Broiler farming practices using new or re-used bedding, inclusive of free-range, have no impact on Campylobacter levels, species diversity, Campylobacter community profiles and Campylobacter bacteriophages.

IF 4.1 Q3 MICROBIOLOGY
AIMS Microbiology Pub Date : 2024-01-16 eCollection Date: 2024-01-01 DOI:10.3934/microbiol.2024002
Helene Nalini Chinivasagam, Wiyada Estella, Damien Finn, David G Mayer, Hugh Rodrigues, Ibrahim Diallo
{"title":"Broiler farming practices using new or re-used bedding, inclusive of free-range, have no impact on <i>Campylobacter</i> levels, species diversity, <i>Campylobacter</i> community profiles and <i>Campylobacter</i> bacteriophages.","authors":"Helene Nalini Chinivasagam, Wiyada Estella, Damien Finn, David G Mayer, Hugh Rodrigues, Ibrahim Diallo","doi":"10.3934/microbiol.2024002","DOIUrl":null,"url":null,"abstract":"<p><p>A multi-stage option to address food-safety can be produced by a clearer understanding of <i>Campylobacter</i>'s persistence through the broiler production chain, its environmental niche and its interaction with bacteriophages. This study addressed <i>Campylobacter</i> levels, species, genotype, bacteriophage composition/ levels in caeca, litter, soil and carcasses across commercial broiler farming practices to inform on-farm management, including interventions. Broilers were sequentially collected as per company slaughter schedules over two-years from 17 farms, which represented four commercially adopted farming practices, prior to the final bird removal (days 39-53). The practices were conventional full clean-out, conventional litter re-use, free-range-full cleanout and free-range-litter re-use. Caeca, litter and soil collected on-farm, and representative carcases collected at the processing plant, were tested for <i>Campylobacter</i> levels, species dominance and <i>Campylobacter</i> bacteriophages. General community profiling via denaturing gradient gel electrophoresis of the <i>flaA</i> gene was used to establish the population relationships between various farming practices on representative <i>Campylobacter</i> isolates. The farming practice choices did not influence the high caeca <i>Campylobacter</i> levels (log 7.5 to log 8.5 CFU/g), the carcass levels (log 2.5 to log 3.2 CFU/carcass), the <i>C. jejuni</i>/<i>C. coli</i> dominance and the on-farm bacteriophage presence/levels. A principal coordinate analysis of the <i>flaA</i> distribution for farm and litter practices showed strong separation but no obvious farming practice related grouping of <i>Campylobacter</i>. Bacteriophages originated from select farms, were not practice-dependent, and were detected in the environment (litter) only if present in the birds (caeca). This multifaceted study showed no influence of farming practices on on-farm <i>Campylobacter</i> dynamics. The significance of this study means that a unified on-farm risk-management could be adopted irrespective of commercial practice choices to collectively address caeca <i>Campylobacter</i> levels, as well as the potential to include <i>Campylobacter</i> bacteriophage biocontrol. The impact of this study means that there are no constraints in re-using bedding or adopting free-range farming, thus contributing to environmentally sustainable (re-use) and emerging (free-range) broiler farming choices.</p>","PeriodicalId":46108,"journal":{"name":"AIMS Microbiology","volume":"10 1","pages":"12-40"},"PeriodicalIF":4.1000,"publicationDate":"2024-01-16","publicationTypes":"Journal Article","fieldsOfStudy":null,"isOpenAccess":false,"openAccessPdf":"https://www.ncbi.nlm.nih.gov/pmc/articles/PMC10955168/pdf/","citationCount":"0","resultStr":null,"platform":"Semanticscholar","paperid":null,"PeriodicalName":"AIMS Microbiology","FirstCategoryId":"1085","ListUrlMain":"https://doi.org/10.3934/microbiol.2024002","RegionNum":0,"RegionCategory":null,"ArticlePicture":[],"TitleCN":null,"AbstractTextCN":null,"PMCID":null,"EPubDate":"2024/1/1 0:00:00","PubModel":"eCollection","JCR":"Q3","JCRName":"MICROBIOLOGY","Score":null,"Total":0}
引用次数: 0

Abstract

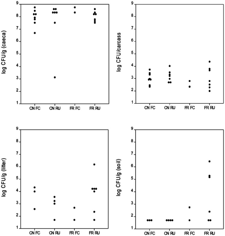
A multi-stage option to address food-safety can be produced by a clearer understanding of Campylobacter's persistence through the broiler production chain, its environmental niche and its interaction with bacteriophages. This study addressed Campylobacter levels, species, genotype, bacteriophage composition/ levels in caeca, litter, soil and carcasses across commercial broiler farming practices to inform on-farm management, including interventions. Broilers were sequentially collected as per company slaughter schedules over two-years from 17 farms, which represented four commercially adopted farming practices, prior to the final bird removal (days 39-53). The practices were conventional full clean-out, conventional litter re-use, free-range-full cleanout and free-range-litter re-use. Caeca, litter and soil collected on-farm, and representative carcases collected at the processing plant, were tested for Campylobacter levels, species dominance and Campylobacter bacteriophages. General community profiling via denaturing gradient gel electrophoresis of the flaA gene was used to establish the population relationships between various farming practices on representative Campylobacter isolates. The farming practice choices did not influence the high caeca Campylobacter levels (log 7.5 to log 8.5 CFU/g), the carcass levels (log 2.5 to log 3.2 CFU/carcass), the C. jejuni/C. coli dominance and the on-farm bacteriophage presence/levels. A principal coordinate analysis of the flaA distribution for farm and litter practices showed strong separation but no obvious farming practice related grouping of Campylobacter. Bacteriophages originated from select farms, were not practice-dependent, and were detected in the environment (litter) only if present in the birds (caeca). This multifaceted study showed no influence of farming practices on on-farm Campylobacter dynamics. The significance of this study means that a unified on-farm risk-management could be adopted irrespective of commercial practice choices to collectively address caeca Campylobacter levels, as well as the potential to include Campylobacter bacteriophage biocontrol. The impact of this study means that there are no constraints in re-using bedding or adopting free-range farming, thus contributing to environmentally sustainable (re-use) and emerging (free-range) broiler farming choices.

Abstract Image

Abstract Image

Abstract Image

使用新垫料或重复使用垫料(包括散养)的肉鸡养殖方法对弯曲菌水平、物种多样性、弯曲菌群落概况和噬菌体弯曲菌没有影响。
通过更清楚地了解弯曲杆菌在肉鸡生产链中的持久性、其环境生态位及其与噬菌体之间的相互作用,可以为解决食品安全问题提供多阶段方案。本研究探讨了商业肉鸡养殖过程中弯曲杆菌在盲肠、粪便、土壤和胴体中的含量、种类、基因型和噬菌体成分/含量,为农场管理(包括干预措施)提供信息。按照公司的屠宰时间表,在两年内从 17 个养殖场(代表四种商业化养殖方式)按顺序收集肉鸡,然后再将肉鸡最后清除(第 39-53 天)。这四种养殖方式分别是传统的全面清理、传统的粪便再利用、散养-全面清理和散养-粪便再利用。在农场收集的盲肠、粪便和土壤,以及在加工厂收集的代表性屠体,都进行了弯曲杆菌含量、物种优势和弯曲杆菌噬菌体检测。通过对 flaA 基因进行变性梯度凝胶电泳来进行总体群落分析,以确定各种养殖方式对代表性弯曲杆菌分离物之间的种群关系。养殖方法的选择并不影响高盲肠弯曲菌水平(对数 7.5 至对数 8.5 CFU/g)、胴体水平(对数 2.5 至对数 3.2 CFU/胴体)、空肠弯曲菌/大肠弯曲菌优势以及农场噬菌体的存在/水平。对养殖场和粪便处理方式的 flaA 分布进行主坐标分析后发现,弯曲杆菌被很好地分离,但没有明显的养殖方式相关分组。噬菌体来源于特定的养殖场,与养殖方式无关,只有在禽类(盲肠)中存在噬菌体时才会在环境(粪便)中检测到噬菌体。这项多方面的研究表明,养殖方式对农场弯曲杆菌的动态变化没有影响。这项研究的意义在于,无论选择哪种商业养殖方式,都可以采用统一的农场风险管理来共同解决盲肠弯曲杆菌水平问题,并有可能将弯曲杆菌噬菌体生物控制纳入其中。这项研究的影响意味着,重复使用垫料或采用散养没有任何限制,从而有助于环境可持续(重复使用)和新兴(散养)肉鸡养殖的选择。
本文章由计算机程序翻译,如有差异,请以英文原文为准。
求助全文
约1分钟内获得全文 求助全文
来源期刊
AIMS Microbiology
AIMS Microbiology MICROBIOLOGY-
CiteScore
7.00
自引率
2.10%
发文量
22
审稿时长
8 weeks
×
引用
GB/T 7714-2015
复制
MLA
复制
APA
复制
导出至
BibTeX EndNote RefMan NoteFirst NoteExpress
×
提示
您的信息不完整,为了账户安全,请先补充。
现在去补充
×
提示
您因"违规操作"
具体请查看互助需知
我知道了
×
提示
确定
请完成安全验证×
copy
已复制链接
快去分享给好友吧!
我知道了
右上角分享
点击右上角分享
0
联系我们:info@booksci.cn Book学术提供免费学术资源搜索服务,方便国内外学者检索中英文文献。致力于提供最便捷和优质的服务体验。 Copyright © 2023 布克学术 All rights reserved.
京ICP备2023020795号-1
ghs 京公网安备 11010802042870号
Book学术文献互助
Book学术文献互助群
群 号:604180095
Book学术官方微信