期刊介绍: The Journal of Biomedical Physics and Engineering (JBPE) is a bimonthly peer-reviewed English-language journal that publishes high-quality basic sciences and clinical research (experimental or theoretical) broadly concerned with the relationship of physics to medicine and engineering.
×
引用
GB/T 7714-2015
复制
MLA
复制
APA
复制
导出至
BibTeX EndNote RefMan NoteFirst NoteExpress
×
提示
您的信息不完整,为了账户安全,请先补充。
现在去补充
×
提示
您因"违规操作"
具体请查看互助需知
我知道了
×
提示
确定
请完成安全验证×
copy
已复制链接
快去分享给好友吧!
我知道了
右上角分享
点击右上角分享
0
联系我们:info@booksci.cn Book学术提供免费学术资源搜索服务,方便国内外学者检索中英文文献。致力于提供最便捷和优质的服务体验。 Copyright © 2023 布克学术 All rights reserved.
京ICP备2023020795号-1
ghs 京公网安备 11010802042870号
Book学术文献互助
Book学术文献互助群
群 号:604180095
Book学术官方微信