Why do CSR ratings of firms diverge in China? The role of CSR information cues and non-CSR information

IF 5.8 2区 管理学 Q1 MANAGEMENT
Xue Pang, Carolyn Egri, Carlos Wing-Hung Lo, Ning Liu
{"title":"Why do CSR ratings of firms diverge in China? The role of CSR information cues and non-CSR information","authors":"Xue Pang,&nbsp;Carolyn Egri,&nbsp;Carlos Wing-Hung Lo,&nbsp;Ning Liu","doi":"10.1007/s10490-024-09959-z","DOIUrl":null,"url":null,"abstract":"<div><p>As third-party ratings of firms’ corporate social responsibility (CSR) have proliferated, so have concerns about the lack of convergence (divergence) in CSR ratings of the same firms. This study investigates contributing factors to divergence in the CSR ratings issued by RKS and Hexun, the two dominant third-party CSR rating agencies in China, and the implications of such divergence. Using a longitudinal sample of 1414 CSR reports published by 387 Chinese public firms during the 2010–2015 period, we investigated whether CSR rating outcomes are influenced by CSR report information cues (report comprehensiveness and report content modifications) and non-CSR information (firms’ media coverage, auditing credibility, market risk, and industry complexity). CSR report comprehensiveness is associated with higher RKS and Hexun CSR ratings, however, media coverage and auditing credibility strengthens this relationship for RKS ratings. CSR report content modification resulted in higher RKS ratings only for firms with low market risk and in high complexity industries, while CSR report content modification resulted in higher Hexun ratings for firms in low complexity industries. Surprisingly, we found greater divergence in RKS and Hexun CSR ratings is associated with increased accuracy of analysts’ forecasts of firms’ future financial performance in China. We discuss the implications of study findings for the use of CSR ratings by analysts, investors and researchers, as well as firms’ strategic management of CSR reporting.</p></div>","PeriodicalId":8474,"journal":{"name":"Asia Pacific Journal of Management","volume":"42 3","pages":"1263 - 1301"},"PeriodicalIF":5.8000,"publicationDate":"2024-04-24","publicationTypes":"Journal Article","fieldsOfStudy":null,"isOpenAccess":false,"openAccessPdf":"","citationCount":"0","resultStr":null,"platform":"Semanticscholar","paperid":null,"PeriodicalName":"Asia Pacific Journal of Management","FirstCategoryId":"91","ListUrlMain":"https://link.springer.com/article/10.1007/s10490-024-09959-z","RegionNum":2,"RegionCategory":"管理学","ArticlePicture":[],"TitleCN":null,"AbstractTextCN":null,"PMCID":null,"EPubDate":"","PubModel":"","JCR":"Q1","JCRName":"MANAGEMENT","Score":null,"Total":0}
引用次数: 0

Abstract

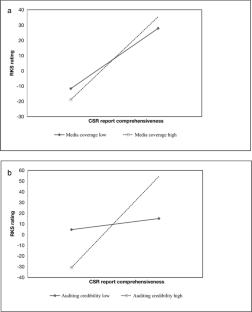
As third-party ratings of firms’ corporate social responsibility (CSR) have proliferated, so have concerns about the lack of convergence (divergence) in CSR ratings of the same firms. This study investigates contributing factors to divergence in the CSR ratings issued by RKS and Hexun, the two dominant third-party CSR rating agencies in China, and the implications of such divergence. Using a longitudinal sample of 1414 CSR reports published by 387 Chinese public firms during the 2010–2015 period, we investigated whether CSR rating outcomes are influenced by CSR report information cues (report comprehensiveness and report content modifications) and non-CSR information (firms’ media coverage, auditing credibility, market risk, and industry complexity). CSR report comprehensiveness is associated with higher RKS and Hexun CSR ratings, however, media coverage and auditing credibility strengthens this relationship for RKS ratings. CSR report content modification resulted in higher RKS ratings only for firms with low market risk and in high complexity industries, while CSR report content modification resulted in higher Hexun ratings for firms in low complexity industries. Surprisingly, we found greater divergence in RKS and Hexun CSR ratings is associated with increased accuracy of analysts’ forecasts of firms’ future financial performance in China. We discuss the implications of study findings for the use of CSR ratings by analysts, investors and researchers, as well as firms’ strategic management of CSR reporting.

Abstract Image

中国企业的社会责任评级为何存在差异?企业社会责任信息线索和非企业社会责任信息的作用
随着对企业社会责任(CSR)的第三方评级的激增,对同一家企业的CSR评级缺乏趋同(分歧)的担忧也在增加。本研究考察了中国两家主要的第三方企业社会责任评级机构RKS和和讯的企业社会责任评级差异的影响因素,以及这种差异的影响。利用2010-2015年期间387家中国上市公司发布的1414份社会责任报告的纵向样本,我们研究了社会责任评级结果是否受到社会责任报告信息线索(报告全面性和报告内容修改)和非社会责任信息(公司的媒体覆盖率、审计可信度、市场风险和行业复杂性)的影响。企业社会责任报告的全面性与较高的RKS和和讯企业社会责任评级相关,而媒体报道和审计可信度则强化了RKS评级的这种关系。企业社会责任报告内容的修改只对低市场风险和高复杂行业的企业产生较高的RKS评级,而对低复杂行业的企业产生较高的Hexun评级。令人惊讶的是,我们发现RKS和和讯企业社会责任评级的差异越大,分析师对中国企业未来财务业绩预测的准确性就越高。我们讨论了研究结果对分析师、投资者和研究人员使用企业社会责任评级的影响,以及企业对企业社会责任报告的战略管理。
本文章由计算机程序翻译,如有差异,请以英文原文为准。
求助全文
约1分钟内获得全文 求助全文
来源期刊
CiteScore
9.70
自引率
9.30%
发文量
56
期刊介绍: The Asia Pacific Journal of Management publishes original manuscripts on management and organizational research in the Asia Pacific region, encompassing Pacific Rim countries and mainland Asia. APJM focuses on the extent to which each manuscript addresses matters that pertain to the most fundamental question: “What determines organization success?” The major academic disciplines that we cover include entrepreneurship, human resource management, international business, organizational behavior, and strategic management. However, manuscripts that belong to other well-established disciplines such as accounting, economics, finance, marketing, and operations generally do not fall into the scope of APJM. We endeavor to be the major vehicle for exchange of ideas and research among management scholars within or interested in the broadly defined Asia Pacific region.Key features include: Rigor - maintained through strict review processes, high quality global reviewers, and Editorial Advisory and Review Boards comprising prominent researchers from many countries. Relevance - maintained by its focus on key management and organizational trends in the region. Uniqueness - being the first and most prominent management journal published in and about the fastest growing region in the world. Official affiliation - Asia Academy of ManagementFor more information, visit the AAOM website:www.baf.cuhk.edu.hk/asia-aom/ Officially cited as: Asia Pac J Manag
×
引用
GB/T 7714-2015
复制
MLA
复制
APA
复制
导出至
BibTeX EndNote RefMan NoteFirst NoteExpress
×
提示
您的信息不完整,为了账户安全,请先补充。
现在去补充
×
提示
您因"违规操作"
具体请查看互助需知
我知道了
×
提示
确定
请完成安全验证×
copy
已复制链接
快去分享给好友吧!
我知道了
右上角分享
点击右上角分享
0
联系我们:info@booksci.cn Book学术提供免费学术资源搜索服务,方便国内外学者检索中英文文献。致力于提供最便捷和优质的服务体验。 Copyright © 2023 布克学术 All rights reserved.
京ICP备2023020795号-1
ghs 京公网安备 11010802042870号
Book学术文献互助
Book学术文献互助群
群 号:604180095
Book学术官方微信