Acupuncture for Tinnitus: A Scoping Review of Clinical Studies.

IF 0.8 4区 医学 Q3 INTEGRATIVE & COMPLEMENTARY MEDICINE
Complementary Medicine Research Pub Date : 2024-01-01 Epub Date: 2024-03-26 DOI:10.1159/000538236
Keun Hee Lee, Min Hee Kim, Jaeho Kim, Hae Jeong Nam
{"title":"Acupuncture for Tinnitus: A Scoping Review of Clinical Studies.","authors":"Keun Hee Lee, Min Hee Kim, Jaeho Kim, Hae Jeong Nam","doi":"10.1159/000538236","DOIUrl":null,"url":null,"abstract":"<p><strong>Background: </strong>Acupuncture treatment for tinnitus has received attention owing to its potential as an alternative to conventional treatment modalities. We conducted a scoping review to identify detailed information on acupuncture treatment methods used in clinical studies and to provide useful information for practitioners, patients, and researchers.</p><p><strong>Methods: </strong>MEDLINE, Cochrane Central Register of Controlled Trials (CENTRAL), Embase, Oriental Medicine Advanced Searching Integrated System (OASIS), Korean Research Information Sharing Service (RISS), DataBase Periodical Information Academic (DBPIA), and the China National Knowledge Infrastructure (CNKI) were searched from their inception to December 2023. This review included single-arm trials, open-label randomized controlled trials (RCTs), and double-blind RCTs using needle-type acupuncture to treat tinnitus in English, Chinese, and Korean. We investigated basic and detailed information on the acupuncture treatment methods, assessment methods, and study outcomes. Network analysis was also conducted to evaluate the centrality between acupoints in the double-blind RCTs.</p><p><strong>Results: </strong>We included 106 articles. There were 11 single-arm trials, 90 open-label RCTs, and 5 double-blind RCTs. Most (89.6%) of these studies were conducted in China. Manual acupuncture was the most common type of acupuncture in treatment group. A total of 119 acupuncture points were used 1,138 times. The most frequently used acupoints were local points around the ear (TE17, GB2, SI19, and TE21). Both local and distant acupoints were used simultaneously in these studies. The treatment duration of 20-39 days, 10 to 19 sessions of treatment, the mean acupuncture duration of 30 min, needle diameter of 0.30 mm × 40 mm, and needling depth over 30 mm and less than 50 mm were confirmed as the most common.</p><p><strong>Conclusion: </strong>These study outcomes will enable future acupuncture studies on tinnitus to perform more effective and standardized acupuncture treatments in selecting acupoints and procedures. Furthermore, the study has implications for informing clinicians and students about more impactful acupuncture strategies for addressing tinnitus.</p><p><p><title>Hintergrund</title>Die Anwendung von Akupunktur bei Tinnitus erhält seit einiger Zeit Aufmerksamkeit als potenzielle Alternative zu konventionellen Behandlungsmodalitäten. Wir führten einen Scoping-Review durch, um detaillierte Informationen zu den in klinischen Studien angewandten Akupunktur-Behandlungsmethoden zu sammeln und nützliche Informationen für Praktiker, Patienten und Forscher bereitzustellen.<title>Methoden</title>MEDLINE, Cochrane Central Register of Controlled Trials (CENTRAL), Embase, Oriental Medicine Advanced Searching Integrated System (OASIS), Korean Research Information Sharing Service (RISS), DataBase Periodical Information Academic (DBPIA) und die China National Knowledge Infrastructure (CNKI) wurden von ihrem jeweiligen Beginn bis Dezember 2023 durchsucht. In diese Übersichtsarbeit wurden einarmige Studien, offene, randomisierte, kontrollierte Studien (RCTs) sowie doppelt verblindete RCTs zu Nadel-Akupunktur zur Behandlung von Tinnitus in englischer, chinesischer und koreanischer Sprache einbezogen. Wir untersuchten grundlegende und detaillierte Informationen zu den Akupunktur-Behandlungsmethoden, Untersuchungsmethoden und Studienergebnissen. Außerdem wurden Netzwerkanalysen zur Beurteilung der Zentralität zwischen Akupunkten in den doppelt verblindeten RCTs durchgeführt.<title>Ergebnisse</title>106 Artikel wurden eingeschlossen. Sie behandelten 11 einarmige Studien, 90 offene RCTs und 5 doppelt verblindete RCTs. Die meisten (89,6%) dieser Studien waren in China durchgeführt worden. Manuelle Akupunktur war die häufigste Form der Akupunktur in den Behandlungsgruppen. 119 Akupunkturpunkte wurden insgesamt 1’138 Mal verwendet. Die am häufigsten verwendeten Akupunkte waren lokale Punkte im Bereich des Ohrs (TE17, GB2, SI19 und TE21). Jedoch wurden in den Studien lokale und entfernte Akupunkte gleichzeitig angewendet. Außerdem wurde festgestellt, dass die Behandlungsdauer am häufigsten 20 bis 39 Tage betrug, die Zahl der Sitzungen 10 bis 19, die mittlere Akupunkturdauer 30 Minuten, die Nadelgröße 0.30 mm × 40 mm und die Einstichtiefe zwischen 30 mm und weniger als 50 mm.<title>Schlussfolgerung</title>Diese Studienergebnisse bieten eine Grundlage für künftige Studien zu Akupunktur bei Tinnitus, um durch die Auswahl der Akupunkte und Verfahren wirksamere und standardisierte Akupunkturbehandlungen durchzuführen. Darüber hinaus hat die Studie Implikationen für die Aufklärung von Praktikern und Schülern über wirkungsvollere Akupunkturstrategien zur Behandlung von Tinnitus.</p>","PeriodicalId":10541,"journal":{"name":"Complementary Medicine Research","volume":" ","pages":"292-301"},"PeriodicalIF":0.8000,"publicationDate":"2024-01-01","publicationTypes":"Journal Article","fieldsOfStudy":null,"isOpenAccess":false,"openAccessPdf":"https://www.ncbi.nlm.nih.gov/pmc/articles/PMC11177893/pdf/","citationCount":"0","resultStr":null,"platform":"Semanticscholar","paperid":null,"PeriodicalName":"Complementary Medicine Research","FirstCategoryId":"3","ListUrlMain":"https://doi.org/10.1159/000538236","RegionNum":4,"RegionCategory":"医学","ArticlePicture":[],"TitleCN":null,"AbstractTextCN":null,"PMCID":null,"EPubDate":"2024/3/26 0:00:00","PubModel":"Epub","JCR":"Q3","JCRName":"INTEGRATIVE & COMPLEMENTARY MEDICINE","Score":null,"Total":0}
引用次数: 0

Abstract

Background: Acupuncture treatment for tinnitus has received attention owing to its potential as an alternative to conventional treatment modalities. We conducted a scoping review to identify detailed information on acupuncture treatment methods used in clinical studies and to provide useful information for practitioners, patients, and researchers.

Methods: MEDLINE, Cochrane Central Register of Controlled Trials (CENTRAL), Embase, Oriental Medicine Advanced Searching Integrated System (OASIS), Korean Research Information Sharing Service (RISS), DataBase Periodical Information Academic (DBPIA), and the China National Knowledge Infrastructure (CNKI) were searched from their inception to December 2023. This review included single-arm trials, open-label randomized controlled trials (RCTs), and double-blind RCTs using needle-type acupuncture to treat tinnitus in English, Chinese, and Korean. We investigated basic and detailed information on the acupuncture treatment methods, assessment methods, and study outcomes. Network analysis was also conducted to evaluate the centrality between acupoints in the double-blind RCTs.

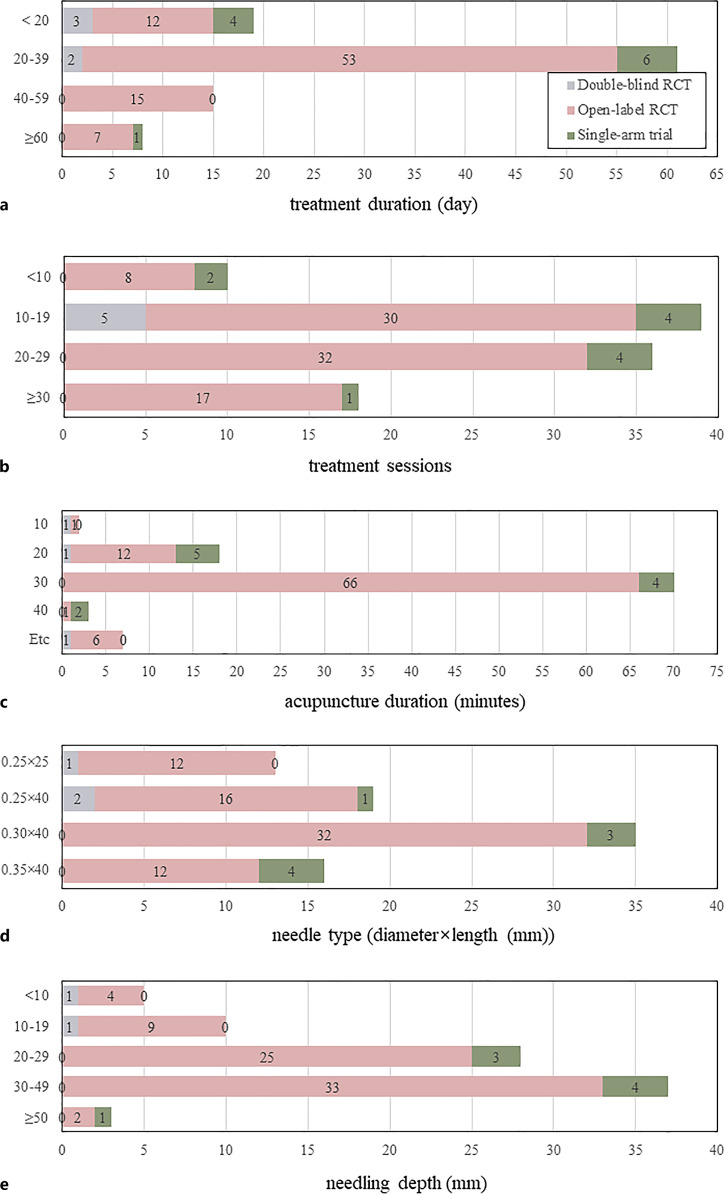
Results: We included 106 articles. There were 11 single-arm trials, 90 open-label RCTs, and 5 double-blind RCTs. Most (89.6%) of these studies were conducted in China. Manual acupuncture was the most common type of acupuncture in treatment group. A total of 119 acupuncture points were used 1,138 times. The most frequently used acupoints were local points around the ear (TE17, GB2, SI19, and TE21). Both local and distant acupoints were used simultaneously in these studies. The treatment duration of 20-39 days, 10 to 19 sessions of treatment, the mean acupuncture duration of 30 min, needle diameter of 0.30 mm × 40 mm, and needling depth over 30 mm and less than 50 mm were confirmed as the most common.

Conclusion: These study outcomes will enable future acupuncture studies on tinnitus to perform more effective and standardized acupuncture treatments in selecting acupoints and procedures. Furthermore, the study has implications for informing clinicians and students about more impactful acupuncture strategies for addressing tinnitus.

HintergrundDie Anwendung von Akupunktur bei Tinnitus erhält seit einiger Zeit Aufmerksamkeit als potenzielle Alternative zu konventionellen Behandlungsmodalitäten. Wir führten einen Scoping-Review durch, um detaillierte Informationen zu den in klinischen Studien angewandten Akupunktur-Behandlungsmethoden zu sammeln und nützliche Informationen für Praktiker, Patienten und Forscher bereitzustellen.MethodenMEDLINE, Cochrane Central Register of Controlled Trials (CENTRAL), Embase, Oriental Medicine Advanced Searching Integrated System (OASIS), Korean Research Information Sharing Service (RISS), DataBase Periodical Information Academic (DBPIA) und die China National Knowledge Infrastructure (CNKI) wurden von ihrem jeweiligen Beginn bis Dezember 2023 durchsucht. In diese Übersichtsarbeit wurden einarmige Studien, offene, randomisierte, kontrollierte Studien (RCTs) sowie doppelt verblindete RCTs zu Nadel-Akupunktur zur Behandlung von Tinnitus in englischer, chinesischer und koreanischer Sprache einbezogen. Wir untersuchten grundlegende und detaillierte Informationen zu den Akupunktur-Behandlungsmethoden, Untersuchungsmethoden und Studienergebnissen. Außerdem wurden Netzwerkanalysen zur Beurteilung der Zentralität zwischen Akupunkten in den doppelt verblindeten RCTs durchgeführt.Ergebnisse106 Artikel wurden eingeschlossen. Sie behandelten 11 einarmige Studien, 90 offene RCTs und 5 doppelt verblindete RCTs. Die meisten (89,6%) dieser Studien waren in China durchgeführt worden. Manuelle Akupunktur war die häufigste Form der Akupunktur in den Behandlungsgruppen. 119 Akupunkturpunkte wurden insgesamt 1’138 Mal verwendet. Die am häufigsten verwendeten Akupunkte waren lokale Punkte im Bereich des Ohrs (TE17, GB2, SI19 und TE21). Jedoch wurden in den Studien lokale und entfernte Akupunkte gleichzeitig angewendet. Außerdem wurde festgestellt, dass die Behandlungsdauer am häufigsten 20 bis 39 Tage betrug, die Zahl der Sitzungen 10 bis 19, die mittlere Akupunkturdauer 30 Minuten, die Nadelgröße 0.30 mm × 40 mm und die Einstichtiefe zwischen 30 mm und weniger als 50 mm.SchlussfolgerungDiese Studienergebnisse bieten eine Grundlage für künftige Studien zu Akupunktur bei Tinnitus, um durch die Auswahl der Akupunkte und Verfahren wirksamere und standardisierte Akupunkturbehandlungen durchzuführen. Darüber hinaus hat die Studie Implikationen für die Aufklärung von Praktikern und Schülern über wirkungsvollere Akupunkturstrategien zur Behandlung von Tinnitus.

Abstract Image

Abstract Image

Abstract Image

针灸治疗耳鸣:临床研究综述。
背景:针灸治疗耳鸣因其可替代传统治疗方法而备受关注。我们进行了一次范围综述,以确定临床研究中使用的针灸治疗方法的详细信息,并为从业人员、患者和研究人员提供有用信息:方法:检索了 Medline、Cochrane 对照试验中央注册中心 (CENTRAL)、EMBASE、东方医学高级检索综合系统 (OASIS)、韩国研究信息共享服务 (RISS)、数据库期刊信息学术 (DBPIA) 和中国国家知识基础设施 (CNKI),检索期从开始至 2023 年 12 月。本综述包括英文、中文和韩文的单臂试验、开放标签随机对照试验(RCT)和双盲 RCT。我们调查了针灸治疗方法、评估方法和研究结果的基本信息和详细信息。我们还进行了网络分析,以评估双盲 RCT 中穴位之间的中心性:我们共收录了 106 篇文章。其中有 11 项单臂试验、90 项开放标签 RCT 和 5 项双盲 RCT。这些研究大部分(89.6%)在中国进行。手法针灸是治疗组中最常见的针灸方法。共有 119 个穴位被使用了 1 138 次。最常用的穴位是耳周围的局部穴位(TE17、GB2、SI19 和 TE21)。在这些研究中,局部穴位和远处穴位被同时使用。治疗时间为 20 至 39 天,治疗次数为 10 至 19 次,平均针刺时间为 30 分钟,针刺直径为 0.30 毫米 x 40 毫米,针刺深度大于 30 毫米且小于 50 毫米:本研究成果将有助于今后的耳鸣针灸研究在选择穴位和操作过程中执行更有效、更标准化的针灸疗法。此外,该研究对临床医生和学生了解更有效的针灸治疗耳鸣的策略也具有重要意义。
本文章由计算机程序翻译,如有差异,请以英文原文为准。
求助全文
约1分钟内获得全文 求助全文
来源期刊
Complementary Medicine Research
Complementary Medicine Research Medicine-Complementary and Alternative Medicine
CiteScore
2.90
自引率
5.60%
发文量
50
期刊介绍: Aims and Scope ''Complementary Medicine Research'' is an international journal that aims to bridge the gap between conventional medicine and complementary/alternative medicine (CAM) on a sound scientific basis, promoting their mutual integration. Accordingly, experts of both conventional medicine and CAM medicine cooperate on the journal‘s editorial board, which accepts papers only after a rigorous peer-review process in order to maintain a high standard of scientific quality. Spectrum of ''Complementary Medicine Research'': - Review and Original Articles, Case Reports and Essays regarding complementary practice and methods - Journal Club: Analysis and discussion of internationally published articles in complementary medicine - Editorials of leading experts in complementary medicine - Questions of complementary patient-centered care - Education in complementary medicine - Reports on important meetings and conferences - Society Bulletins of Schweizerische Medizinische Gesellschaft für Phytotherapie (SMGP) and Deutsche Gesellschaft für Naturheilkunde Bibliographic Details Complementary Medicine Research Journal Abbreviation: Complement Med Res ISSN: 2504-2092 (Print) e-ISSN: 2504-2106 (Online) DOI: 10.1159/issn.2504-2092 www.karger.com/CMR
×
引用
GB/T 7714-2015
复制
MLA
复制
APA
复制
导出至
BibTeX EndNote RefMan NoteFirst NoteExpress
×
提示
您的信息不完整,为了账户安全,请先补充。
现在去补充
×
提示
您因"违规操作"
具体请查看互助需知
我知道了
×
提示
确定
请完成安全验证×
copy
已复制链接
快去分享给好友吧!
我知道了
右上角分享
点击右上角分享
0
联系我们:info@booksci.cn Book学术提供免费学术资源搜索服务,方便国内外学者检索中英文文献。致力于提供最便捷和优质的服务体验。 Copyright © 2023 布克学术 All rights reserved.
京ICP备2023020795号-1
ghs 京公网安备 11010802042870号
Book学术文献互助
Book学术文献互助群
群 号:604180095
Book学术官方微信