Impact of adaptive radiotherapy on survival in locally advanced nasopharyngeal carcinoma treated with concurrent chemoradiotherapy.

Radiation oncology journal Pub Date : 2024-03-01 Epub Date: 2024-03-18 DOI:10.3857/roj.2023.00374
Yusuke Uchinami, Koichi Yasuda, Hideki Minatogawa, Yasuhiro Dekura, Noboru Nishikawa, Rumiko Kinoshita, Kentaro Nishioka, Norio Katoh, Takashi Mori, Manami Otsuka, Naoki Miyamoto, Ryusuke Suzuki, Keiji Kobashi, Yasushi Shimizu, Jun Taguchi, Nayuta Tsushima, Satoshi Kano, Akihiro Homma, Hidefumi Aoyama
{"title":"Impact of adaptive radiotherapy on survival in locally advanced nasopharyngeal carcinoma treated with concurrent chemoradiotherapy.","authors":"Yusuke Uchinami, Koichi Yasuda, Hideki Minatogawa, Yasuhiro Dekura, Noboru Nishikawa, Rumiko Kinoshita, Kentaro Nishioka, Norio Katoh, Takashi Mori, Manami Otsuka, Naoki Miyamoto, Ryusuke Suzuki, Keiji Kobashi, Yasushi Shimizu, Jun Taguchi, Nayuta Tsushima, Satoshi Kano, Akihiro Homma, Hidefumi Aoyama","doi":"10.3857/roj.2023.00374","DOIUrl":null,"url":null,"abstract":"<p><strong>Purpose: </strong>To investigate the clinical significance of adaptive radiotherapy (ART) in locally advanced nasopharyngeal carcinoma treated with intensity-modulated radiotherapy (IMRT).</p><p><strong>Materials and methods: </strong>Eligible patients were treated with concurrent chemoradiotherapy using IMRT. Planning computed tomography in ART was performed during radiotherapy, and replanning was performed. Since ART was started in May 2011 (ART group), patients who were treated without ART up to April 2011 (non-ART group) were used as the historical control. The Kaplan-Meier method was used to calculate overall survival (OS), locoregional recurrence-free survival (LRFS), progression-free survival (PFS), and distant metastasis-free survival (DMFS). LRFS for the primary tumor (LRFS_P) and regional lymph node (LRFS_LN) were also studied for more detailed analysis. Statistical significance was evaluated using the log-rank test for survival.</p><p><strong>Results: </strong>The ART group tended to have higher radiation doses. The median follow-up period was 127 months (range, 10 to 211 months) in the non-ART group and 61.5 months (range, 5 to 129 months) in the ART group. Compared to the non-ART group, the ART group showed significantly higher 5-year PFS (53.8% vs. 81.3%, p = 0.015) and LRFS (61.2% vs. 85.3%, p = 0.024), but not OS (80.7% vs. 80.8%, p = 0.941) and DMFS (84.6% vs. 92.7%, p = 0.255). Five-year LRFS_P was higher in the ART group (61.3% vs. 90.6%, p = 0.005), but LRFS_LN did not show a significant difference (91.9% vs. 96.2%, p = 0.541).</p><p><strong>Conclusion: </strong>Although there were differences in the patient backgrounds between the two groups, this study suggests the potential effectiveness of ART in improving locoregional control, especially in the primary tumor.</p>","PeriodicalId":94184,"journal":{"name":"Radiation oncology journal","volume":"42 1","pages":"74-82"},"PeriodicalIF":0.0000,"publicationDate":"2024-03-01","publicationTypes":"Journal Article","fieldsOfStudy":null,"isOpenAccess":false,"openAccessPdf":"https://www.ncbi.nlm.nih.gov/pmc/articles/PMC10982056/pdf/","citationCount":"0","resultStr":null,"platform":"Semanticscholar","paperid":null,"PeriodicalName":"Radiation oncology journal","FirstCategoryId":"1085","ListUrlMain":"https://doi.org/10.3857/roj.2023.00374","RegionNum":0,"RegionCategory":null,"ArticlePicture":[],"TitleCN":null,"AbstractTextCN":null,"PMCID":null,"EPubDate":"2024/3/18 0:00:00","PubModel":"Epub","JCR":"","JCRName":"","Score":null,"Total":0}
引用次数: 0

Abstract

Purpose: To investigate the clinical significance of adaptive radiotherapy (ART) in locally advanced nasopharyngeal carcinoma treated with intensity-modulated radiotherapy (IMRT).

Materials and methods: Eligible patients were treated with concurrent chemoradiotherapy using IMRT. Planning computed tomography in ART was performed during radiotherapy, and replanning was performed. Since ART was started in May 2011 (ART group), patients who were treated without ART up to April 2011 (non-ART group) were used as the historical control. The Kaplan-Meier method was used to calculate overall survival (OS), locoregional recurrence-free survival (LRFS), progression-free survival (PFS), and distant metastasis-free survival (DMFS). LRFS for the primary tumor (LRFS_P) and regional lymph node (LRFS_LN) were also studied for more detailed analysis. Statistical significance was evaluated using the log-rank test for survival.

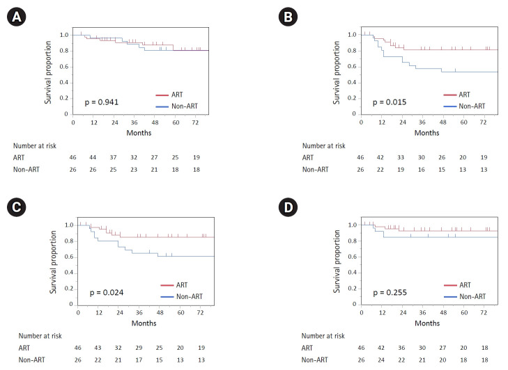
Results: The ART group tended to have higher radiation doses. The median follow-up period was 127 months (range, 10 to 211 months) in the non-ART group and 61.5 months (range, 5 to 129 months) in the ART group. Compared to the non-ART group, the ART group showed significantly higher 5-year PFS (53.8% vs. 81.3%, p = 0.015) and LRFS (61.2% vs. 85.3%, p = 0.024), but not OS (80.7% vs. 80.8%, p = 0.941) and DMFS (84.6% vs. 92.7%, p = 0.255). Five-year LRFS_P was higher in the ART group (61.3% vs. 90.6%, p = 0.005), but LRFS_LN did not show a significant difference (91.9% vs. 96.2%, p = 0.541).

Conclusion: Although there were differences in the patient backgrounds between the two groups, this study suggests the potential effectiveness of ART in improving locoregional control, especially in the primary tumor.

Abstract Image

Abstract Image

Abstract Image

适应性放疗对同时接受化放疗的局部晚期鼻咽癌患者生存期的影响。
目的:研究适应性放疗(ART)在局部晚期鼻咽癌调强放疗(IMRT)中的临床意义:符合条件的患者同时接受了IMRT化放疗。在放疗期间进行 ART 计划计算机断层扫描,并进行重新扫描。由于 ART 于 2011 年 5 月开始(ART 组),因此将 2011 年 4 月之前未接受 ART 治疗的患者(非 ART 组)作为历史对照。采用卡普兰-梅耶法计算总生存期(OS)、无局部复发生存期(LRFS)、无进展生存期(PFS)和无远处转移生存期(DMFS)。为了进行更详细的分析,还研究了原发肿瘤(LRFS_P)和区域淋巴结(LRFS_LN)的无局部复发生存率。统计意义采用生存率对数秩检验进行评估:结果:ART 组的放射剂量较高。非 ART 组的中位随访时间为 127 个月(10 至 211 个月),ART 组为 61.5 个月(5 至 129 个月)。与非ART组相比,ART组的5年PFS(53.8% vs. 81.3%,P = 0.015)和LRFS(61.2% vs. 85.3%,P = 0.024)明显更高,但OS(80.7% vs. 80.8%,P = 0.941)和DMFS(84.6% vs. 92.7%,P = 0.255)则不高。ART组的5年LRFS_P更高(61.3% vs. 90.6%,p = 0.005),但LRFS_LN没有显著差异(91.9% vs. 96.2%,p = 0.541):尽管两组患者的背景存在差异,但本研究表明 ART 在改善局部控制,尤其是原发肿瘤的局部控制方面具有潜在的有效性。
本文章由计算机程序翻译,如有差异,请以英文原文为准。
求助全文
约1分钟内获得全文 求助全文
来源期刊
CiteScore
3.80
自引率
0.00%
发文量
0
×
引用
GB/T 7714-2015
复制
MLA
复制
APA
复制
导出至
BibTeX EndNote RefMan NoteFirst NoteExpress
×
提示
您的信息不完整,为了账户安全,请先补充。
现在去补充
×
提示
您因"违规操作"
具体请查看互助需知
我知道了
×
提示
确定
请完成安全验证×
copy
已复制链接
快去分享给好友吧!
我知道了
右上角分享
点击右上角分享
0
联系我们:info@booksci.cn Book学术提供免费学术资源搜索服务,方便国内外学者检索中英文文献。致力于提供最便捷和优质的服务体验。 Copyright © 2023 布克学术 All rights reserved.
京ICP备2023020795号-1
ghs 京公网安备 11010802042870号
Book学术文献互助
Book学术文献互助群
群 号:604180095
Book学术官方微信