Disparities in heart failure between White, Black, and Hispanic young adults: insights from the National Health and Nutrition Examination Survey.

IF 2.2 Q2 CARDIAC & CARDIOVASCULAR SYSTEMS
Khawaja M Talha, Talal Almas, Abdul Mannan Khan Minhas, Husam Salah, Adeena Jamil, Heather M Johnson, Vardhmaan Jain, Steve Antoine, Sadiya S Khan, Muhammad Shahzeb Khan
{"title":"Disparities in heart failure between White, Black, and Hispanic young adults: insights from the National Health and Nutrition Examination Survey.","authors":"Khawaja M Talha, Talal Almas, Abdul Mannan Khan Minhas, Husam Salah, Adeena Jamil, Heather M Johnson, Vardhmaan Jain, Steve Antoine, Sadiya S Khan, Muhammad Shahzeb Khan","doi":"10.1177/17539447241239814","DOIUrl":null,"url":null,"abstract":"<p><strong>Background: </strong>The prevalence of heart failure (HF) is increasing among young adults in the United States with pervasive racial and ethnic differences in this population.</p><p><strong>Objective: </strong>To evaluate contemporary associations between race and ethnicity, clinical comorbidities, and outcomes among young to middle-aged adults with HF.</p><p><strong>Methods: </strong>A retrospective analysis was performed using the National Health and Nutrition Examination Survey. All participants with a self-report of HF aged 20-64 years from 2005 to 2018 were included and stratified by race and ethnicity [non-Hispanic (NH) Whites, NH Blacks, and Hispanics]. Data on baseline characteristics including age, sex, marital status, citizenship, education level, body mass index, insurance, waist circumference, cigarette smoking, marijuana use, and relevant clinical comorbidities were included. Weighted logistic regression was performed to estimate adjusted odds ratios (aOR) to determine the association of race and ethnicity with HF. Cox proportional-hazards models were used to assess the association of race and ethnicity with all-cause and cardiac mortality.</p><p><strong>Results: </strong>A total of 1,940,447 young to middle-aged adults had self-reported HF between 2005 and 2018, of whom 61% were NH White, 40% were NH Black, and 22% were Hispanic. When compared with NH White adults, NH Black adults had higher odds of HF adjusted for age, sex, insurance status, marital status, education level, citizenship status, and clinical comorbidities (adjusted aOR 2.63, 95% CI: 1.71-4.05, <i>p</i> < 0.001). There was no significant difference in the odds of HF between Hispanic and NH White adults (aOR 1.18, 95% CI: 0.64-2.18, <i>p</i> = 0.585). NH Black adults had higher mean systolic and diastolic blood pressure, and a comparable or lower burden of cardiovascular and non-cardiovascular clinical comorbidities compared with NH White and Hispanic adults. No statistical significance was noted by race and ethnicity for all-cause and cardiac mortality during a follow-up of 5 years.</p><p><strong>Conclusion: </strong>NH Black young to middle-aged adults were more likely to have HF which may be related to higher blood pressure given the largely similar burden of clinically relevant comorbidities compared with other racial and ethnic groups.</p>","PeriodicalId":23035,"journal":{"name":"Therapeutic Advances in Cardiovascular Disease","volume":"18 ","pages":"17539447241239814"},"PeriodicalIF":2.2000,"publicationDate":"2024-01-01","publicationTypes":"Journal Article","fieldsOfStudy":null,"isOpenAccess":false,"openAccessPdf":"https://www.ncbi.nlm.nih.gov/pmc/articles/PMC10962029/pdf/","citationCount":"0","resultStr":null,"platform":"Semanticscholar","paperid":null,"PeriodicalName":"Therapeutic Advances in Cardiovascular Disease","FirstCategoryId":"1085","ListUrlMain":"https://doi.org/10.1177/17539447241239814","RegionNum":0,"RegionCategory":null,"ArticlePicture":[],"TitleCN":null,"AbstractTextCN":null,"PMCID":null,"EPubDate":"","PubModel":"","JCR":"Q2","JCRName":"CARDIAC & CARDIOVASCULAR SYSTEMS","Score":null,"Total":0}
引用次数: 0

Abstract

Background: The prevalence of heart failure (HF) is increasing among young adults in the United States with pervasive racial and ethnic differences in this population.

Objective: To evaluate contemporary associations between race and ethnicity, clinical comorbidities, and outcomes among young to middle-aged adults with HF.

Methods: A retrospective analysis was performed using the National Health and Nutrition Examination Survey. All participants with a self-report of HF aged 20-64 years from 2005 to 2018 were included and stratified by race and ethnicity [non-Hispanic (NH) Whites, NH Blacks, and Hispanics]. Data on baseline characteristics including age, sex, marital status, citizenship, education level, body mass index, insurance, waist circumference, cigarette smoking, marijuana use, and relevant clinical comorbidities were included. Weighted logistic regression was performed to estimate adjusted odds ratios (aOR) to determine the association of race and ethnicity with HF. Cox proportional-hazards models were used to assess the association of race and ethnicity with all-cause and cardiac mortality.

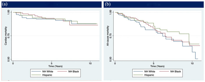
Results: A total of 1,940,447 young to middle-aged adults had self-reported HF between 2005 and 2018, of whom 61% were NH White, 40% were NH Black, and 22% were Hispanic. When compared with NH White adults, NH Black adults had higher odds of HF adjusted for age, sex, insurance status, marital status, education level, citizenship status, and clinical comorbidities (adjusted aOR 2.63, 95% CI: 1.71-4.05, p < 0.001). There was no significant difference in the odds of HF between Hispanic and NH White adults (aOR 1.18, 95% CI: 0.64-2.18, p = 0.585). NH Black adults had higher mean systolic and diastolic blood pressure, and a comparable or lower burden of cardiovascular and non-cardiovascular clinical comorbidities compared with NH White and Hispanic adults. No statistical significance was noted by race and ethnicity for all-cause and cardiac mortality during a follow-up of 5 years.

Conclusion: NH Black young to middle-aged adults were more likely to have HF which may be related to higher blood pressure given the largely similar burden of clinically relevant comorbidities compared with other racial and ethnic groups.

Abstract Image

Abstract Image

Abstract Image

白人、黑人和西班牙裔年轻成年人之间在心力衰竭方面的差异:从全国健康与营养调查中获得的启示。
背景:美国年轻成年人心力衰竭(HF)的发病率正在上升,而且这一人群中普遍存在种族差异:在美国,心力衰竭(HF)在年轻成年人中的发病率越来越高,在这一人群中普遍存在种族和民族差异:评估中青年心力衰竭患者的种族和民族、临床合并症和预后之间的当代关联:方法:利用全国健康与营养调查进行回顾性分析。纳入了 2005 年至 2018 年期间所有自述患有高血压的 20-64 岁参与者,并按种族和民族[非西班牙裔(NH)白人、西班牙裔黑人和西班牙裔]进行了分层。基线特征数据包括年龄、性别、婚姻状况、国籍、教育程度、体重指数、保险、腰围、吸烟、吸食大麻以及相关临床合并症。采用加权逻辑回归法估算调整后的几率比(aOR),以确定种族和民族与心房颤动的关系。采用 Cox 比例危险模型评估种族和民族与全因死亡率和心脏病死亡率的关系:2005 年至 2018 年间,共有 1,940,447 名中青年成年人自我报告患有高血压,其中 61% 为新罕布什尔州白人,40% 为新罕布什尔州黑人,22% 为西班牙裔。与新罕布什尔州白人成年人相比,新罕布什尔州黑人成年人在调整了年龄、性别、保险状况、婚姻状况、教育水平、公民身份和临床合并症后,患心房颤动的几率更高(调整后 aOR 2.63,95% CI:1.71-4.05,p p = 0.585)。与新罕布什尔州白人和西班牙裔成年人相比,新罕布什尔州黑人成年人的平均收缩压和舒张压较高,心血管和非心血管临床合并症的负担相当或较低。在 5 年的随访中,不同种族和族裔的全因死亡率和心脏病死亡率没有统计学意义:结论:与其他种族和族裔群体相比,新罕布什尔州黑人中青年更容易患高血压,这可能与血压较高有关,因为临床相关合并症的负担基本相似。
本文章由计算机程序翻译,如有差异,请以英文原文为准。
求助全文
约1分钟内获得全文 求助全文
来源期刊
Therapeutic Advances in Cardiovascular Disease
Therapeutic Advances in Cardiovascular Disease CARDIAC & CARDIOVASCULAR SYSTEMS-
CiteScore
3.50
自引率
0.00%
发文量
11
审稿时长
9 weeks
期刊介绍: The journal is aimed at clinicians and researchers from the cardiovascular disease field and will be a forum for all views and reviews relating to this discipline.Topics covered will include: ·arteriosclerosis ·cardiomyopathies ·coronary artery disease ·diabetes ·heart failure ·hypertension ·metabolic syndrome ·obesity ·peripheral arterial disease ·stroke ·arrhythmias ·genetics
×
引用
GB/T 7714-2015
复制
MLA
复制
APA
复制
导出至
BibTeX EndNote RefMan NoteFirst NoteExpress
×
提示
您的信息不完整,为了账户安全,请先补充。
现在去补充
×
提示
您因"违规操作"
具体请查看互助需知
我知道了
×
提示
确定
请完成安全验证×
copy
已复制链接
快去分享给好友吧!
我知道了
右上角分享
点击右上角分享
0
联系我们:info@booksci.cn Book学术提供免费学术资源搜索服务,方便国内外学者检索中英文文献。致力于提供最便捷和优质的服务体验。 Copyright © 2023 布克学术 All rights reserved.
京ICP备2023020795号-1
ghs 京公网安备 11010802042870号
Book学术文献互助
Book学术文献互助群
群 号:604180095
Book学术官方微信