TLRs1-10 Protein Expression in Circulating Human White Blood Cells during Bacterial and COVID-19 Infections.

IF 3 3区 医学 Q2 IMMUNOLOGY
Journal of Innate Immunity Pub Date : 2024-01-01 Epub Date: 2024-03-08 DOI:10.1159/000536593
Louise Chomel, Mathieu Vogt, Julien Demiselle, Pierrick Le Borgne, Marine Tschirhart, Valentin Morandeau, Hamid Merdji, Laurent Miguet, Julie Helms, Ferhat Meziani, Laurent Mauvieux
{"title":"TLRs1-10 Protein Expression in Circulating Human White Blood Cells during Bacterial and COVID-19 Infections.","authors":"Louise Chomel, Mathieu Vogt, Julien Demiselle, Pierrick Le Borgne, Marine Tschirhart, Valentin Morandeau, Hamid Merdji, Laurent Miguet, Julie Helms, Ferhat Meziani, Laurent Mauvieux","doi":"10.1159/000536593","DOIUrl":null,"url":null,"abstract":"<p><strong>Introduction: </strong>Toll-like receptors play crucial roles in the sepsis-induced systemic inflammatory response. Septic shock mortality correlates with overexpression of neutrophilic TLR2 and TLR9, while the role of TLR4 overexpression remains a debate. In addition, TLRs are involved in the pathogenesis of viral infections such as COVID-19, where the single-stranded RNA of SARS-CoV-2 is recognized by TLR7 and TLR8, and the spike protein activates TLR4.</p><p><strong>Methods: </strong>In this study, we conducted a comprehensive analysis of TLRs 1-10 expressions in white blood cells from 71 patients with bacterial and viral infections. Patients were divided into 4 groups based on disease type and severity (sepsis, septic shock, moderate, and severe COVID-19) and compared to 7 healthy volunteers.</p><p><strong>Results: </strong>We observed a significant reduction in the expression of TLR4 and its co-receptor CD14 in septic shock neutrophils compared to the control group (p &lt; 0.001). Severe COVID-19 patients exhibited a significant increase in TLR3 and TLR7 levels in neutrophils compared to controls (p &lt; 0.05). Septic shock patients also showed a similar increase in TLR7 in neutrophils along with elevated intermediate monocytes (CD14+CD16+) compared to the control group (p &lt; 0.005 and p &lt; 0.001, respectively). However, TLR expression remained unchanged in lymphocytes.</p><p><strong>Conclusion: </strong>This study provides further insights into the mechanisms of TLR activation in various infectious conditions. Additional analysis is needed to assess their correlation with patient outcome and to evaluate the impact of TLR-pathway modulation during septic shock and severe COVID-19.</p>","PeriodicalId":16113,"journal":{"name":"Journal of Innate Immunity","volume":" ","pages":"216-225"},"PeriodicalIF":3.0000,"publicationDate":"2024-01-01","publicationTypes":"Journal Article","fieldsOfStudy":null,"isOpenAccess":false,"openAccessPdf":"https://www.ncbi.nlm.nih.gov/pmc/articles/PMC11001289/pdf/","citationCount":"0","resultStr":null,"platform":"Semanticscholar","paperid":null,"PeriodicalName":"Journal of Innate Immunity","FirstCategoryId":"3","ListUrlMain":"https://doi.org/10.1159/000536593","RegionNum":3,"RegionCategory":"医学","ArticlePicture":[],"TitleCN":null,"AbstractTextCN":null,"PMCID":null,"EPubDate":"2024/3/8 0:00:00","PubModel":"Epub","JCR":"Q2","JCRName":"IMMUNOLOGY","Score":null,"Total":0}
引用次数: 0

Abstract

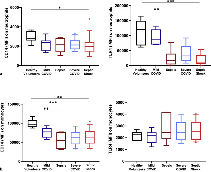
Introduction: Toll-like receptors play crucial roles in the sepsis-induced systemic inflammatory response. Septic shock mortality correlates with overexpression of neutrophilic TLR2 and TLR9, while the role of TLR4 overexpression remains a debate. In addition, TLRs are involved in the pathogenesis of viral infections such as COVID-19, where the single-stranded RNA of SARS-CoV-2 is recognized by TLR7 and TLR8, and the spike protein activates TLR4.

Methods: In this study, we conducted a comprehensive analysis of TLRs 1-10 expressions in white blood cells from 71 patients with bacterial and viral infections. Patients were divided into 4 groups based on disease type and severity (sepsis, septic shock, moderate, and severe COVID-19) and compared to 7 healthy volunteers.

Results: We observed a significant reduction in the expression of TLR4 and its co-receptor CD14 in septic shock neutrophils compared to the control group (p < 0.001). Severe COVID-19 patients exhibited a significant increase in TLR3 and TLR7 levels in neutrophils compared to controls (p < 0.05). Septic shock patients also showed a similar increase in TLR7 in neutrophils along with elevated intermediate monocytes (CD14+CD16+) compared to the control group (p < 0.005 and p < 0.001, respectively). However, TLR expression remained unchanged in lymphocytes.

Conclusion: This study provides further insights into the mechanisms of TLR activation in various infectious conditions. Additional analysis is needed to assess their correlation with patient outcome and to evaluate the impact of TLR-pathway modulation during septic shock and severe COVID-19.

Abstract Image

Abstract Image

Abstract Image

细菌和 COVID-19 感染期间循环人白细胞中的 TLRs1-10 蛋白表达。
导言Toll 样受体在脓毒症诱发的全身炎症反应中起着至关重要的作用。脓毒性休克的死亡率与中性粒细胞 TLR2 和 TLR9 的过度表达有关,而 TLR4 过度表达的作用仍存在争议。此外,TLRs 还参与了 COVID-19 等病毒感染的发病机制,SARS-CoV-2 的单链 RNA 可被 TLR7 和 TLR8 识别,而尖峰蛋白可激活 TLR4:在这项研究中,我们对 71 名细菌和病毒感染患者的白细胞中 TLRs 1-10 的表达进行了全面分析。根据疾病类型和严重程度(败血症、脓毒性休克、中度和重度 COVID-19)将患者分为 4 组,并与 7 名健康志愿者进行比较:结果:我们观察到,与对照组相比,脓毒性休克中性粒细胞中 TLR4 及其共受体 CD14 的表达明显减少(p 结论:该研究进一步揭示了脓毒性休克中性粒细胞中 TLR4 及其共受体 CD14 的表达:这项研究进一步揭示了各种感染性疾病中 TLR 的激活机制。还需要进行更多的分析,以评估它们与患者预后的相关性,并评估在脓毒性休克和严重 COVID-19 期间 TLR 通路调节的影响。
本文章由计算机程序翻译,如有差异,请以英文原文为准。
求助全文
约1分钟内获得全文 求助全文
来源期刊
Journal of Innate Immunity
Journal of Innate Immunity 医学-免疫学
CiteScore
10.50
自引率
1.90%
发文量
35
审稿时长
7.5 months
期刊介绍: The ''Journal of Innate Immunity'' is a bimonthly journal covering all aspects within the area of innate immunity, including evolution of the immune system, molecular biology of cells involved in innate immunity, pattern recognition and signals of ‘danger’, microbial corruption, host response and inflammation, mucosal immunity, complement and coagulation, sepsis and septic shock, molecular genomics, and development of immunotherapies. The journal publishes original research articles, short communications, reviews, commentaries and letters to the editors. In addition to regular papers, some issues feature a special section with a thematic focus.
×
引用
GB/T 7714-2015
复制
MLA
复制
APA
复制
导出至
BibTeX EndNote RefMan NoteFirst NoteExpress
×
提示
您的信息不完整,为了账户安全,请先补充。
现在去补充
×
提示
您因"违规操作"
具体请查看互助需知
我知道了
×
提示
确定
请完成安全验证×
copy
已复制链接
快去分享给好友吧!
我知道了
右上角分享
点击右上角分享
0
联系我们:info@booksci.cn Book学术提供免费学术资源搜索服务,方便国内外学者检索中英文文献。致力于提供最便捷和优质的服务体验。 Copyright © 2023 布克学术 All rights reserved.
京ICP备2023020795号-1
ghs 京公网安备 11010802042870号
Book学术文献互助
Book学术文献互助群
群 号:604180095
Book学术官方微信