Prognostic factors of oral squamous cell carcinoma: the importance of recurrence and pTNM stage.

IF 2.8 Q2 DENTISTRY, ORAL SURGERY & MEDICINE
Min Jae Kim, Kang-Min Ahn
{"title":"Prognostic factors of oral squamous cell carcinoma: the importance of recurrence and pTNM stage.","authors":"Min Jae Kim, Kang-Min Ahn","doi":"10.1186/s40902-024-00410-3","DOIUrl":null,"url":null,"abstract":"<p><strong>Background: </strong>Oral squamous cell carcinoma has a poor prognosis. Therefore, prognostic factors are important to increase the survival rate. This study assessed the survival rate and the prognostic factors for survival of patients with oral squamous cell carcinoma.</p><p><strong>Method: </strong>This study included 168 patients who underwent surgery for oral squamous cell carcinoma between January 2006 and December 2021. The survival rate was analyzed with overall survival and disease-specific survival. The patient's age, sex, pTNM stage, primary sites (lip, tongue, mouth of floor, mandibular gingiva, maxillary gingiva, mandibular vestibule, maxillary vestibule, retromolar trigone, palate, buccal mucosa, primary intra-osseous site), smoking and alcohol drinking habits, depth of invasion, perineural and lymphovascular invasion, cell differentiation, and postoperative radiotherapy were evaluated to analyze risk factors. Kaplan-Meier methods were used to estimate the survival rates. Cox regression methods were used to investigate the main independent predictors of survival in univariable and multivariable analysis.</p><p><strong>Results: </strong>Sixty-eight patients died of oral squamous cell carcinoma during follow-up periods. Their overall survival for 5 years was 51.2%, and the disease-specific survival was 59.2%. In univariable analysis, seven factors which are neck metastasis, depth of invasion, cell differentiation, lymphovascular invasion, postoperative radiotherapy, pTNM stage, and recurrence were significantly associated with survival. In multivariable analysis, pTNM stage and recurrence were significantly associated with survival.</p><p><strong>Conclusion: </strong>In patients with oral squamous cell carcinoma, pTNM stage and recurrence were significant prognostic factors. Neck metastasis, depth of invasion, cell differentiation, lymphovascular invasion, and postoperative radiotherapy were also prognostic factors. These factors serve as markers for obtaining prognosis information in oral squamous cell carcinoma.</p>","PeriodicalId":18357,"journal":{"name":"Maxillofacial Plastic and Reconstructive Surgery","volume":"46 1","pages":"8"},"PeriodicalIF":2.8000,"publicationDate":"2024-03-04","publicationTypes":"Journal Article","fieldsOfStudy":null,"isOpenAccess":false,"openAccessPdf":"https://www.ncbi.nlm.nih.gov/pmc/articles/PMC10909804/pdf/","citationCount":"0","resultStr":null,"platform":"Semanticscholar","paperid":null,"PeriodicalName":"Maxillofacial Plastic and Reconstructive Surgery","FirstCategoryId":"1085","ListUrlMain":"https://doi.org/10.1186/s40902-024-00410-3","RegionNum":0,"RegionCategory":null,"ArticlePicture":[],"TitleCN":null,"AbstractTextCN":null,"PMCID":null,"EPubDate":"","PubModel":"","JCR":"Q2","JCRName":"DENTISTRY, ORAL SURGERY & MEDICINE","Score":null,"Total":0}
引用次数: 0

Abstract

Background: Oral squamous cell carcinoma has a poor prognosis. Therefore, prognostic factors are important to increase the survival rate. This study assessed the survival rate and the prognostic factors for survival of patients with oral squamous cell carcinoma.

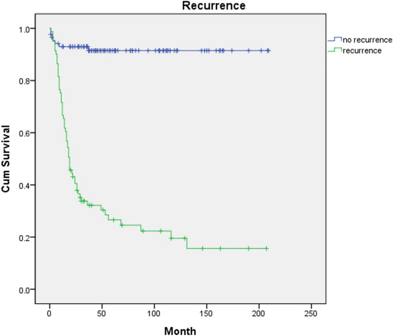
Method: This study included 168 patients who underwent surgery for oral squamous cell carcinoma between January 2006 and December 2021. The survival rate was analyzed with overall survival and disease-specific survival. The patient's age, sex, pTNM stage, primary sites (lip, tongue, mouth of floor, mandibular gingiva, maxillary gingiva, mandibular vestibule, maxillary vestibule, retromolar trigone, palate, buccal mucosa, primary intra-osseous site), smoking and alcohol drinking habits, depth of invasion, perineural and lymphovascular invasion, cell differentiation, and postoperative radiotherapy were evaluated to analyze risk factors. Kaplan-Meier methods were used to estimate the survival rates. Cox regression methods were used to investigate the main independent predictors of survival in univariable and multivariable analysis.

Results: Sixty-eight patients died of oral squamous cell carcinoma during follow-up periods. Their overall survival for 5 years was 51.2%, and the disease-specific survival was 59.2%. In univariable analysis, seven factors which are neck metastasis, depth of invasion, cell differentiation, lymphovascular invasion, postoperative radiotherapy, pTNM stage, and recurrence were significantly associated with survival. In multivariable analysis, pTNM stage and recurrence were significantly associated with survival.

Conclusion: In patients with oral squamous cell carcinoma, pTNM stage and recurrence were significant prognostic factors. Neck metastasis, depth of invasion, cell differentiation, lymphovascular invasion, and postoperative radiotherapy were also prognostic factors. These factors serve as markers for obtaining prognosis information in oral squamous cell carcinoma.

Abstract Image

Abstract Image

Abstract Image

口腔鳞状细胞癌的预后因素:复发和 pTNM 分期的重要性。
背景介绍口腔鳞状细胞癌预后较差。因此,预后因素对提高生存率非常重要。本研究评估了口腔鳞状细胞癌患者的生存率和预后因素:本研究纳入了 2006 年 1 月至 2021 年 12 月期间接受口腔鳞状细胞癌手术的 168 例患者。生存率分析包括总生存率和疾病特异性生存率。对患者的年龄、性别、pTNM分期、原发部位(唇、舌、口底、下颌龈、上颌龈、下颌前庭、上颌前庭、三叉神经后突、腭、颊粘膜、原发骨内部位)、吸烟和饮酒习惯、侵犯深度、神经周围和淋巴管侵犯、细胞分化和术后放疗进行了评估,以分析风险因素。采用 Kaplan-Meier 方法估算生存率。在单变量和多变量分析中,采用Cox回归法研究生存率的主要独立预测因素:结果:68名患者在随访期间死于口腔鳞状细胞癌。结果:68名患者在随访期间死亡,5年总生存率为51.2%,疾病特异性生存率为59.2%。在单变量分析中,颈部转移、侵犯深度、细胞分化、淋巴管侵犯、术后放疗、pTNM分期和复发这7个因素与生存率显著相关。在多变量分析中,pTNM分期和复发与生存率显著相关:结论:在口腔鳞状细胞癌患者中,pTNM分期和复发是重要的预后因素。颈部转移、侵犯深度、细胞分化、淋巴管侵犯和术后放疗也是预后因素。这些因素可作为获取口腔鳞状细胞癌预后信息的标记。
本文章由计算机程序翻译,如有差异,请以英文原文为准。
求助全文
约1分钟内获得全文 求助全文
来源期刊
Maxillofacial Plastic and Reconstructive Surgery
Maxillofacial Plastic and Reconstructive Surgery DENTISTRY, ORAL SURGERY & MEDICINE-
CiteScore
4.30
自引率
13.00%
发文量
37
审稿时长
13 weeks
×
引用
GB/T 7714-2015
复制
MLA
复制
APA
复制
导出至
BibTeX EndNote RefMan NoteFirst NoteExpress
×
提示
您的信息不完整,为了账户安全,请先补充。
现在去补充
×
提示
您因"违规操作"
具体请查看互助需知
我知道了
×
提示
确定
请完成安全验证×
copy
已复制链接
快去分享给好友吧!
我知道了
右上角分享
点击右上角分享
0
联系我们:info@booksci.cn Book学术提供免费学术资源搜索服务,方便国内外学者检索中英文文献。致力于提供最便捷和优质的服务体验。 Copyright © 2023 布克学术 All rights reserved.
京ICP备2023020795号-1
ghs 京公网安备 11010802042870号
Book学术文献互助
Book学术文献互助群
群 号:604180095
Book学术官方微信