Safety and efficacy of early corticosteroid withdrawal in liver transplant recipients: A randomized controlled trial.

IF 1.7 Q4 GASTROENTEROLOGY & HEPATOLOGY
Annals of hepato-biliary-pancreatic surgery Pub Date : 2024-05-31 Epub Date: 2024-03-15 DOI:10.14701/ahbps.23-129
Jongman Kim, Jae-Won Joh, Kwang-Woong Lee, Dong Lak Choi, Hee-Jung Wang
{"title":"Safety and efficacy of early corticosteroid withdrawal in liver transplant recipients: A randomized controlled trial.","authors":"Jongman Kim, Jae-Won Joh, Kwang-Woong Lee, Dong Lak Choi, Hee-Jung Wang","doi":"10.14701/ahbps.23-129","DOIUrl":null,"url":null,"abstract":"<p><strong>Backgrounds/aims: </strong>Prolonged use of steroids after liver transplantation (LT) significantly increases the risk of diabetes or cardiovascular disease, which can adversely affect patient outcomes. Our study evaluated the effectiveness and safety of early steroid withdrawal within the first year following LT.</p><p><strong>Methods: </strong>This study was conducted as an open-label, multicenter, randomized controlled trial. Liver transplant recipients were randomly assigned to one of the following two groups: Group 1, in which steroids were withdrawn two weeks posttransplantation, and Group 2, in which steroids were withdrawn three months posttransplantation. This study included participants aged 20 to 70 years who were scheduled to undergo a single-organ liver transplant from a living or deceased donor at one of the four participating centers.</p><p><strong>Results: </strong>Between November 2012 and August 2020, 115 patients were selected and randomized into two groups, with 60 in Group 1 and 55 in Group 2. The incidence of new-onset diabetes after transplantation (NODAT) was notably higher in Group 1 (32.4%) than in Group 2 (10.0%) in the per-protocol set. Although biopsy-proven acute rejection, graft failure, and mortality did not occur, the median tacrolimus trough level/dose/weight in Group 1 exceeded that in Group 2. No significant differences in safety parameters, such as infection and recurrence of hepatocellular carcinoma, were observed between the two groups.</p><p><strong>Conclusions: </strong>The present study did not find a significant reduction in the incidence of NODAT in the early steroid withdrawal group. Our study suggests that steroid withdrawal three months posttransplantation is a standard and safe immunosuppressive strategy for LT patients.</p>","PeriodicalId":72220,"journal":{"name":"Annals of hepato-biliary-pancreatic surgery","volume":" ","pages":"238-247"},"PeriodicalIF":1.7000,"publicationDate":"2024-05-31","publicationTypes":"Journal Article","fieldsOfStudy":null,"isOpenAccess":false,"openAccessPdf":"https://www.ncbi.nlm.nih.gov/pmc/articles/PMC11128783/pdf/","citationCount":"0","resultStr":null,"platform":"Semanticscholar","paperid":null,"PeriodicalName":"Annals of hepato-biliary-pancreatic surgery","FirstCategoryId":"1085","ListUrlMain":"https://doi.org/10.14701/ahbps.23-129","RegionNum":0,"RegionCategory":null,"ArticlePicture":[],"TitleCN":null,"AbstractTextCN":null,"PMCID":null,"EPubDate":"2024/3/15 0:00:00","PubModel":"Epub","JCR":"Q4","JCRName":"GASTROENTEROLOGY & HEPATOLOGY","Score":null,"Total":0}
引用次数: 0

Abstract

Backgrounds/aims: Prolonged use of steroids after liver transplantation (LT) significantly increases the risk of diabetes or cardiovascular disease, which can adversely affect patient outcomes. Our study evaluated the effectiveness and safety of early steroid withdrawal within the first year following LT.

Methods: This study was conducted as an open-label, multicenter, randomized controlled trial. Liver transplant recipients were randomly assigned to one of the following two groups: Group 1, in which steroids were withdrawn two weeks posttransplantation, and Group 2, in which steroids were withdrawn three months posttransplantation. This study included participants aged 20 to 70 years who were scheduled to undergo a single-organ liver transplant from a living or deceased donor at one of the four participating centers.

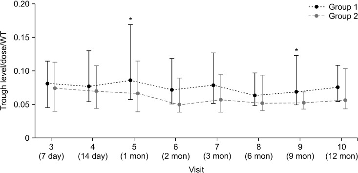
Results: Between November 2012 and August 2020, 115 patients were selected and randomized into two groups, with 60 in Group 1 and 55 in Group 2. The incidence of new-onset diabetes after transplantation (NODAT) was notably higher in Group 1 (32.4%) than in Group 2 (10.0%) in the per-protocol set. Although biopsy-proven acute rejection, graft failure, and mortality did not occur, the median tacrolimus trough level/dose/weight in Group 1 exceeded that in Group 2. No significant differences in safety parameters, such as infection and recurrence of hepatocellular carcinoma, were observed between the two groups.

Conclusions: The present study did not find a significant reduction in the incidence of NODAT in the early steroid withdrawal group. Our study suggests that steroid withdrawal three months posttransplantation is a standard and safe immunosuppressive strategy for LT patients.

Abstract Image

Abstract Image

Abstract Image

肝移植受者早期停用皮质类固醇的安全性和有效性:随机对照试验
背景/目的:肝移植(LT)后长期使用类固醇会显著增加糖尿病或心血管疾病的风险,从而对患者的预后产生不利影响。我们的研究评估了肝移植术后第一年内尽早停用类固醇的有效性和安全性:本研究是一项开放标签、多中心、随机对照试验。肝移植受者被随机分配到以下两组中的一组:第一组:移植后两周停用类固醇;第二组:移植后三个月停用类固醇。这项研究的参与者年龄在20至70岁之间,计划在四个参与中心之一接受活体或死体捐献者的单器官肝移植:在2012年11月至2020年8月期间,115名患者被选中并随机分为两组,第一组60人,第二组55人。在按协议组中,第一组移植后新发糖尿病(NODAT)的发生率(32.4%)明显高于第二组(10.0%)。虽然没有出现活检证实的急性排斥反应、移植失败和死亡,但第1组的他克莫司谷值/剂量/体重中位数超过了第2组。两组之间在感染和肝细胞癌复发等安全性参数上没有发现显著差异:本研究未发现早期停用类固醇组的 NODAT 发生率明显降低。我们的研究表明,移植后三个月停用类固醇是LT患者的一种标准、安全的免疫抑制策略。
本文章由计算机程序翻译,如有差异,请以英文原文为准。
求助全文
约1分钟内获得全文 求助全文
来源期刊
CiteScore
0.80
自引率
0.00%
发文量
0
×
引用
GB/T 7714-2015
复制
MLA
复制
APA
复制
导出至
BibTeX EndNote RefMan NoteFirst NoteExpress
×
提示
您的信息不完整,为了账户安全,请先补充。
现在去补充
×
提示
您因"违规操作"
具体请查看互助需知
我知道了
×
提示
确定
请完成安全验证×
copy
已复制链接
快去分享给好友吧!
我知道了
右上角分享
点击右上角分享
0
联系我们:info@booksci.cn Book学术提供免费学术资源搜索服务,方便国内外学者检索中英文文献。致力于提供最便捷和优质的服务体验。 Copyright © 2023 布克学术 All rights reserved.
京ICP备2023020795号-1
ghs 京公网安备 11010802042870号
Book学术文献互助
Book学术文献互助群
群 号:604180095
Book学术官方微信