The activity of monocyte-derived macrophages after stimulation with platelet-rich and platelet-poor concentrates. Study on an ovine model of insertion of a tibial implant coated with silicon-doped diamond-like carbon.

IF 1.5 3区 农林科学 Q2 VETERINARY SCIENCES
Journal of Veterinary Research Pub Date : 2024-03-23 eCollection Date: 2024-03-01 DOI:10.2478/jvetres-2024-0003
Bartłomiej Szymczak, Andrzej Junkuszew, Krzysztof Patkowski, Tomasz Szponder, Dominika Nguyen Ngoc, Beata Drzewiecka, Aleksandra Sobczyńska-Rak, Joanna Wessely-Szponder
{"title":"The activity of monocyte-derived macrophages after stimulation with platelet-rich and platelet-poor concentrates. Study on an ovine model of insertion of a tibial implant coated with silicon-doped diamond-like carbon.","authors":"Bartłomiej Szymczak, Andrzej Junkuszew, Krzysztof Patkowski, Tomasz Szponder, Dominika Nguyen Ngoc, Beata Drzewiecka, Aleksandra Sobczyńska-Rak, Joanna Wessely-Szponder","doi":"10.2478/jvetres-2024-0003","DOIUrl":null,"url":null,"abstract":"<p><strong>Introduction: </strong>Macrophages are crucial immune cells that play a role in tissue repair and can exhibit pro- or anti-inflammatory behaviour based on environmental stimulation. Their functional phenotype can be affected by platelet-derived products as determined by those products' composition. When the inflammatory response caused by implantation is excessive, it can lead to rejection of the implant. Therefore, a thorough evaluation of implant haemocompatibility is necessary to minimise undesirable consequences.</p><p><strong>Material and methods: </strong>In an <i>in vitro</i> study, monocyte-derived macrophages (MDMs) were obtained from the whole blood of sheep after a silicon-doped diamond-like carbon-coated implant insertion. These MDMs were then exposed to autologous platelet-derived products for functional marker analysis.</p><p><strong>Results: </strong>Platelet-poor plasma (PPP) and pure platelet-rich plasma (P-PRP) stimulation increased arginase-1 activity, while leukocyte-rich PRP stimulation produced a mixed response involving higher O<sub>2</sub><sup>-</sup> (6.49 ± 2.43 nM <i>vs</i> non-stimulated 3.51 ± 1.23 nM, P-value < 0.05) and NO (3.28 ± 1.38 μM <i>vs</i> non-stimulated 2.55 ± 0.32μM, P-value < 0.05) generation.</p><p><strong>Conclusion: </strong>Using PPP and P-PRP stimulation in post-implantation procedures may contribute to the polarisation of macrophages towards the M2-like pro-resolving phenotype, thereby accelerating wound healing. This would also prevent implant degradation due to an excessive inflammatory process.</p>","PeriodicalId":17617,"journal":{"name":"Journal of Veterinary Research","volume":"68 1","pages":"167-174"},"PeriodicalIF":1.5000,"publicationDate":"2024-03-23","publicationTypes":"Journal Article","fieldsOfStudy":null,"isOpenAccess":false,"openAccessPdf":"https://www.ncbi.nlm.nih.gov/pmc/articles/PMC10960256/pdf/","citationCount":"0","resultStr":null,"platform":"Semanticscholar","paperid":null,"PeriodicalName":"Journal of Veterinary Research","FirstCategoryId":"97","ListUrlMain":"https://doi.org/10.2478/jvetres-2024-0003","RegionNum":3,"RegionCategory":"农林科学","ArticlePicture":[],"TitleCN":null,"AbstractTextCN":null,"PMCID":null,"EPubDate":"2024/3/1 0:00:00","PubModel":"eCollection","JCR":"Q2","JCRName":"VETERINARY SCIENCES","Score":null,"Total":0}
引用次数: 0

Abstract

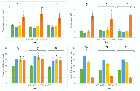
Introduction: Macrophages are crucial immune cells that play a role in tissue repair and can exhibit pro- or anti-inflammatory behaviour based on environmental stimulation. Their functional phenotype can be affected by platelet-derived products as determined by those products' composition. When the inflammatory response caused by implantation is excessive, it can lead to rejection of the implant. Therefore, a thorough evaluation of implant haemocompatibility is necessary to minimise undesirable consequences.

Material and methods: In an in vitro study, monocyte-derived macrophages (MDMs) were obtained from the whole blood of sheep after a silicon-doped diamond-like carbon-coated implant insertion. These MDMs were then exposed to autologous platelet-derived products for functional marker analysis.

Results: Platelet-poor plasma (PPP) and pure platelet-rich plasma (P-PRP) stimulation increased arginase-1 activity, while leukocyte-rich PRP stimulation produced a mixed response involving higher O2- (6.49 ± 2.43 nM vs non-stimulated 3.51 ± 1.23 nM, P-value < 0.05) and NO (3.28 ± 1.38 μM vs non-stimulated 2.55 ± 0.32μM, P-value < 0.05) generation.

Conclusion: Using PPP and P-PRP stimulation in post-implantation procedures may contribute to the polarisation of macrophages towards the M2-like pro-resolving phenotype, thereby accelerating wound healing. This would also prevent implant degradation due to an excessive inflammatory process.

Abstract Image

Abstract Image

Abstract Image

富血小板和贫血小板浓缩物刺激后单核细胞衍生巨噬细胞的活性。对掺硅类金刚石碳涂层胫骨植入物插入绵羊模型的研究。
引言巨噬细胞是重要的免疫细胞,在组织修复中发挥作用,并可根据环境刺激表现出促炎或抗炎行为。它们的功能表型会受到血小板衍生产物的影响,这取决于这些产物的成分。当植入物引起的炎症反应过度时,可能会导致植入物的排斥反应。因此,有必要对植入物的血液相容性进行全面评估,以尽量减少不良后果:在一项体外研究中,掺硅钻石样碳涂层植入体植入后,从绵羊的全血中获得了单核细胞衍生巨噬细胞(MDMs)。然后将这些 MDMs 暴露于自体血小板衍生产品,进行功能标记分析:结果:贫血小板血浆(PPP)和纯富血小板血浆(P-PRP)刺激增加了精氨酸酶-1的活性,而富含白细胞的PRP刺激产生了混合反应,包括更高的O2-(6.49 ± 2.43 nM vs 未刺激的3.51 ± 1.23 nM,P值< 0.05)和NO(3.28 ± 1.38 μM vs 未刺激的2.55 ± 0.32μM,P值< 0.05)生成:结论:在种植后手术中使用 PPP 和 P-PRP 刺激可促进巨噬细胞向 M2 类促溶表型极化,从而加速伤口愈合。结论:在种植术后使用 PPP 和 P-PRP 刺激可促进巨噬细胞向 M2 类促溶表型分化,从而加速伤口愈合,这还能防止种植体因过度炎症过程而退化。
本文章由计算机程序翻译,如有差异,请以英文原文为准。
求助全文
约1分钟内获得全文 求助全文
来源期刊
Journal of Veterinary Research
Journal of Veterinary Research Veterinary-General Veterinary
CiteScore
0.90
自引率
5.60%
发文量
58
审稿时长
18 weeks
期刊介绍: Journal of Veterinary Research (formerly Bulletin of the Veterinary Institute in Pulawy) is a quarterly that publishes original papers, review articles and short communications on bacteriology, virology, parasitology, immunology, molecular biology, pathology, toxicology, pharmacology, and biochemistry. The main emphasis is, however, on infectious diseases of animals, food safety and public health, and clinical sciences.
×
引用
GB/T 7714-2015
复制
MLA
复制
APA
复制
导出至
BibTeX EndNote RefMan NoteFirst NoteExpress
×
提示
您的信息不完整,为了账户安全,请先补充。
现在去补充
×
提示
您因"违规操作"
具体请查看互助需知
我知道了
×
提示
确定
请完成安全验证×
copy
已复制链接
快去分享给好友吧!
我知道了
右上角分享
点击右上角分享
0
联系我们:info@booksci.cn Book学术提供免费学术资源搜索服务,方便国内外学者检索中英文文献。致力于提供最便捷和优质的服务体验。 Copyright © 2023 布克学术 All rights reserved.
京ICP备2023020795号-1
ghs 京公网安备 11010802042870号
Book学术文献互助
Book学术文献互助群
群 号:604180095
Book学术官方微信