Analysis of a model for pediatric physical therapy and clinical education via telehealth.

IF 1 Q4 PEDIATRICS
Courtney McKenzie, Melanie Titzer, Alyssa Hutchinson, Camaran Dodge, Andrea Fergus
{"title":"Analysis of a model for pediatric physical therapy and clinical education via telehealth.","authors":"Courtney McKenzie, Melanie Titzer, Alyssa Hutchinson, Camaran Dodge, Andrea Fergus","doi":"10.3233/PRM-220112","DOIUrl":null,"url":null,"abstract":"<p><p>A novel entry-level collaborative clinical learning experience (CLE) in pediatric physical therapy (PT) delivered via telehealth was implemented involving 12 families, 54 DPT students, and 12 clinical instructors (CIs). Children of various ages, a wide range of home environments, and diagnoses received individualized PT via telehealth during a four-week CLE. Retrospective quantitative and qualitative analyses of student documentation, video recordings of sessions, and CI, student, and caregiver survey responses were performed. All children demonstrated qualitative improvements and 73% demonstrated quantitative improvements. CIs, students, and caregivers believed the children benefited from the experience and 98% believed the children were able to work toward their goals. Most students (95%) and CIs (100%) felt that it was a valuable and effective learning experience. Most (>71%) CIs and students believed students were able to learn in all relevant domains of the clinical performance instrument. This model provides a unique CLE for students in both pediatric PT and telehealth.</p>","PeriodicalId":16692,"journal":{"name":"Journal of pediatric rehabilitation medicine","volume":" ","pages":"271-288"},"PeriodicalIF":1.0000,"publicationDate":"2024-01-01","publicationTypes":"Journal Article","fieldsOfStudy":null,"isOpenAccess":false,"openAccessPdf":"https://www.ncbi.nlm.nih.gov/pmc/articles/PMC11307064/pdf/","citationCount":"0","resultStr":null,"platform":"Semanticscholar","paperid":null,"PeriodicalName":"Journal of pediatric rehabilitation medicine","FirstCategoryId":"1085","ListUrlMain":"https://doi.org/10.3233/PRM-220112","RegionNum":0,"RegionCategory":null,"ArticlePicture":[],"TitleCN":null,"AbstractTextCN":null,"PMCID":null,"EPubDate":"","PubModel":"","JCR":"Q4","JCRName":"PEDIATRICS","Score":null,"Total":0}
引用次数: 0

Abstract

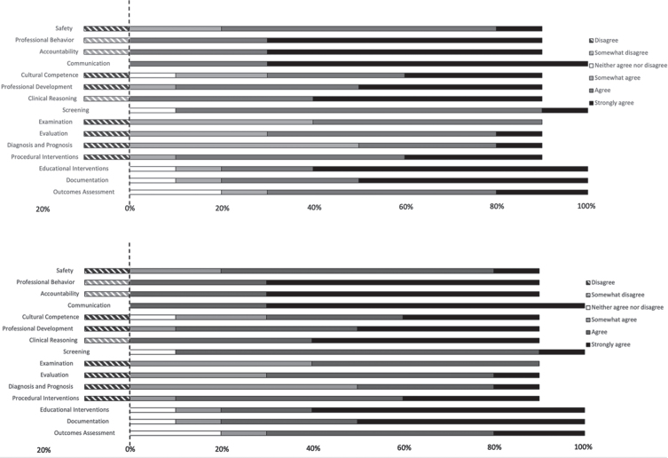
A novel entry-level collaborative clinical learning experience (CLE) in pediatric physical therapy (PT) delivered via telehealth was implemented involving 12 families, 54 DPT students, and 12 clinical instructors (CIs). Children of various ages, a wide range of home environments, and diagnoses received individualized PT via telehealth during a four-week CLE. Retrospective quantitative and qualitative analyses of student documentation, video recordings of sessions, and CI, student, and caregiver survey responses were performed. All children demonstrated qualitative improvements and 73% demonstrated quantitative improvements. CIs, students, and caregivers believed the children benefited from the experience and 98% believed the children were able to work toward their goals. Most students (95%) and CIs (100%) felt that it was a valuable and effective learning experience. Most (>71%) CIs and students believed students were able to learn in all relevant domains of the clinical performance instrument. This model provides a unique CLE for students in both pediatric PT and telehealth.

Abstract Image

Abstract Image

通过远程医疗进行儿科物理治疗和临床教育的模式分析。
在儿科物理治疗(PT)领域,通过远程医疗提供了一种新颖的入门级合作临床学习体验(CLE),共有 12 个家庭、54 名 DPT 学生和 12 名临床导师(CI)参与其中。在为期四周的 CLE 中,不同年龄、不同家庭环境和不同诊断的儿童通过远程医疗接受了个性化的物理治疗。我们对学生文档、课程录像以及 CI、学生和护理人员的调查反馈进行了回顾性定量和定性分析。所有儿童在质量上都有所改善,73%的儿童在数量上有所改善。辅导员、学生和保育员都认为孩子们受益匪浅,98%的人认为孩子们能够朝着自己的目标努力。大多数学生(95%)和保育员(100%)认为这是一次宝贵而有效的学习经历。大多数(>71%)CI 和学生认为学生能够在临床表现工具的所有相关领域学到东西。这种模式为儿科 PT 和远程保健专业的学生提供了独特的 CLE。
本文章由计算机程序翻译,如有差异,请以英文原文为准。
求助全文
约1分钟内获得全文 求助全文
来源期刊
CiteScore
2.30
自引率
5.30%
发文量
139
×
引用
GB/T 7714-2015
复制
MLA
复制
APA
复制
导出至
BibTeX EndNote RefMan NoteFirst NoteExpress
×
提示
您的信息不完整,为了账户安全,请先补充。
现在去补充
×
提示
您因"违规操作"
具体请查看互助需知
我知道了
×
提示
确定
请完成安全验证×
copy
已复制链接
快去分享给好友吧!
我知道了
右上角分享
点击右上角分享
0
联系我们:info@booksci.cn Book学术提供免费学术资源搜索服务,方便国内外学者检索中英文文献。致力于提供最便捷和优质的服务体验。 Copyright © 2023 布克学术 All rights reserved.
京ICP备2023020795号-1
ghs 京公网安备 11010802042870号
Book学术文献互助
Book学术文献互助群
群 号:604180095
Book学术官方微信