Predicting Mortality Risks Using Body Mass Index and Weight Loss at Admission in Patients with Heart Failure.

IF 3.2 Q3 GERIATRICS & GERONTOLOGY
Annals of Geriatric Medicine and Research Pub Date : 2024-06-01 Epub Date: 2024-03-13 DOI:10.4235/agmr.23.0213
Yuria Ishida, Keisuke Maeda, Kenta Murotani, Akio Shimizu, Junko Ueshima, Ayano Nagano, Tatsuro Inoue, Naoharu Mori
{"title":"Predicting Mortality Risks Using Body Mass Index and Weight Loss at Admission in Patients with Heart Failure.","authors":"Yuria Ishida, Keisuke Maeda, Kenta Murotani, Akio Shimizu, Junko Ueshima, Ayano Nagano, Tatsuro Inoue, Naoharu Mori","doi":"10.4235/agmr.23.0213","DOIUrl":null,"url":null,"abstract":"<p><strong>Background: </strong>The association of the combination of body mass index (BMI) and weight change at admission with prognoses in patients with heart failure (HF) is unclear. Therefore, we investigated whether BMI and weight changes at admission affect mortality in patients with HF.</p><p><strong>Methods: </strong>This retrospective cohort study lasted 99 months, starting in April 2014, and included 4,862 patients with HF from a Japanese real-world database. Cubic and thin-plate smoothing spline analyses were performed to investigate the association of BMI and weight changes with mortality. The percentage weight change was calculated every 6 months. The study outcome was the presence or absence of death.</p><p><strong>Results: </strong>The patients' mean age was 81.5±9.6 years, and 1,239 (25.5%) patients died. Cubic spline analysis revealed a negative correlation of BMI with mortality hazard ratio (HR) (BMI of 18.5 kg/m2 and 25 kg/m2; HR=1.3 [1.2-1.4] and 0.8 [0.7-0.9], respectively). Cubic spline analysis of weight change showed that weight loss tended to increase the mortality HR (each 6% decrease in weight change rate was associated with a 1.1 times higher mortality risk (95% CI [1.0-1.2]) Thin-plate smoothing spline analysis showed that the odds ratio (OR) negatively correlated with BMI (1-year mortality: BMI of 18.5 kg/m2, 22 kg/m2, and 25 kg/m2; OR at 0% weight change=1.5, 1.0, and 0.7, respectively; 2-year mortality: BMI=18.5 kg/m2, 22 kg/m2, and 25 kg/m2; OR at 0% weight change=1.4, 0.9, and 0.7, respectively).</p><p><strong>Conclusion: </strong>A low BMI in patients with HF was associated with a higher risk of mortality. Weight loss in patients, regardless of BMI, was associated with a higher OR for mortality.</p>","PeriodicalId":44729,"journal":{"name":"Annals of Geriatric Medicine and Research","volume":" ","pages":"171-177"},"PeriodicalIF":3.2000,"publicationDate":"2024-06-01","publicationTypes":"Journal Article","fieldsOfStudy":null,"isOpenAccess":false,"openAccessPdf":"https://www.ncbi.nlm.nih.gov/pmc/articles/PMC11217663/pdf/","citationCount":"0","resultStr":null,"platform":"Semanticscholar","paperid":null,"PeriodicalName":"Annals of Geriatric Medicine and Research","FirstCategoryId":"1085","ListUrlMain":"https://doi.org/10.4235/agmr.23.0213","RegionNum":0,"RegionCategory":null,"ArticlePicture":[],"TitleCN":null,"AbstractTextCN":null,"PMCID":null,"EPubDate":"2024/3/13 0:00:00","PubModel":"Epub","JCR":"Q3","JCRName":"GERIATRICS & GERONTOLOGY","Score":null,"Total":0}
引用次数: 0

Abstract

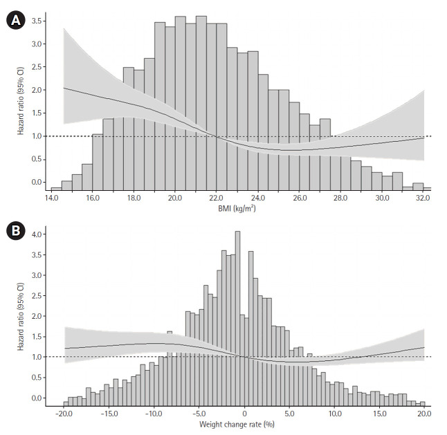
Background: The association of the combination of body mass index (BMI) and weight change at admission with prognoses in patients with heart failure (HF) is unclear. Therefore, we investigated whether BMI and weight changes at admission affect mortality in patients with HF.

Methods: This retrospective cohort study lasted 99 months, starting in April 2014, and included 4,862 patients with HF from a Japanese real-world database. Cubic and thin-plate smoothing spline analyses were performed to investigate the association of BMI and weight changes with mortality. The percentage weight change was calculated every 6 months. The study outcome was the presence or absence of death.

Results: The patients' mean age was 81.5±9.6 years, and 1,239 (25.5%) patients died. Cubic spline analysis revealed a negative correlation of BMI with mortality hazard ratio (HR) (BMI of 18.5 kg/m2 and 25 kg/m2; HR=1.3 [1.2-1.4] and 0.8 [0.7-0.9], respectively). Cubic spline analysis of weight change showed that weight loss tended to increase the mortality HR (each 6% decrease in weight change rate was associated with a 1.1 times higher mortality risk (95% CI [1.0-1.2]) Thin-plate smoothing spline analysis showed that the odds ratio (OR) negatively correlated with BMI (1-year mortality: BMI of 18.5 kg/m2, 22 kg/m2, and 25 kg/m2; OR at 0% weight change=1.5, 1.0, and 0.7, respectively; 2-year mortality: BMI=18.5 kg/m2, 22 kg/m2, and 25 kg/m2; OR at 0% weight change=1.4, 0.9, and 0.7, respectively).

Conclusion: A low BMI in patients with HF was associated with a higher risk of mortality. Weight loss in patients, regardless of BMI, was associated with a higher OR for mortality.

Abstract Image

Abstract Image

Abstract Image

利用入院时的体重指数和体重下降情况预测心力衰竭患者的死亡风险。
背景:入院时体重指数(BMI)和体重变化与心力衰竭(HF)患者预后的关系尚不明确。因此,我们研究了入院时体重指数(BMI)和体重变化是否会影响心衰患者的死亡率:这项回顾性队列研究从 2014 年 4 月开始,历时 99 个月,纳入了日本真实世界数据库中的 4862 名心房颤动患者。研究人员采用立方体和薄板平滑样条曲线分析法来研究体重指数和体重变化与死亡率的关系。体重变化百分比每 6 个月计算一次。研究结果为有无死亡:患者的平均年龄为 81.5±9.6 岁,1,239 名(25.5%)患者死亡。三次样条分析显示,体重指数与死亡率危险比(HR)呈负相关(BMI=18.5 kg/m2 和 25 kg/m2;HR 分别为 1.3 [1.2-1.4] 和 0.8 [0.7-0.9])。体重变化的三次样条曲线分析表明,体重减轻往往会增加死亡率HR(体重变化率=-6%,HR=1.1 [1.0-1.2])。薄板平滑样条曲线分析显示,几率比(OR)与体重指数呈负相关(1 年死亡率:BMI=18.5 kg/m2、22 kg/m2 和 25 kg/m2;体重变化为 0% 时的 OR 分别为 1.5、1.0 和 0.7;2 年死亡率:BMI=18.5 kg/m2、22 kg/m2 和 25 kg/m2;体重变化为 0% 时的 OR 分别为 1.5、1.0 和 0.7:BMI=18.5 kg/m2、22 kg/m2和25 kg/m2;体重变化为0%时的OR分别为1.4、0.9和0.7):结论:心房颤动患者的低体重指数与较高的死亡风险有关。结论:心房颤动患者的体重指数越低,其死亡风险越高。
本文章由计算机程序翻译,如有差异,请以英文原文为准。
求助全文
约1分钟内获得全文 求助全文
来源期刊
Annals of Geriatric Medicine and Research
Annals of Geriatric Medicine and Research GERIATRICS & GERONTOLOGY-
CiteScore
4.90
自引率
11.10%
发文量
35
审稿时长
4 weeks
×
引用
GB/T 7714-2015
复制
MLA
复制
APA
复制
导出至
BibTeX EndNote RefMan NoteFirst NoteExpress
×
提示
您的信息不完整,为了账户安全,请先补充。
现在去补充
×
提示
您因"违规操作"
具体请查看互助需知
我知道了
×
提示
确定
请完成安全验证×
copy
已复制链接
快去分享给好友吧!
我知道了
右上角分享
点击右上角分享
0
联系我们:info@booksci.cn Book学术提供免费学术资源搜索服务,方便国内外学者检索中英文文献。致力于提供最便捷和优质的服务体验。 Copyright © 2023 布克学术 All rights reserved.
京ICP备2023020795号-1
ghs 京公网安备 11010802042870号
Book学术文献互助
Book学术文献互助群
群 号:604180095
Book学术官方微信