Synthesis and Biological Evaluation of Novel Thiadiazole Derivatives as Antiplatelet Agents.

IF 1.8 4区 医学 Q3 PHARMACOLOGY & PHARMACY
Iranian Journal of Pharmaceutical Research Pub Date : 2024-01-07 eCollection Date: 2023-01-01 DOI:10.5812/ijpr-141846
Mahsima Khakpash, Marjan Esfahanizadeh, Mohammad Mahboubi-Rabbani, Salimeh Amidi, Farzad Kobarfard
{"title":"Synthesis and Biological Evaluation of Novel Thiadiazole Derivatives as Antiplatelet Agents.","authors":"Mahsima Khakpash, Marjan Esfahanizadeh, Mohammad Mahboubi-Rabbani, Salimeh Amidi, Farzad Kobarfard","doi":"10.5812/ijpr-141846","DOIUrl":null,"url":null,"abstract":"<p><p>A novel series of thiadiazole compounds was synthesized through the reaction of thiosemicarbazone intermediates with 2, 3-dichloro-5,6-dicyano-1,4-benzoquinone (DDQ). The antiplatelet activity of the synthesized compounds was evaluated using an aggregation test with adenosine diphosphate (ADP) and arachidonic acid (AA) as platelet aggregation inducers. Among the synthesized analogs, compound 3b exhibited the most potent inhibition of platelet aggregation induced by ADP (half maximal inhibitory concentration [IC<sub>50</sub>] = 39 ± 11 µM). Molecular docking studies of 3b revealed hydrogen bonds between the nitrogen of the thiadiazole ring and Lys280. The tolyl ring exhibited hydrophobic interactions with Tyr105, similar to the antagonist co-crystallized with P<sub>2</sub>Y<sub>12</sub> (PDB ID: 4NTJ). These compounds have the potential to serve as lead molecules for designing P<sub>2</sub>Y<sub>12</sub> inhibitors.</p>","PeriodicalId":14595,"journal":{"name":"Iranian Journal of Pharmaceutical Research","volume":"22 1","pages":"e141846"},"PeriodicalIF":1.8000,"publicationDate":"2024-01-07","publicationTypes":"Journal Article","fieldsOfStudy":null,"isOpenAccess":false,"openAccessPdf":"https://www.ncbi.nlm.nih.gov/pmc/articles/PMC11036646/pdf/","citationCount":"0","resultStr":null,"platform":"Semanticscholar","paperid":null,"PeriodicalName":"Iranian Journal of Pharmaceutical Research","FirstCategoryId":"3","ListUrlMain":"https://doi.org/10.5812/ijpr-141846","RegionNum":4,"RegionCategory":"医学","ArticlePicture":[],"TitleCN":null,"AbstractTextCN":null,"PMCID":null,"EPubDate":"2023/1/1 0:00:00","PubModel":"eCollection","JCR":"Q3","JCRName":"PHARMACOLOGY & PHARMACY","Score":null,"Total":0}
引用次数: 0

Abstract

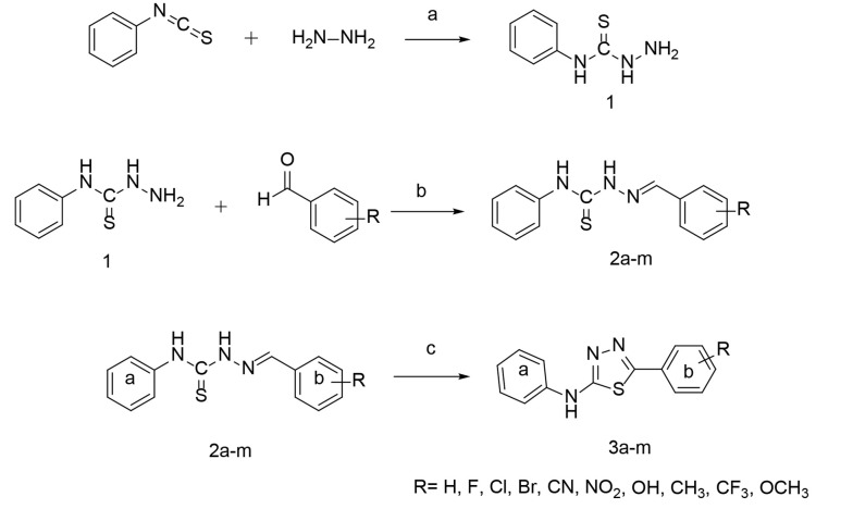
A novel series of thiadiazole compounds was synthesized through the reaction of thiosemicarbazone intermediates with 2, 3-dichloro-5,6-dicyano-1,4-benzoquinone (DDQ). The antiplatelet activity of the synthesized compounds was evaluated using an aggregation test with adenosine diphosphate (ADP) and arachidonic acid (AA) as platelet aggregation inducers. Among the synthesized analogs, compound 3b exhibited the most potent inhibition of platelet aggregation induced by ADP (half maximal inhibitory concentration [IC50] = 39 ± 11 µM). Molecular docking studies of 3b revealed hydrogen bonds between the nitrogen of the thiadiazole ring and Lys280. The tolyl ring exhibited hydrophobic interactions with Tyr105, similar to the antagonist co-crystallized with P2Y12 (PDB ID: 4NTJ). These compounds have the potential to serve as lead molecules for designing P2Y12 inhibitors.

Abstract Image

Abstract Image

Abstract Image

作为抗血小板药物的新型噻二唑衍生物的合成与生物学评价
通过硫代氨基甲酸中间体与 2,3-二氯-5,6-二氰基-1,4-苯醌(DDQ)的反应,合成了一系列新型噻二唑化合物。以二磷酸腺苷(ADP)和花生四烯酸(AA)作为血小板聚集诱导剂,通过聚集试验评估了合成化合物的抗血小板活性。在合成的类似物中,化合物 3b 对 ADP 诱导的血小板聚集具有最强的抑制作用(半最大抑制浓度 [IC50] = 39 ± 11 µM)。3b 的分子对接研究显示,噻二唑环的氮和 Lys280 之间存在氢键。甲苯基环与 Tyr105 发生疏水相互作用,这与与 P2Y12 共结晶的拮抗剂(PDB ID:4NTJ)相似。这些化合物有望成为设计 P2Y12 抑制剂的先导分子。
本文章由计算机程序翻译,如有差异,请以英文原文为准。
求助全文
约1分钟内获得全文 求助全文
来源期刊
CiteScore
3.40
自引率
6.20%
发文量
52
审稿时长
2 months
期刊介绍: The Iranian Journal of Pharmaceutical Research (IJPR) is a peer-reviewed multi-disciplinary pharmaceutical publication, scheduled to appear quarterly and serve as a means for scientific information exchange in the international pharmaceutical forum. Specific scientific topics of interest to the journal include, but are not limited to: pharmaceutics, industrial pharmacy, pharmacognosy, toxicology, medicinal chemistry, novel analytical methods for drug characterization, computational and modeling approaches to drug design, bio-medical experience, clinical investigation, rational drug prescribing, pharmacoeconomics, biotechnology, nanotechnology, biopharmaceutics and physical pharmacy.
×
引用
GB/T 7714-2015
复制
MLA
复制
APA
复制
导出至
BibTeX EndNote RefMan NoteFirst NoteExpress
×
提示
您的信息不完整,为了账户安全,请先补充。
现在去补充
×
提示
您因"违规操作"
具体请查看互助需知
我知道了
×
提示
确定
请完成安全验证×
copy
已复制链接
快去分享给好友吧!
我知道了
右上角分享
点击右上角分享
0
联系我们:info@booksci.cn Book学术提供免费学术资源搜索服务,方便国内外学者检索中英文文献。致力于提供最便捷和优质的服务体验。 Copyright © 2023 布克学术 All rights reserved.
京ICP备2023020795号-1
ghs 京公网安备 11010802042870号
Book学术文献互助
Book学术文献互助群
群 号:604180095
Book学术官方微信