Methods for online calibration of Q-matrix and item parameters for polytomous responses in cognitive diagnostic computerized adaptive testing

IF 3.9 2区 心理学 Q1 PSYCHOLOGY, EXPERIMENTAL
Qingrong Tan, Daxun Wang, Fen Luo, Yan Cai, Dongbo Tu
{"title":"Methods for online calibration of Q-matrix and item parameters for polytomous responses in cognitive diagnostic computerized adaptive testing","authors":"Qingrong Tan, Daxun Wang, Fen Luo, Yan Cai, Dongbo Tu","doi":"10.3758/s13428-024-02392-6","DOIUrl":null,"url":null,"abstract":"<p>The ability to rapidly provide examinees with detailed and effective diagnostic information is a critical topic in psychology. Knowing what diagnostic criteria the examinees have met enables the practitioner to seek the solution to help them in a timely manner, and this can be achieved by cognitive diagnostic computerized adaptive testing (CD-CAT). However, the pervasive challenge of replenishing items in the CD-CAT item bank limits its practical application. Online calibration is a means to address item replenishment, but in CD-CAT, most existing online calibration methods that jointly calibrate the Q-matrix and item parameters of the new items are developed only for dichotomous responses and are time-consuming. Notably, previous studies pay no attention to polytomously scored items that are frequently observed in testing, even though they can offer additional evidence for the examinees’ diagnosis. To fill this gap, we propose a SCAD-based method (SCAD-EM) to calibrate the Q-matrix and item parameters of the new items with polytomous response data in order to promote the application of CD-CAT in practice. The performance of the SCAD-EM was investigated in two comprehensive simulation studies and compared against the revised single-item estimation method (SIE-BIC). Results indicated that the SCAD-EM produces a higher calibration accuracy for the category-level Q-matrix and is computationally more efficient across all conditions, but it produces a lower calibration accuracy for the item-level Q-matrix. An empirical study further demonstrated the utility of the SCAD-EM and the SIE-BIC methods in calibrating new items with a real dataset. The advantages of the proposed method, its limitations, and possible future research directions are offered at the end.</p>","PeriodicalId":8717,"journal":{"name":"Behavior Research Methods","volume":"24 1","pages":""},"PeriodicalIF":3.9000,"publicationDate":"2024-04-30","publicationTypes":"Journal Article","fieldsOfStudy":null,"isOpenAccess":false,"openAccessPdf":"","citationCount":"0","resultStr":null,"platform":"Semanticscholar","paperid":null,"PeriodicalName":"Behavior Research Methods","FirstCategoryId":"102","ListUrlMain":"https://doi.org/10.3758/s13428-024-02392-6","RegionNum":2,"RegionCategory":"心理学","ArticlePicture":[],"TitleCN":null,"AbstractTextCN":null,"PMCID":null,"EPubDate":"","PubModel":"","JCR":"Q1","JCRName":"PSYCHOLOGY, EXPERIMENTAL","Score":null,"Total":0}
引用次数: 0

Abstract

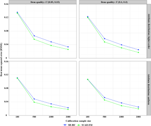
The ability to rapidly provide examinees with detailed and effective diagnostic information is a critical topic in psychology. Knowing what diagnostic criteria the examinees have met enables the practitioner to seek the solution to help them in a timely manner, and this can be achieved by cognitive diagnostic computerized adaptive testing (CD-CAT). However, the pervasive challenge of replenishing items in the CD-CAT item bank limits its practical application. Online calibration is a means to address item replenishment, but in CD-CAT, most existing online calibration methods that jointly calibrate the Q-matrix and item parameters of the new items are developed only for dichotomous responses and are time-consuming. Notably, previous studies pay no attention to polytomously scored items that are frequently observed in testing, even though they can offer additional evidence for the examinees’ diagnosis. To fill this gap, we propose a SCAD-based method (SCAD-EM) to calibrate the Q-matrix and item parameters of the new items with polytomous response data in order to promote the application of CD-CAT in practice. The performance of the SCAD-EM was investigated in two comprehensive simulation studies and compared against the revised single-item estimation method (SIE-BIC). Results indicated that the SCAD-EM produces a higher calibration accuracy for the category-level Q-matrix and is computationally more efficient across all conditions, but it produces a lower calibration accuracy for the item-level Q-matrix. An empirical study further demonstrated the utility of the SCAD-EM and the SIE-BIC methods in calibrating new items with a real dataset. The advantages of the proposed method, its limitations, and possible future research directions are offered at the end.

Abstract Image

认知诊断计算机自适应测试中多态响应的 Q 矩阵和项目参数在线校准方法
能否迅速为受检者提供详细而有效的诊断信息,是心理学的一个重要课题。了解受试者符合哪些诊断标准,能让从业者及时寻求帮助受试者的解决方案,而认知诊断计算机化自适应测试(CD-CAT)就能做到这一点。然而,CD-CAT 项目库中项目补充的普遍挑战限制了其实际应用。在线校准是解决项目补充问题的一种手段,但在 CD-CAT 中,现有的大多数在线校准方法只针对二分式反应,而且耗时较长,这些方法只能对新项目的 Q 矩阵和项目参数进行联合校准。值得注意的是,以往的研究并不关注测试中经常出现的多项式评分项目,尽管它们可以为考生的诊断提供额外的证据。为了填补这一空白,我们提出了一种基于 SCAD 的方法(SCAD-EM),用多态响应数据校准新项目的 Q 矩阵和项目参数,以促进 CD-CAT 在实践中的应用。SCAD-EM 的性能在两项综合模拟研究中进行了调查,并与修订后的单项目估计方法(SIE-BIC)进行了比较。结果表明,SCAD-EM 对类别级 Q 矩阵的校准精度更高,在所有条件下的计算效率更高,但对项目级 Q 矩阵的校准精度较低。一项实证研究进一步证明了 SCAD-EM 和 SIE-BIC 方法在使用真实数据集校准新项目时的实用性。最后介绍了所提方法的优点、局限性以及未来可能的研究方向。
本文章由计算机程序翻译,如有差异,请以英文原文为准。
求助全文
约1分钟内获得全文 求助全文
来源期刊
CiteScore
10.30
自引率
9.30%
发文量
266
期刊介绍: Behavior Research Methods publishes articles concerned with the methods, techniques, and instrumentation of research in experimental psychology. The journal focuses particularly on the use of computer technology in psychological research. An annual special issue is devoted to this field.
×
引用
GB/T 7714-2015
复制
MLA
复制
APA
复制
导出至
BibTeX EndNote RefMan NoteFirst NoteExpress
×
提示
您的信息不完整,为了账户安全,请先补充。
现在去补充
×
提示
您因"违规操作"
具体请查看互助需知
我知道了
×
提示
确定
请完成安全验证×
copy
已复制链接
快去分享给好友吧!
我知道了
右上角分享
点击右上角分享
0
联系我们:info@booksci.cn Book学术提供免费学术资源搜索服务,方便国内外学者检索中英文文献。致力于提供最便捷和优质的服务体验。 Copyright © 2023 布克学术 All rights reserved.
京ICP备2023020795号-1
ghs 京公网安备 11010802042870号
Book学术文献互助
Book学术文献互助群
群 号:604180095
Book学术官方微信