Social effects on behaviorally-scored and pedometer-detected estrus in beef cattle.

IF 2.2 4区 生物学 Q2 AGRICULTURE, DAIRY & ANIMAL SCIENCE
Journal of Reproduction and Development Pub Date : 2024-06-01 Epub Date: 2024-03-21 DOI:10.1262/jrd.2024-005
Hiromi Kusaka, Minoru Sakaguchi
{"title":"Social effects on behaviorally-scored and pedometer-detected estrus in beef cattle.","authors":"Hiromi Kusaka, Minoru Sakaguchi","doi":"10.1262/jrd.2024-005","DOIUrl":null,"url":null,"abstract":"<p><p>The number of cows in estrus often influences estrus behavior; however, the effects of social order are not well documented. This study examined the effects of social order on the expression of behaviorally-scored and pedometer-detected estrus, combined with the effects of the number of cows in estrus. In a herd comprising 13 or 15 beef cattle, cows with orders 1st-7th were defined as dominant and the remaining cows as subordinate. Sole or simultaneous estrus was induced by prostaglandin F<sub>2α</sub> analog injection and/or intravaginal progesterone treatment. Ovulation timing was determined using ultrasonography at 6-hour intervals. Estrous signs and steps of the cows were recorded 49 h before ovulation using video monitoring and a pedometer, respectively. Among the 59 treated cows, 56 behaviorally-scored estruses (27 sole and 29 simultaneous) were detected. In the sole estrus, 61.5% of the dominant-rank cows had no zero-point period; however, 35.7% of the subordinate-rank cows had that period. The dominant-rank cows in estrus alone had a significantly shorter duration of scored estrus than those in simultaneous estrus (P < 0.05). Among the 50 pedometer-detected estruses (24 sole and 26 simultaneous), the subordinate-rank cows in sole estrus had a shorter interval from estrus onset to ovulation than the dominant-rank cows in simultaneous estrus (P < 0.05). The effects of social order varied in response to the number of cows in estrus, which might have influenced determining the optimal time for artificial insemination.</p>","PeriodicalId":16942,"journal":{"name":"Journal of Reproduction and Development","volume":" ","pages":"177-183"},"PeriodicalIF":2.2000,"publicationDate":"2024-06-01","publicationTypes":"Journal Article","fieldsOfStudy":null,"isOpenAccess":false,"openAccessPdf":"https://www.ncbi.nlm.nih.gov/pmc/articles/PMC11153121/pdf/","citationCount":"0","resultStr":null,"platform":"Semanticscholar","paperid":null,"PeriodicalName":"Journal of Reproduction and Development","FirstCategoryId":"99","ListUrlMain":"https://doi.org/10.1262/jrd.2024-005","RegionNum":4,"RegionCategory":"生物学","ArticlePicture":[],"TitleCN":null,"AbstractTextCN":null,"PMCID":null,"EPubDate":"2024/3/21 0:00:00","PubModel":"Epub","JCR":"Q2","JCRName":"AGRICULTURE, DAIRY & ANIMAL SCIENCE","Score":null,"Total":0}
引用次数: 0

Abstract

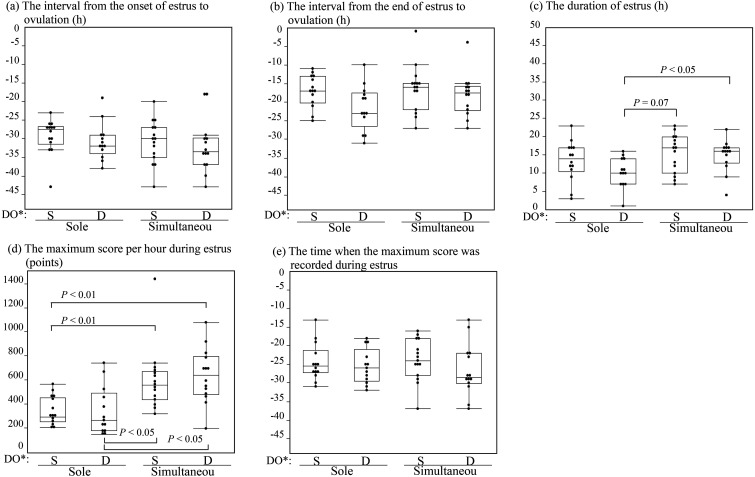
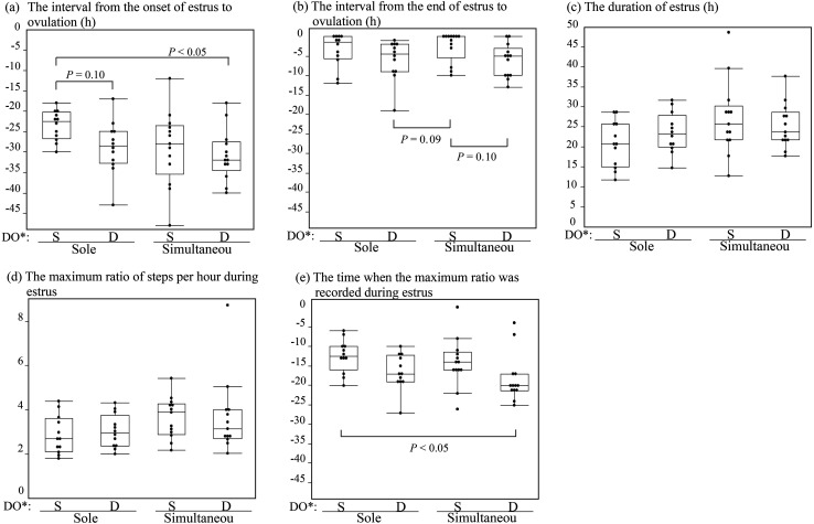
The number of cows in estrus often influences estrus behavior; however, the effects of social order are not well documented. This study examined the effects of social order on the expression of behaviorally-scored and pedometer-detected estrus, combined with the effects of the number of cows in estrus. In a herd comprising 13 or 15 beef cattle, cows with orders 1st-7th were defined as dominant and the remaining cows as subordinate. Sole or simultaneous estrus was induced by prostaglandin F analog injection and/or intravaginal progesterone treatment. Ovulation timing was determined using ultrasonography at 6-hour intervals. Estrous signs and steps of the cows were recorded 49 h before ovulation using video monitoring and a pedometer, respectively. Among the 59 treated cows, 56 behaviorally-scored estruses (27 sole and 29 simultaneous) were detected. In the sole estrus, 61.5% of the dominant-rank cows had no zero-point period; however, 35.7% of the subordinate-rank cows had that period. The dominant-rank cows in estrus alone had a significantly shorter duration of scored estrus than those in simultaneous estrus (P < 0.05). Among the 50 pedometer-detected estruses (24 sole and 26 simultaneous), the subordinate-rank cows in sole estrus had a shorter interval from estrus onset to ovulation than the dominant-rank cows in simultaneous estrus (P < 0.05). The effects of social order varied in response to the number of cows in estrus, which might have influenced determining the optimal time for artificial insemination.

Abstract Image

Abstract Image

社交对肉牛行为评分和计步器检测发情的影响。
发情母牛的数量通常会影响发情行为;然而,社会秩序的影响却没有很好的记录。本研究考察了社会等级对行为评分和计步器检测到的发情表现的影响,以及发情母牛数量的影响。在一个由 13 或 15 头肉牛组成的牛群中,排序第 1-7 位的牛被定义为优势牛,其余的牛被定义为劣势牛。通过前列腺素 F2α 类似物注射和/或阴道内黄体酮治疗诱导单独或同时发情。排卵时间用超声波测定,每隔6小时测定一次。在排卵前49小时,分别使用视频监控和计步器记录奶牛的发情迹象和步数。在 59 头接受治疗的奶牛中,检测到 56 次行为评分的发情(27 次单独发情和 29 次同时发情)。在单次发情中,61.5%的优势等级奶牛没有零点期;但35.7%的劣势等级奶牛有零点期。单独发情的优势等级奶牛的零点发情持续时间明显短于同期发情的奶牛(P < 0.05)。在计步器检测到的 50 次发情(24 次单独发情和 26 次同时发情)中,单独发情的从属等级奶牛从发情开始到排卵的时间间隔比同时发情的优势等级奶牛短(P < 0.05)。社会等级的影响随发情奶牛的数量而变化,这可能会影响人工授精最佳时间的确定。
本文章由计算机程序翻译,如有差异,请以英文原文为准。
求助全文
约1分钟内获得全文 求助全文
来源期刊
Journal of Reproduction and Development
Journal of Reproduction and Development 生物-奶制品与动物科学
CiteScore
3.70
自引率
11.10%
发文量
52
审稿时长
2 months
期刊介绍: Journal of Reproduction and Development (JRD) is the official journal of the Society for Reproduction and Development, published bimonthly, and welcomes original articles. JRD provides free full-text access of all the published articles on the web. The functions of the journal are managed by Editorial Board Members, such as the Editor-in-Chief, Co-Editor-inChief, Managing Editors and Editors. All manuscripts are peer-reviewed critically by two or more reviewers. Acceptance is based on scientific content and presentation of the materials. The Editors select reviewers and correspond with authors. Final decisions about acceptance or rejection of manuscripts are made by the Editor-in-Chief and Co-Editor-in-Chief.
×
引用
GB/T 7714-2015
复制
MLA
复制
APA
复制
导出至
BibTeX EndNote RefMan NoteFirst NoteExpress
×
提示
您的信息不完整,为了账户安全,请先补充。
现在去补充
×
提示
您因"违规操作"
具体请查看互助需知
我知道了
×
提示
确定
请完成安全验证×
copy
已复制链接
快去分享给好友吧!
我知道了
右上角分享
点击右上角分享
0
联系我们:info@booksci.cn Book学术提供免费学术资源搜索服务,方便国内外学者检索中英文文献。致力于提供最便捷和优质的服务体验。 Copyright © 2023 布克学术 All rights reserved.
京ICP备2023020795号-1
ghs 京公网安备 11010802042870号
Book学术文献互助
Book学术文献互助群
群 号:604180095
Book学术官方微信