The Chemical Modification to Improve Solubility of Chitosan and Its Derivatives Application, Preparation Method, Toxicity as a Nanoparticles.

IF 2.4 Q2 NANOSCIENCE & NANOTECHNOLOGY
Nanotechnology, Science and Applications Pub Date : 2024-03-07 eCollection Date: 2024-01-01 DOI:10.2147/NSA.S450026
Suryani Suryani, Anis Yohana Chaerunisaa, I Made Joni, Ruslin Ruslin, Vica Aspadiah, Anton Anton, Ari Sartinah, La Ode Ahmad Nur Ramadhan
{"title":"The Chemical Modification to Improve Solubility of Chitosan and Its Derivatives Application, Preparation Method, Toxicity as a Nanoparticles.","authors":"Suryani Suryani, Anis Yohana Chaerunisaa, I Made Joni, Ruslin Ruslin, Vica Aspadiah, Anton Anton, Ari Sartinah, La Ode Ahmad Nur Ramadhan","doi":"10.2147/NSA.S450026","DOIUrl":null,"url":null,"abstract":"<p><p>Chitosan is a functional polymer in the pharmaceutical field, including for nanoparticle drug delivery systems. Chitosan-based nanoparticles are a promising carrier for a wide range of therapeutic agents and can be administered in various routes. Solubility is the main problem for its production and utilization in large-scale industries. Chitosan modifications have been employed to enhance its solubility, including chemical modification. Many reviews have reported the chemical modification but have not focused on the specific characteristics obtained. This review focused on the modification to improve chitosan solubility. Additionally, this review also focused on the application of chitosan derivatives in nanoparticle drug delivery systems since very few similar reviews have been reported. The specific method for chitosan derivative-based nanoparticles was also reported and the latest report of chitosan, chitosan derivative, and chitosan toxicity were also described.</p>","PeriodicalId":18881,"journal":{"name":"Nanotechnology, Science and Applications","volume":"17 ","pages":"41-57"},"PeriodicalIF":2.4000,"publicationDate":"2024-03-07","publicationTypes":"Journal Article","fieldsOfStudy":null,"isOpenAccess":false,"openAccessPdf":"https://www.ncbi.nlm.nih.gov/pmc/articles/PMC10926861/pdf/","citationCount":"0","resultStr":null,"platform":"Semanticscholar","paperid":null,"PeriodicalName":"Nanotechnology, Science and Applications","FirstCategoryId":"1085","ListUrlMain":"https://doi.org/10.2147/NSA.S450026","RegionNum":0,"RegionCategory":null,"ArticlePicture":[],"TitleCN":null,"AbstractTextCN":null,"PMCID":null,"EPubDate":"2024/1/1 0:00:00","PubModel":"eCollection","JCR":"Q2","JCRName":"NANOSCIENCE & NANOTECHNOLOGY","Score":null,"Total":0}
引用次数: 0

Abstract

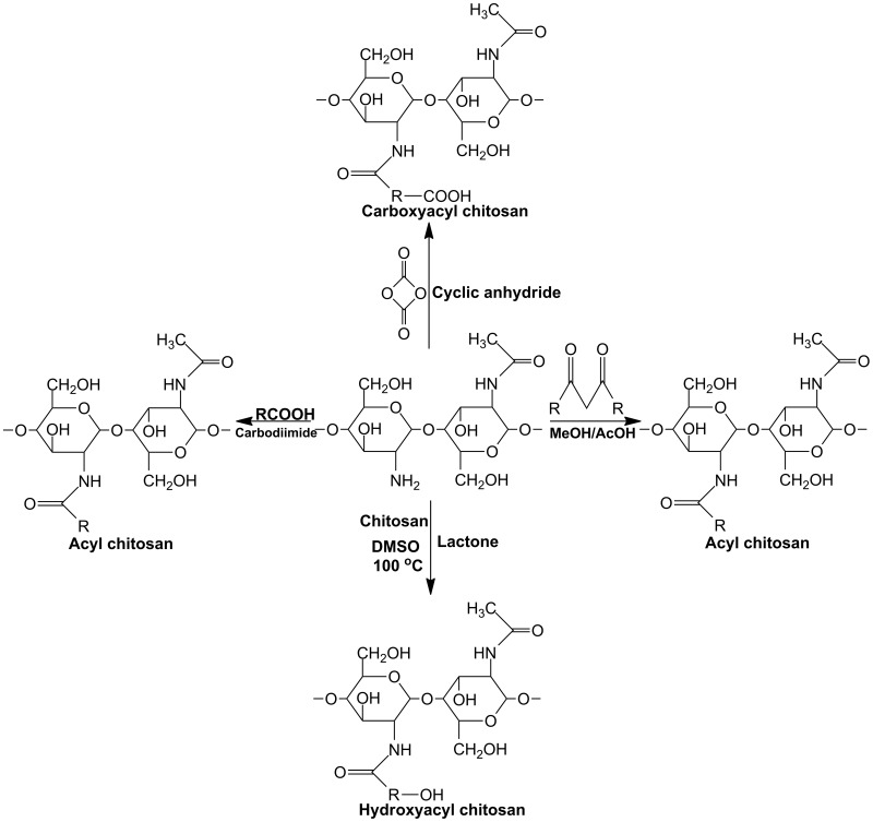
Chitosan is a functional polymer in the pharmaceutical field, including for nanoparticle drug delivery systems. Chitosan-based nanoparticles are a promising carrier for a wide range of therapeutic agents and can be administered in various routes. Solubility is the main problem for its production and utilization in large-scale industries. Chitosan modifications have been employed to enhance its solubility, including chemical modification. Many reviews have reported the chemical modification but have not focused on the specific characteristics obtained. This review focused on the modification to improve chitosan solubility. Additionally, this review also focused on the application of chitosan derivatives in nanoparticle drug delivery systems since very few similar reviews have been reported. The specific method for chitosan derivative-based nanoparticles was also reported and the latest report of chitosan, chitosan derivative, and chitosan toxicity were also described.

Abstract Image

Abstract Image

Abstract Image

提高壳聚糖及其衍生物溶解度的化学修饰 作为纳米粒子的应用、制备方法和毒性。
壳聚糖是制药领域的一种功能性聚合物,可用于纳米颗粒给药系统。以壳聚糖为基础的纳米粒子是一种前景广阔的载体,可用于多种治疗药物的给药途径。溶解性是其大规模生产和使用的主要问题。为了提高壳聚糖的可溶性,人们对其进行了化学改性等改良。许多综述都报道了化学改性的情况,但并未关注所获得的具体特性。这篇综述主要介绍了提高壳聚糖溶解度的改性方法。此外,本综述还关注壳聚糖衍生物在纳米颗粒给药系统中的应用,因为很少有类似的综述报道。此外,还介绍了基于壳聚糖衍生物的纳米粒子的具体制备方法,以及壳聚糖、壳聚糖衍生物和壳聚糖毒性的最新报道。
本文章由计算机程序翻译,如有差异,请以英文原文为准。
求助全文
约1分钟内获得全文 求助全文
来源期刊
Nanotechnology, Science and Applications
Nanotechnology, Science and Applications NANOSCIENCE & NANOTECHNOLOGY-
CiteScore
11.70
自引率
0.00%
发文量
3
审稿时长
16 weeks
期刊介绍: Nanotechnology, Science and Applications is an international, peer-reviewed, Open Access journal that focuses on the science of nanotechnology in a wide range of industrial and academic applications. The journal is characterized by the rapid reporting of reviews, original research, and application studies across all sectors, including engineering, optics, bio-medicine, cosmetics, textiles, resource sustainability and science. Applied research into nano-materials, particles, nano-structures and fabrication, diagnostics and analytics, drug delivery and toxicology constitute the primary direction of the journal.
×
引用
GB/T 7714-2015
复制
MLA
复制
APA
复制
导出至
BibTeX EndNote RefMan NoteFirst NoteExpress
×
提示
您的信息不完整,为了账户安全,请先补充。
现在去补充
×
提示
您因"违规操作"
具体请查看互助需知
我知道了
×
提示
确定
请完成安全验证×
copy
已复制链接
快去分享给好友吧!
我知道了
右上角分享
点击右上角分享
0
联系我们:info@booksci.cn Book学术提供免费学术资源搜索服务,方便国内外学者检索中英文文献。致力于提供最便捷和优质的服务体验。 Copyright © 2023 布克学术 All rights reserved.
京ICP备2023020795号-1
ghs 京公网安备 11010802042870号
Book学术文献互助
Book学术文献互助群
群 号:604180095
Book学术官方微信