Potentials of using milk performance data and FAMACHA score as indicators for Targeted Selective Treatment in Lacaune dairy sheep in Switzerland.

Q1 Veterinary
Veterinary Parasitology: X Pub Date : 2020-09-02 eCollection Date: 2020-12-01 DOI:10.1016/j.vpoa.2020.100030
Katharina Schwarz, Beat Bapst, Mirjam Holinger, Susann Thüer, Inga Schleip, Steffen Werne
{"title":"Potentials of using milk performance data and FAMACHA score as indicators for Targeted Selective Treatment in Lacaune dairy sheep in Switzerland.","authors":"Katharina Schwarz, Beat Bapst, Mirjam Holinger, Susann Thüer, Inga Schleip, Steffen Werne","doi":"10.1016/j.vpoa.2020.100030","DOIUrl":null,"url":null,"abstract":"<p><p>Targeted Selective Treatment (TST) is one approach to slow down the development of anthelmintic resistance. Its success is closely linked to the correct identification of animals in need of treatment. In dairy goats it has been proposed to use milk yield as TST indicator and to focus treatments on high yielding dairy goats. In dairy sheep the relationship between milk performance and infection with gastrointestinal nematodes (GIN) is not well known. The aim of this study was to investigate the relationship between milk yield and GIN infection in dairy sheep and based on this, to evaluate milk performance data as a potential TST indicator. Overall 1159 Lacaune ewes of 15 dairy sheep farms in Switzerland were included in the study. The ewes were phenotyped once between August and December 2019, when they were at least 70 days in milk (DIM). Individual faecal samples were taken from every ewe to determine the nematode egg concentration per gram faeces (EPG). In addition, the clinical parameters FAMACHA score and packed cell volume (PCV) were measured. Linear mixed models were used to analyse the effects of the collected parameters on EPG. EPG increased significantly with increasing test day milk yields (P = 0.002), indicating high yielding ewes to be less resistant to GIN infections than low yielding ewes. The effect was most pronounced in earlier lactation but remained within a moderate range. Overall, our results indicated the potential of using milk yield data of rather early lactation as TST indicator in dairy sheep. On farms with predominantly <i>H. contortus</i> the combination with FAMACHA might improve the correct identification of highly infected ewes, as FAMACHA was correlated with EPG (r = 0.37, P < 0.001).</p>","PeriodicalId":23537,"journal":{"name":"Veterinary Parasitology: X","volume":"4 ","pages":"100030"},"PeriodicalIF":0.0000,"publicationDate":"2020-09-02","publicationTypes":"Journal Article","fieldsOfStudy":null,"isOpenAccess":false,"openAccessPdf":"https://www.ncbi.nlm.nih.gov/pmc/articles/PMC7494794/pdf/","citationCount":"0","resultStr":null,"platform":"Semanticscholar","paperid":null,"PeriodicalName":"Veterinary Parasitology: X","FirstCategoryId":"1085","ListUrlMain":"https://doi.org/10.1016/j.vpoa.2020.100030","RegionNum":0,"RegionCategory":null,"ArticlePicture":[],"TitleCN":null,"AbstractTextCN":null,"PMCID":null,"EPubDate":"2020/12/1 0:00:00","PubModel":"eCollection","JCR":"Q1","JCRName":"Veterinary","Score":null,"Total":0}
引用次数: 0

Abstract

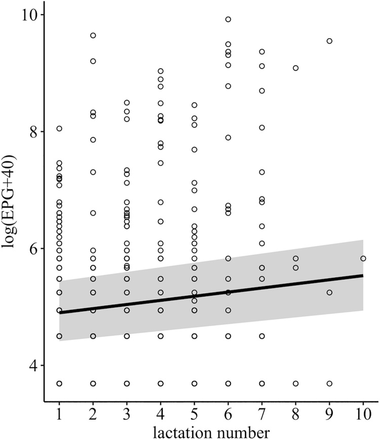
Targeted Selective Treatment (TST) is one approach to slow down the development of anthelmintic resistance. Its success is closely linked to the correct identification of animals in need of treatment. In dairy goats it has been proposed to use milk yield as TST indicator and to focus treatments on high yielding dairy goats. In dairy sheep the relationship between milk performance and infection with gastrointestinal nematodes (GIN) is not well known. The aim of this study was to investigate the relationship between milk yield and GIN infection in dairy sheep and based on this, to evaluate milk performance data as a potential TST indicator. Overall 1159 Lacaune ewes of 15 dairy sheep farms in Switzerland were included in the study. The ewes were phenotyped once between August and December 2019, when they were at least 70 days in milk (DIM). Individual faecal samples were taken from every ewe to determine the nematode egg concentration per gram faeces (EPG). In addition, the clinical parameters FAMACHA score and packed cell volume (PCV) were measured. Linear mixed models were used to analyse the effects of the collected parameters on EPG. EPG increased significantly with increasing test day milk yields (P = 0.002), indicating high yielding ewes to be less resistant to GIN infections than low yielding ewes. The effect was most pronounced in earlier lactation but remained within a moderate range. Overall, our results indicated the potential of using milk yield data of rather early lactation as TST indicator in dairy sheep. On farms with predominantly H. contortus the combination with FAMACHA might improve the correct identification of highly infected ewes, as FAMACHA was correlated with EPG (r = 0.37, P < 0.001).

Abstract Image

Abstract Image

Abstract Image

将瑞士 Lacaune 奶羊的产奶性能数据和 FAMACHA 评分作为定向选择治疗指标的潜力。
靶向选择性治疗(TST)是减缓抗蠕虫药耐药性发展的一种方法。它的成功与否与正确识别需要治疗的动物密切相关。在奶山羊中,有人建议使用产奶量作为 TST 指标,并将治疗重点放在高产奶山羊上。在奶羊中,产奶量与胃肠道线虫(GIN)感染之间的关系尚不十分清楚。本研究旨在调查奶羊产奶量与 GIN 感染之间的关系,并在此基础上评估作为潜在 TST 指标的产奶性能数据。瑞士 15 个奶羊养殖场的 1159 头 Lacaune 母羊被纳入研究范围。这些母羊在 2019 年 8 月至 12 月期间至少产奶 70 天(DIM)时进行了一次表型分析。从每只母羊身上采集粪便样本,以确定每克粪便中线虫卵的浓度(EPG)。此外,还测量了临床参数 FAMACHA 评分和充盈细胞体积 (PCV)。线性混合模型用于分析收集的参数对 EPG 的影响。随着测试日产奶量的增加,EPG明显增加(P = 0.002),这表明高产母羊对GIN感染的抵抗力低于低产母羊。这种影响在泌乳早期最为明显,但仍保持在中等范围内。总之,我们的研究结果表明,使用泌乳初期的产奶量数据作为奶羊的 TST 指标是有潜力的。由于 FAMACHA 与 EPG 存在相关性(r = 0.37,P<0.05),因此在以 H. contortus 为主的牧场中,将 FAMACHA 与 EPG 结合使用可提高高感染母羊的正确识别率。
本文章由计算机程序翻译,如有差异,请以英文原文为准。
求助全文
约1分钟内获得全文 求助全文
来源期刊
Veterinary Parasitology: X
Veterinary Parasitology: X Veterinary-Veterinary (all)
自引率
0.00%
发文量
0
×
引用
GB/T 7714-2015
复制
MLA
复制
APA
复制
导出至
BibTeX EndNote RefMan NoteFirst NoteExpress
×
提示
您的信息不完整,为了账户安全,请先补充。
现在去补充
×
提示
您因"违规操作"
具体请查看互助需知
我知道了
×
提示
确定
请完成安全验证×
copy
已复制链接
快去分享给好友吧!
我知道了
右上角分享
点击右上角分享
0
联系我们:info@booksci.cn Book学术提供免费学术资源搜索服务,方便国内外学者检索中英文文献。致力于提供最便捷和优质的服务体验。 Copyright © 2023 布克学术 All rights reserved.
京ICP备2023020795号-1
ghs 京公网安备 11010802042870号
Book学术文献互助
Book学术文献互助群
群 号:604180095
Book学术官方微信