Associations Among Tremor Amplitude, Activities of Daily Living, and Quality of Life in Patients with Essential Tremor.

IF 2.1 Q2 CLINICAL NEUROLOGY
Tremor and Other Hyperkinetic Movements Pub Date : 2024-05-03 eCollection Date: 2024-01-01 DOI:10.5334/tohm.877
Margaret E Gerbasi, Rodger J Elble, Eddie Jones, Alexander Gillespie, John Jarvis, Elizabeth Chertavian, Zachary Smith, Mina Nejati, Ludy C Shih
{"title":"Associations Among Tremor Amplitude, Activities of Daily Living, and Quality of Life in Patients with Essential Tremor.","authors":"Margaret E Gerbasi, Rodger J Elble, Eddie Jones, Alexander Gillespie, John Jarvis, Elizabeth Chertavian, Zachary Smith, Mina Nejati, Ludy C Shih","doi":"10.5334/tohm.877","DOIUrl":null,"url":null,"abstract":"<p><strong>Background: </strong>Essential tremor (ET) is a disabling syndrome consisting of tremor, primarily in the upper limbs. We assessed the correlation of The Essential Tremor Rating Assessment Scale (TETRAS) Performance Item 4 ratings of upper limb tremor with the TETRAS activities of daily living (ADL) subscale and with 2 quality of life (QoL) scales.</p><p><strong>Methods: </strong>This noninterventional, cross-sectional, point-in-time survey of neurologists(n = 60), primary care physicians (n = 38), and their patients with ET (n = 1,003) used real-world data collected through the Adelphi ET Disease Specific Programme™. Physician-reported measures (TETRAS Performance Item 4 and TETRAS ADL total) and patient-reported QoL measures (generic EuroQol-5 Dimension 5 Level [EQ-5D-5 L] and ET-specific Quality of Life in Essential Tremor Questionnaire (QUEST)) were assessed with bivariate and multivariable analyses. Sensitivity analyses were also conducted.</p><p><strong>Results: </strong>The bivariate association between TETRAS Performance Item 4 score and TETRAS ADL total score was high (Pearson r = 0.761, <i>P</i> < 0.001). The bivariate associations between TETRAS Performance Item 4 score and EQ-5D-5 L index score (r = -0.410, <i>P</i> < 0.001) and between TETRAS ADL total score and EQ-5D-5 L index score (r = -0.543, <i>P</i> < 0.001) were moderate. The bivariate associations between TETRAS Performance Item 4 score and QUEST total score (r = 0.457, <i>P</i> < 0.001), and between TETRAS ADL total score and QUEST total score (r = 0.630, <i>P</i> < 0.001) were also moderate. These associations were unaltered by the inclusion of covariates.</p><p><strong>Discussion: </strong>This study showed that greater tremor severity (TETRAS Performance Item 4) was positively correlated with ADL impairment (TETRAS ADL) and negatively associated with QoL (EQ-5D-5 L and QUEST). TETRAS Performance Item 4 score is a robust predictor of TETRAS ADL total score, and TETRAS Performance Item 4 and TETRAS ADL total scores were robust predictors of the 2 QoL scales. The results demonstrate the value of TETRAS scores as valid endpoints for future clinical trials.</p><p><strong>Highlights: </strong>This real-world study assessed TETRAS scores as predictors of impaired QoL in ET. TETRAS Performance Item 4 and ADL were associated with EQ-5D-5 L and QUEST. TETRAS scores may serve as valid endpoints for future clinical trials.</p>","PeriodicalId":23317,"journal":{"name":"Tremor and Other Hyperkinetic Movements","volume":"14 ","pages":"22"},"PeriodicalIF":2.1000,"publicationDate":"2024-05-03","publicationTypes":"Journal Article","fieldsOfStudy":null,"isOpenAccess":false,"openAccessPdf":"https://www.ncbi.nlm.nih.gov/pmc/articles/PMC11067966/pdf/","citationCount":"0","resultStr":null,"platform":"Semanticscholar","paperid":null,"PeriodicalName":"Tremor and Other Hyperkinetic Movements","FirstCategoryId":"1085","ListUrlMain":"https://doi.org/10.5334/tohm.877","RegionNum":0,"RegionCategory":null,"ArticlePicture":[],"TitleCN":null,"AbstractTextCN":null,"PMCID":null,"EPubDate":"2024/1/1 0:00:00","PubModel":"eCollection","JCR":"Q2","JCRName":"CLINICAL NEUROLOGY","Score":null,"Total":0}
引用次数: 0

Abstract

Background: Essential tremor (ET) is a disabling syndrome consisting of tremor, primarily in the upper limbs. We assessed the correlation of The Essential Tremor Rating Assessment Scale (TETRAS) Performance Item 4 ratings of upper limb tremor with the TETRAS activities of daily living (ADL) subscale and with 2 quality of life (QoL) scales.

Methods: This noninterventional, cross-sectional, point-in-time survey of neurologists(n = 60), primary care physicians (n = 38), and their patients with ET (n = 1,003) used real-world data collected through the Adelphi ET Disease Specific Programme™. Physician-reported measures (TETRAS Performance Item 4 and TETRAS ADL total) and patient-reported QoL measures (generic EuroQol-5 Dimension 5 Level [EQ-5D-5 L] and ET-specific Quality of Life in Essential Tremor Questionnaire (QUEST)) were assessed with bivariate and multivariable analyses. Sensitivity analyses were also conducted.

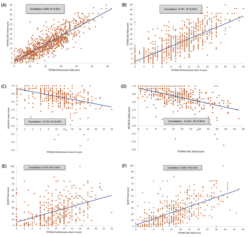
Results: The bivariate association between TETRAS Performance Item 4 score and TETRAS ADL total score was high (Pearson r = 0.761, P < 0.001). The bivariate associations between TETRAS Performance Item 4 score and EQ-5D-5 L index score (r = -0.410, P < 0.001) and between TETRAS ADL total score and EQ-5D-5 L index score (r = -0.543, P < 0.001) were moderate. The bivariate associations between TETRAS Performance Item 4 score and QUEST total score (r = 0.457, P < 0.001), and between TETRAS ADL total score and QUEST total score (r = 0.630, P < 0.001) were also moderate. These associations were unaltered by the inclusion of covariates.

Discussion: This study showed that greater tremor severity (TETRAS Performance Item 4) was positively correlated with ADL impairment (TETRAS ADL) and negatively associated with QoL (EQ-5D-5 L and QUEST). TETRAS Performance Item 4 score is a robust predictor of TETRAS ADL total score, and TETRAS Performance Item 4 and TETRAS ADL total scores were robust predictors of the 2 QoL scales. The results demonstrate the value of TETRAS scores as valid endpoints for future clinical trials.

Highlights: This real-world study assessed TETRAS scores as predictors of impaired QoL in ET. TETRAS Performance Item 4 and ADL were associated with EQ-5D-5 L and QUEST. TETRAS scores may serve as valid endpoints for future clinical trials.

Abstract Image

本质性震颤患者的震颤振幅、日常生活活动和生活质量之间的关系
背景:特发性震颤(ET)是一种主要表现为上肢震颤的致残性综合征。我们评估了特发性震颤评定量表(TETRAS)第 4 项上肢震颤评分与 TETRAS 日常生活活动(ADL)分量表和 2 个生活质量(QoL)量表的相关性:这项针对神经科医生(60 人)、初级保健医生(38 人)及其 ET 患者(1003 人)的非介入性、横断面、时间点调查使用了通过 Adelphi ET Disease Specific Programme™ 收集的真实世界数据。通过双变量和多变量分析评估了医生报告的指标(TETRAS 表现项目 4 和 TETRAS ADL 总计)和患者报告的 QoL 指标(通用 EuroQol-5 Dimension 5 Level [EQ-5D-5 L] 和 ET 特异性本质性震颤生活质量问卷 (QUEST))。同时还进行了敏感性分析:TETRAS表现项目4得分与TETRAS ADL总分之间的双变量关联度很高(Pearson r = 0.761,P < 0.001)。TETRAS表现项目4得分与EQ-5D-5 L指数得分(r = -0.410,P < 0.001)以及TETRAS ADL总分与EQ-5D-5 L指数得分(r = -0.543,P < 0.001)之间的双变量相关性为中等。TETRAS 表现项目 4 评分与 QUEST 总分(r = 0.457,P < 0.001)之间以及 TETRAS ADL 总分与 QUEST 总分(r = 0.630,P < 0.001)之间的双变量关联也是中等的。加入协变量后,这些关联没有改变:本研究表明,震颤严重程度(TETRAS 表现项目 4)与 ADL 损伤(TETRAS ADL)呈正相关,与 QoL(EQ-5D-5 L 和 QUEST)呈负相关。TETRAS 表现项目 4 分数是 TETRAS ADL 总分的可靠预测指标,而 TETRAS 表现项目 4 和 TETRAS ADL 总分是两个 QoL 量表的可靠预测指标。研究结果证明了 TETRAS 评分作为未来临床试验有效终点的价值:这项真实世界的研究评估了 TETRAS 评分对 ET QoL 受损的预测作用。TETRAS表现项目4和ADL与EQ-5D-5 L和QUEST相关。TETRAS评分可作为未来临床试验的有效终点。
本文章由计算机程序翻译,如有差异,请以英文原文为准。
求助全文
约1分钟内获得全文 求助全文
来源期刊
CiteScore
4.00
自引率
4.50%
发文量
31
审稿时长
6 weeks
×
引用
GB/T 7714-2015
复制
MLA
复制
APA
复制
导出至
BibTeX EndNote RefMan NoteFirst NoteExpress
×
提示
您的信息不完整,为了账户安全,请先补充。
现在去补充
×
提示
您因"违规操作"
具体请查看互助需知
我知道了
×
提示
确定
请完成安全验证×
copy
已复制链接
快去分享给好友吧!
我知道了
右上角分享
点击右上角分享
0
联系我们:info@booksci.cn Book学术提供免费学术资源搜索服务,方便国内外学者检索中英文文献。致力于提供最便捷和优质的服务体验。 Copyright © 2023 布克学术 All rights reserved.
京ICP备2023020795号-1
ghs 京公网安备 11010802042870号
Book学术文献互助
Book学术文献互助群
群 号:604180095
Book学术官方微信