Prognostic value of pretreatment procalcitonin and neutrophil-lymphocyte ratio in extensive-stage small-cell lung cancer.

IF 4.6 4区 医学 Q2 ONCOLOGY
Cancer Biology & Therapy Pub Date : 2024-12-31 Epub Date: 2024-03-27 DOI:10.1080/15384047.2024.2331273
Dongfang Chen, Jianlin Xu, Yizhuo Zhao, Baohui Han, Runbo Zhong
{"title":"Prognostic value of pretreatment procalcitonin and neutrophil-lymphocyte ratio in extensive-stage small-cell lung cancer.","authors":"Dongfang Chen, Jianlin Xu, Yizhuo Zhao, Baohui Han, Runbo Zhong","doi":"10.1080/15384047.2024.2331273","DOIUrl":null,"url":null,"abstract":"<p><strong>Background: </strong>To investigate the influence of pretreatment neutrophil-to-lymphocyte ratio (NLR) and procalcitonin (PCT) on progression-free survival (PFS) in extensive-stage small-cell lung cancer (SCLC) patients.</p><p><strong>Method: </strong>A total of 100 extensive-stage SCLC patients were enrolled in our study. Patients were stratified according to the median values of pretreatment NLR and PCT levels: low NLR group (NLR ≤3.17), high NLR group (NLR>3.17), low PCT group (PCT ≤0.06; ng/ml), high PCT group (PCT>0.06; ng/ml). The Kaplan-Meier method and multivariable Cox regression model were used to reveal the prognostic effects of pretreatment NLR and PCT on PFS.</p><p><strong>Results: </strong>The median PFS of the total extensive-stage SCLC patients was 6.0 months. The median PFS of low pretreatment NLR group (NLR ≤3.17) was not significantly different from that of high pretreatment NLR group (6.2 months vs 5.8 months; <i>p</i> = .675). Patients with low pretreatment PCT (PCT ≤0.06; ng/ml) had significantly better PFS than patients with high pretreatment PCT (PCT>0.06; ng/ml) (6.9 months vs 5.7 months; <i>p</i> = .043). With the multivariable Cox regression analysis, the response to first-line chemotherapy (<i>p</i> ≤ .001) and pretreatment PCT (HR = 0.516; 95%CI 0.326-0.817; <i>p</i> = .005) were identified as independent factors associated with PFS.</p><p><strong>Conclusion: </strong>Pretreatment PCT is an independent factor associated with PFS in extensive-stage SCLC patients treated with first-line chemotherapy, but pretreatment NLR reflects no significant prognostic value in our study.</p>","PeriodicalId":9536,"journal":{"name":"Cancer Biology & Therapy","volume":"25 1","pages":"2331273"},"PeriodicalIF":4.6000,"publicationDate":"2024-12-31","publicationTypes":"Journal Article","fieldsOfStudy":null,"isOpenAccess":false,"openAccessPdf":"https://www.ncbi.nlm.nih.gov/pmc/articles/PMC10978019/pdf/","citationCount":"0","resultStr":null,"platform":"Semanticscholar","paperid":null,"PeriodicalName":"Cancer Biology & Therapy","FirstCategoryId":"3","ListUrlMain":"https://doi.org/10.1080/15384047.2024.2331273","RegionNum":4,"RegionCategory":"医学","ArticlePicture":[],"TitleCN":null,"AbstractTextCN":null,"PMCID":null,"EPubDate":"2024/3/27 0:00:00","PubModel":"Epub","JCR":"Q2","JCRName":"ONCOLOGY","Score":null,"Total":0}
引用次数: 0

Abstract

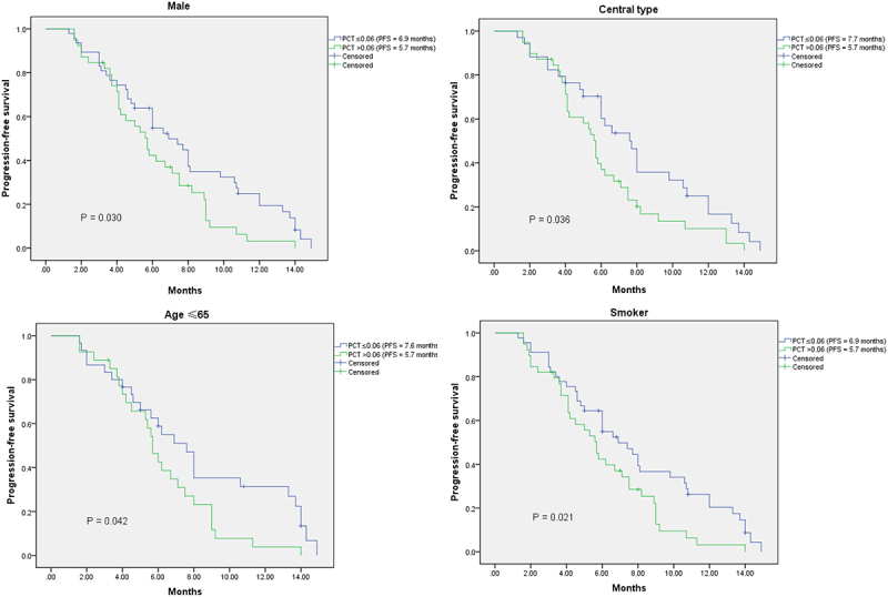
Background: To investigate the influence of pretreatment neutrophil-to-lymphocyte ratio (NLR) and procalcitonin (PCT) on progression-free survival (PFS) in extensive-stage small-cell lung cancer (SCLC) patients.

Method: A total of 100 extensive-stage SCLC patients were enrolled in our study. Patients were stratified according to the median values of pretreatment NLR and PCT levels: low NLR group (NLR ≤3.17), high NLR group (NLR>3.17), low PCT group (PCT ≤0.06; ng/ml), high PCT group (PCT>0.06; ng/ml). The Kaplan-Meier method and multivariable Cox regression model were used to reveal the prognostic effects of pretreatment NLR and PCT on PFS.

Results: The median PFS of the total extensive-stage SCLC patients was 6.0 months. The median PFS of low pretreatment NLR group (NLR ≤3.17) was not significantly different from that of high pretreatment NLR group (6.2 months vs 5.8 months; p = .675). Patients with low pretreatment PCT (PCT ≤0.06; ng/ml) had significantly better PFS than patients with high pretreatment PCT (PCT>0.06; ng/ml) (6.9 months vs 5.7 months; p = .043). With the multivariable Cox regression analysis, the response to first-line chemotherapy (p ≤ .001) and pretreatment PCT (HR = 0.516; 95%CI 0.326-0.817; p = .005) were identified as independent factors associated with PFS.

Conclusion: Pretreatment PCT is an independent factor associated with PFS in extensive-stage SCLC patients treated with first-line chemotherapy, but pretreatment NLR reflects no significant prognostic value in our study.

Abstract Image

Abstract Image

Abstract Image

广泛期小细胞肺癌治疗前降钙素原和中性粒细胞-淋巴细胞比值的预后价值
研究背景目的:探讨治疗前中性粒细胞与淋巴细胞比值(NLR)和降钙素原(PCT)对广泛期小细胞肺癌(SCLC)患者无进展生存期(PFS)的影响:我们的研究共招募了100名广泛期小细胞肺癌(SCLC)患者。根据治疗前NLR和PCT水平的中位值对患者进行分层:低NLR组(NLR≤3.17)、高NLR组(NLR>3.17)、低PCT组(PCT≤0.06;ng/ml)、高PCT组(PCT>0.06;ng/ml)。采用Kaplan-Meier方法和多变量Cox回归模型揭示治疗前NLR和PCT对PFS的预后影响:结果:所有广泛期SCLC患者的中位PFS为6.0个月。低NLR组(NLR≤3.17)的中位生存期与高NLR组(6.2个月 vs 5.8个月;P = .675)无显著差异。治疗前PCT较低的患者(PCT≤0.06;ng/ml)的PFS明显优于治疗前PCT较高的患者(PCT>0.06;ng/ml)(6.9个月 vs 5.7个月;p = .043)。通过多变量考克斯回归分析,发现对一线化疗的反应(p ≤ .001)和治疗前PCT(HR = 0.516; 95%CI 0.326-0.817; p = .005)是与PFS相关的独立因素:结论:对于接受一线化疗的广泛期SCLC患者而言,治疗前PCT是与PFS相关的独立因素,但在我们的研究中,治疗前NLR并不具有显著的预后价值。
本文章由计算机程序翻译,如有差异,请以英文原文为准。
求助全文
约1分钟内获得全文 求助全文
来源期刊
Cancer Biology & Therapy
Cancer Biology & Therapy 医学-肿瘤学
CiteScore
7.00
自引率
0.00%
发文量
60
审稿时长
2.3 months
期刊介绍: Cancer, the second leading cause of death, is a heterogenous group of over 100 diseases. Cancer is characterized by disordered and deregulated cellular and stromal proliferation accompanied by reduced cell death with the ability to survive under stresses of nutrient and growth factor deprivation, hypoxia, and loss of cell-to-cell contacts. At the molecular level, cancer is a genetic disease that develops due to the accumulation of mutations over time in somatic cells. The phenotype includes genomic instability and chromosomal aneuploidy that allows for acceleration of genetic change. Malignant transformation and tumor progression of any cell requires immortalization, loss of checkpoint control, deregulation of growth, and survival. A tremendous amount has been learned about the numerous cellular and molecular genetic changes and the host-tumor interactions that accompany tumor development and progression. It is the goal of the field of Molecular Oncology to use this knowledge to understand cancer pathogenesis and drug action, as well as to develop more effective diagnostic and therapeutic strategies for cancer. This includes preventative strategies as well as approaches to treat metastases. With the availability of the human genome sequence and genomic and proteomic approaches, a wealth of tools and resources are generating even more information. The challenge will be to make biological sense out of the information, to develop appropriate models and hypotheses and to translate information for the clinicians and the benefit of their patients. Cancer Biology & Therapy aims to publish original research on the molecular basis of cancer, including articles with translational relevance to diagnosis or therapy. We will include timely reviews covering the broad scope of the journal. The journal will also publish op-ed pieces and meeting reports of interest. The goal is to foster communication and rapid exchange of information through timely publication of important results using traditional as well as electronic formats. The journal and the outstanding Editorial Board will strive to maintain the highest standards for excellence in all activities to generate a valuable resource.
×
引用
GB/T 7714-2015
复制
MLA
复制
APA
复制
导出至
BibTeX EndNote RefMan NoteFirst NoteExpress
×
提示
您的信息不完整,为了账户安全,请先补充。
现在去补充
×
提示
您因"违规操作"
具体请查看互助需知
我知道了
×
提示
确定
请完成安全验证×
copy
已复制链接
快去分享给好友吧!
我知道了
右上角分享
点击右上角分享
0
联系我们:info@booksci.cn Book学术提供免费学术资源搜索服务,方便国内外学者检索中英文文献。致力于提供最便捷和优质的服务体验。 Copyright © 2023 布克学术 All rights reserved.
京ICP备2023020795号-1
ghs 京公网安备 11010802042870号
Book学术文献互助
Book学术文献互助群
群 号:604180095
Book学术官方微信