Sex-specificity in Surgical Stages of Lung Cancer in Young Adults.

Q3 Medicine
Open Respiratory Medicine Journal Pub Date : 2023-07-17 eCollection Date: 2023-01-01 DOI:10.2174/18743064-v17-230818-2022-20
Mahdi Abdennadher, Mariem Hadj Dahmane, Sarra Zair, Hazem Zribi, Amina Abdelkbir, Imen Bouassida, Mouna Mlika, Imen Sahnoun, Amani Ben Mansour, Adel Marghli
{"title":"Sex-specificity in Surgical Stages of Lung Cancer in Young Adults.","authors":"Mahdi Abdennadher, Mariem Hadj Dahmane, Sarra Zair, Hazem Zribi, Amina Abdelkbir, Imen Bouassida, Mouna Mlika, Imen Sahnoun, Amani Ben Mansour, Adel Marghli","doi":"10.2174/18743064-v17-230818-2022-20","DOIUrl":null,"url":null,"abstract":"<p><strong>Background: </strong>Young Patients with lung cancer represent a distinct subset of patients with this neoplasm. Young International studies show increased lung cancer rates in females, while the incidence in males continues to decline. There is evidence to suggest that this trend recurs in younger patients. We studied the effects of gender differences on the incidence of surgical stages of lung cancer in young adults and its mortality rate.</p><p><strong>Methods: </strong>This study is a retrospective review (2010-2020) of young adults (aged under 45 years) with surgical-stage of lung cancer. We calculated female-to-male differences in incidence rate ratios, tumor characteristics, surgical management, and survival. Cumulative survival curves were generated by the Kaplan-Meier method.</p><p><strong>Results: </strong>We examined 46 men and 24 women, under 45 years. Female patients were diagnosed at earlier stages. The proportion of stage IA disease was significantly higher in women than in men (46% <i>versus</i> 13%, respectively) (p=0.03). Women were more likely never smokers (42% <i>versus</i> 83%, p=0.02). A histologic subtype, females were more likely to have typical carcinoid tumors (13.54% <i>versus</i> 10.21% for males) (p>0.05). The largest histological type in men was adenocarcinoma (25.53% <i>versus</i> 4.16%, p>0.05). All the patients were operated. Three men had neoadjuvant chemotherapy and one was operated on for cerebral oligometastatic before his chest surgery. Adjuvant chemotherapy was given to 7 women and 21 men. Despite the small number of postoperative complications in our study (n= 8, 11.2%), the male sex was significant in predicting this complication (p<0.05). The mortality rate was 1.4%. The 5-year overall survival rates were 84% in men and 87% in women.</p><p><strong>Conclusion: </strong>Our study identified sex differences in the incidence and mortality rates for surgical lung cancers in young adults, but the biological and endocrine mechanisms implicated in these disparities have not yet been determined.</p>","PeriodicalId":39127,"journal":{"name":"Open Respiratory Medicine Journal","volume":"17 ","pages":"e187430642307140"},"PeriodicalIF":0.0000,"publicationDate":"2023-07-17","publicationTypes":"Journal Article","fieldsOfStudy":null,"isOpenAccess":false,"openAccessPdf":"https://www.ncbi.nlm.nih.gov/pmc/articles/PMC11041390/pdf/","citationCount":"0","resultStr":null,"platform":"Semanticscholar","paperid":null,"PeriodicalName":"Open Respiratory Medicine Journal","FirstCategoryId":"1085","ListUrlMain":"https://doi.org/10.2174/18743064-v17-230818-2022-20","RegionNum":0,"RegionCategory":null,"ArticlePicture":[],"TitleCN":null,"AbstractTextCN":null,"PMCID":null,"EPubDate":"2023/1/1 0:00:00","PubModel":"eCollection","JCR":"Q3","JCRName":"Medicine","Score":null,"Total":0}
引用次数: 0

Abstract

Background: Young Patients with lung cancer represent a distinct subset of patients with this neoplasm. Young International studies show increased lung cancer rates in females, while the incidence in males continues to decline. There is evidence to suggest that this trend recurs in younger patients. We studied the effects of gender differences on the incidence of surgical stages of lung cancer in young adults and its mortality rate.

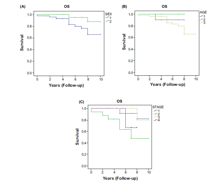
Methods: This study is a retrospective review (2010-2020) of young adults (aged under 45 years) with surgical-stage of lung cancer. We calculated female-to-male differences in incidence rate ratios, tumor characteristics, surgical management, and survival. Cumulative survival curves were generated by the Kaplan-Meier method.

Results: We examined 46 men and 24 women, under 45 years. Female patients were diagnosed at earlier stages. The proportion of stage IA disease was significantly higher in women than in men (46% versus 13%, respectively) (p=0.03). Women were more likely never smokers (42% versus 83%, p=0.02). A histologic subtype, females were more likely to have typical carcinoid tumors (13.54% versus 10.21% for males) (p>0.05). The largest histological type in men was adenocarcinoma (25.53% versus 4.16%, p>0.05). All the patients were operated. Three men had neoadjuvant chemotherapy and one was operated on for cerebral oligometastatic before his chest surgery. Adjuvant chemotherapy was given to 7 women and 21 men. Despite the small number of postoperative complications in our study (n= 8, 11.2%), the male sex was significant in predicting this complication (p<0.05). The mortality rate was 1.4%. The 5-year overall survival rates were 84% in men and 87% in women.

Conclusion: Our study identified sex differences in the incidence and mortality rates for surgical lung cancers in young adults, but the biological and endocrine mechanisms implicated in these disparities have not yet been determined.

Abstract Image

年轻人肺癌手术分期的性别特异性。
背景:年轻肺癌患者是该肿瘤患者中的一个独特群体。国际青年研究显示,女性肺癌发病率上升,而男性发病率持续下降。有证据表明,这一趋势在年轻患者中再次出现。我们研究了性别差异对青壮年肺癌手术期发病率及其死亡率的影响:本研究是一项回顾性研究(2010-2020 年),研究对象为患有肺癌手术期的年轻成人(45 岁以下)。我们计算了女性与男性在发病率比、肿瘤特征、手术治疗和生存率方面的差异。采用卡普兰-梅耶法生成累积生存曲线:我们对 45 岁以下的 46 名男性和 24 名女性进行了研究。女性患者的确诊时间较早。女性ⅠA期患者的比例明显高于男性(分别为46%和13%)(P=0.03)。女性更有可能从不吸烟(42% 对 83%,P=0.02)。从组织学亚型来看,女性更有可能患有典型类癌(13.54% 对 10.21%)(P>0.05)。男性最大的组织学类型是腺癌(25.53%对4.16%,P>0.05)。所有患者都接受了手术。三名患者接受了新辅助化疗,一名患者在胸部手术前接受了脑寡转移手术。7名女性和21名男性接受了辅助化疗。尽管在我们的研究中术后并发症的发生率较低(8 例,11.2%),但男性在预测这种并发症方面具有重要意义(p 结论:我们的研究发现了青壮年手术肺癌发病率和死亡率的性别差异,但造成这些差异的生物和内分泌机制尚未确定。
本文章由计算机程序翻译,如有差异,请以英文原文为准。
求助全文
约1分钟内获得全文 求助全文
来源期刊
Open Respiratory Medicine Journal
Open Respiratory Medicine Journal Medicine-Pulmonary and Respiratory Medicine
CiteScore
1.70
自引率
0.00%
发文量
17
期刊介绍: The Open Respiratory Medicine Journal is an Open Access online journal, which publishes research articles, reviews/mini-reviews, letters and guest edited single topic issues in all important areas of experimental and clinical research in respiratory medicine. Topics covered include: -COPD- Occupational disorders, and the role of allergens and pollutants- Asthma- Allergy- Non-invasive ventilation- Therapeutic intervention- Lung cancer- Lung infections respiratory diseases- Therapeutic interventions- Adult and paediatric medicine- Cell biology. The Open Respiratory Medicine Journal, a peer reviewed journal, is an important and reliable source of current information on important recent developments in the field. The emphasis will be on publishing quality articles rapidly and making them freely available worldwide.
×
引用
GB/T 7714-2015
复制
MLA
复制
APA
复制
导出至
BibTeX EndNote RefMan NoteFirst NoteExpress
×
提示
您的信息不完整,为了账户安全,请先补充。
现在去补充
×
提示
您因"违规操作"
具体请查看互助需知
我知道了
×
提示
确定
请完成安全验证×
copy
已复制链接
快去分享给好友吧!
我知道了
右上角分享
点击右上角分享
0
联系我们:info@booksci.cn Book学术提供免费学术资源搜索服务,方便国内外学者检索中英文文献。致力于提供最便捷和优质的服务体验。 Copyright © 2023 布克学术 All rights reserved.
京ICP备2023020795号-1
ghs 京公网安备 11010802042870号
Book学术文献互助
Book学术文献互助群
群 号:604180095
Book学术官方微信