Assessment of Neuropathy by Temperature Threshold Testing in Type 2 Diabetes Mellitus.

IF 0.8 Q3 MEDICINE, GENERAL & INTERNAL
Archana Gaur, Sakthivadivel Varatharajan, Roja Katta, Madhuri Taranikanti, Nitin Ashok John, Madhusudhan Umesh, Vidya Ganji, Kalpana Medala
{"title":"Assessment of Neuropathy by Temperature Threshold Testing in Type 2 Diabetes Mellitus.","authors":"Archana Gaur, Sakthivadivel Varatharajan, Roja Katta, Madhuri Taranikanti, Nitin Ashok John, Madhusudhan Umesh, Vidya Ganji, Kalpana Medala","doi":"10.4103/ijabmr.ijabmr_397_23","DOIUrl":null,"url":null,"abstract":"<p><strong>Introduction: </strong>Diagnosing diabetic neuropathy is a challenge at times as it is asymptomatic. Diagnosing diabetic neuropathy involves the use of quantitative sensory testing, nerve conduction study, and autonomic testing. Tempearture threshold testing (TTT) can aid in diagnosing small fiber neuropathy at early stages. This study aimed to assess the small fiber neuropathy using TTT in diabetes mellitus (DM) and correlate with age, duration of diabetes, and lipid profile.</p><p><strong>Materials and methods: </strong>The study was commenced after obtaining ethics approval from the institute ethics committee. The study participants included 100 patients with type 2 DM of both genders between the ages of 40 and 65 years. The glycemic status and lipid profile were noted along with physical examination. Neuropathy assessment was done using Michigan Neuropathy Screening Instrument (MNSI) and TTT.</p><p><strong>Results: </strong>The prevalence of small fiber neuropathy based on TTT was 63%. The lipid profile was similar in both the groups. The MNSI B scale had significantly higher scores in the neuropathy group. In the neuropathy group, the thresholds for hot were significantly greater in all four limbs and cold were significantly lower. Age and years of DM were positively correlated with the neuropathy. Hot threshold in the lower limb had shown a strong positive correlation.</p><p><strong>Conclusion: </strong>The age and duration of diabetes are independent risk factors for diabetic peripheral neuropathy. Small fiber neuropathy is a prequel to the motor neuropathy. Hot threshold testing in the lower limb is more sensitive than cold threshold testing for diagnosing small fiber neuropathy.</p>","PeriodicalId":13727,"journal":{"name":"International Journal of Applied and Basic Medical Research","volume":"14 1","pages":"54-59"},"PeriodicalIF":0.8000,"publicationDate":"2024-01-01","publicationTypes":"Journal Article","fieldsOfStudy":null,"isOpenAccess":false,"openAccessPdf":"https://www.ncbi.nlm.nih.gov/pmc/articles/PMC10947757/pdf/","citationCount":"0","resultStr":null,"platform":"Semanticscholar","paperid":null,"PeriodicalName":"International Journal of Applied and Basic Medical Research","FirstCategoryId":"1085","ListUrlMain":"https://doi.org/10.4103/ijabmr.ijabmr_397_23","RegionNum":0,"RegionCategory":null,"ArticlePicture":[],"TitleCN":null,"AbstractTextCN":null,"PMCID":null,"EPubDate":"2024/2/20 0:00:00","PubModel":"Epub","JCR":"Q3","JCRName":"MEDICINE, GENERAL & INTERNAL","Score":null,"Total":0}
引用次数: 0

Abstract

Introduction: Diagnosing diabetic neuropathy is a challenge at times as it is asymptomatic. Diagnosing diabetic neuropathy involves the use of quantitative sensory testing, nerve conduction study, and autonomic testing. Tempearture threshold testing (TTT) can aid in diagnosing small fiber neuropathy at early stages. This study aimed to assess the small fiber neuropathy using TTT in diabetes mellitus (DM) and correlate with age, duration of diabetes, and lipid profile.

Materials and methods: The study was commenced after obtaining ethics approval from the institute ethics committee. The study participants included 100 patients with type 2 DM of both genders between the ages of 40 and 65 years. The glycemic status and lipid profile were noted along with physical examination. Neuropathy assessment was done using Michigan Neuropathy Screening Instrument (MNSI) and TTT.

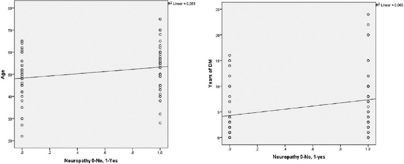
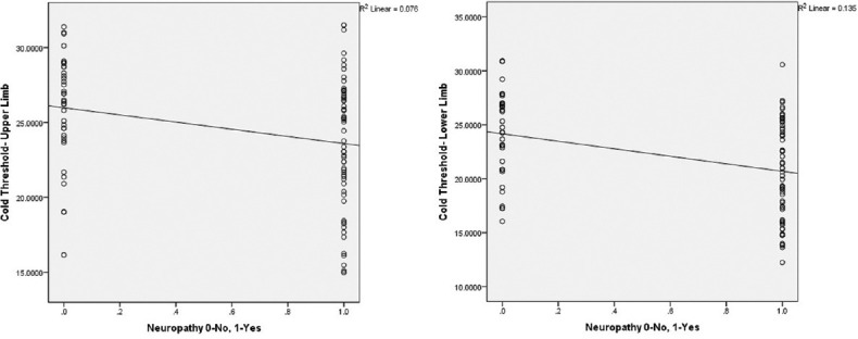
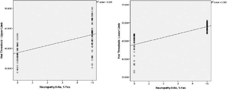
Results: The prevalence of small fiber neuropathy based on TTT was 63%. The lipid profile was similar in both the groups. The MNSI B scale had significantly higher scores in the neuropathy group. In the neuropathy group, the thresholds for hot were significantly greater in all four limbs and cold were significantly lower. Age and years of DM were positively correlated with the neuropathy. Hot threshold in the lower limb had shown a strong positive correlation.

Conclusion: The age and duration of diabetes are independent risk factors for diabetic peripheral neuropathy. Small fiber neuropathy is a prequel to the motor neuropathy. Hot threshold testing in the lower limb is more sensitive than cold threshold testing for diagnosing small fiber neuropathy.

Abstract Image

Abstract Image

Abstract Image

通过温度阈值测试评估 2 型糖尿病患者的神经病变。
简介诊断糖尿病神经病变有时是一项挑战,因为它没有任何症状。诊断糖尿病神经病变需要使用定量感觉测试、神经传导研究和自主神经测试。阈值测试(TTT)有助于早期诊断小纤维神经病变。本研究旨在使用 TTT 评估糖尿病(DM)患者的小纤维神经病变,并将其与年龄、糖尿病病程和血脂状况进行相关分析:研究在获得研究所伦理委员会的伦理批准后开始。研究参与者包括 100 名年龄在 40 岁至 65 岁之间的 2 型糖尿病患者,男女均有。研究人员在进行体格检查的同时,还了解了患者的血糖状况和血脂情况。使用密歇根神经病变筛查工具(MNSI)和TTT进行神经病变评估:结果:根据 TTT,小纤维神经病的发病率为 63%。两组患者的血脂情况相似。神经病变组的 MNSI B 级评分明显更高。神经病变组的四肢对热的阈值明显更高,对冷的阈值明显更低。年龄和 DM 年限与神经病变呈正相关。结论:年龄和糖尿病病程与神经病变无关:结论:年龄和糖尿病病程是糖尿病周围神经病变的独立危险因素。小纤维神经病变是运动神经病变的前奏。在诊断小纤维神经病变时,下肢热阈值测试比冷阈值测试更敏感。
本文章由计算机程序翻译,如有差异,请以英文原文为准。
求助全文
约1分钟内获得全文 求助全文
来源期刊
自引率
0.00%
发文量
46
×
引用
GB/T 7714-2015
复制
MLA
复制
APA
复制
导出至
BibTeX EndNote RefMan NoteFirst NoteExpress
×
提示
您的信息不完整,为了账户安全,请先补充。
现在去补充
×
提示
您因"违规操作"
具体请查看互助需知
我知道了
×
提示
确定
请完成安全验证×
copy
已复制链接
快去分享给好友吧!
我知道了
右上角分享
点击右上角分享
0
联系我们:info@booksci.cn Book学术提供免费学术资源搜索服务,方便国内外学者检索中英文文献。致力于提供最便捷和优质的服务体验。 Copyright © 2023 布克学术 All rights reserved.
京ICP备2023020795号-1
ghs 京公网安备 11010802042870号
Book学术文献互助
Book学术文献互助群
群 号:604180095
Book学术官方微信