Association Between Two Methods of Spinal and Pelvic Analysis Among Children With Cerebral Palsy.

IF 1.6 4区 医学 Q4 NEUROSCIENCES
Mostafa S Ali, Mahmoud Usama
{"title":"Association Between Two Methods of Spinal and Pelvic Analysis Among Children With Cerebral Palsy.","authors":"Mostafa S Ali, Mahmoud Usama","doi":"","DOIUrl":null,"url":null,"abstract":"<p><strong>Objectives: </strong>Children with cerebral palsy have weak muscles, which may impair postural adjustments. These postural adjustments are required for gait and dynamic balance during the daily living activities. The aim of this study was to investigate the association between Cobb's angle and Formetric 4D surface topography system in evaluating spinal and pelvic deformity in children with cerebral palsy.</p><p><strong>Methods: </strong>One hundred children with spastic diplegia (6 to 8 years old) diagnosed as cerebral palsy participated in this study and selected from the Outpatient Clinic of Faculty of Physical Therapy. Digital x- ray and formetric analysis were used to measure spinal deformities and pelvic deviation in children with cerebral palsy.</p><p><strong>Results: </strong>There were positive correlations between Cobb's angle and formetric parameters, including trunk imbalance, lateral deviation, and pelvic tilt. Also, Formetric parameters were significant predictors of Cobb's angle, including trunk imbalance (for a one-degree increase, Cobb's angle increases by 0.227, lateral deviation (for a one-degree increase, Cobb's angle increases by 0.665), and pelvic tilt (for a one-degree increase, Cobb's angle increases by 0.252).</p><p><strong>Conclusion: </strong>Formetric 4D surface topography system was effective in evaluating spinal and pelvic deformity in children with cerebral palsy when compared with Digital x-ray.</p>","PeriodicalId":16430,"journal":{"name":"Journal of musculoskeletal & neuronal interactions","volume":"24 1","pages":"67-72"},"PeriodicalIF":1.6000,"publicationDate":"2024-03-01","publicationTypes":"Journal Article","fieldsOfStudy":null,"isOpenAccess":false,"openAccessPdf":"https://www.ncbi.nlm.nih.gov/pmc/articles/PMC10910198/pdf/","citationCount":"0","resultStr":null,"platform":"Semanticscholar","paperid":null,"PeriodicalName":"Journal of musculoskeletal & neuronal interactions","FirstCategoryId":"3","ListUrlMain":"","RegionNum":4,"RegionCategory":"医学","ArticlePicture":[],"TitleCN":null,"AbstractTextCN":null,"PMCID":null,"EPubDate":"","PubModel":"","JCR":"Q4","JCRName":"NEUROSCIENCES","Score":null,"Total":0}
引用次数: 0

Abstract

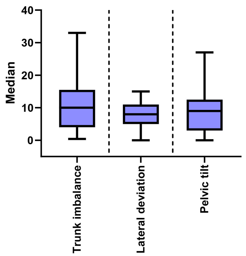
Objectives: Children with cerebral palsy have weak muscles, which may impair postural adjustments. These postural adjustments are required for gait and dynamic balance during the daily living activities. The aim of this study was to investigate the association between Cobb's angle and Formetric 4D surface topography system in evaluating spinal and pelvic deformity in children with cerebral palsy.

Methods: One hundred children with spastic diplegia (6 to 8 years old) diagnosed as cerebral palsy participated in this study and selected from the Outpatient Clinic of Faculty of Physical Therapy. Digital x- ray and formetric analysis were used to measure spinal deformities and pelvic deviation in children with cerebral palsy.

Results: There were positive correlations between Cobb's angle and formetric parameters, including trunk imbalance, lateral deviation, and pelvic tilt. Also, Formetric parameters were significant predictors of Cobb's angle, including trunk imbalance (for a one-degree increase, Cobb's angle increases by 0.227, lateral deviation (for a one-degree increase, Cobb's angle increases by 0.665), and pelvic tilt (for a one-degree increase, Cobb's angle increases by 0.252).

Conclusion: Formetric 4D surface topography system was effective in evaluating spinal and pelvic deformity in children with cerebral palsy when compared with Digital x-ray.

Abstract Image

Abstract Image

两种脊柱和骨盆分析方法与脑瘫儿童之间的关联
目标:脑瘫儿童肌肉力量薄弱,可能会影响姿势调整。在日常生活活动中,步态和动态平衡都需要这些姿势调整。本研究旨在探讨在评估脑瘫儿童脊柱和骨盆畸形时,Cobb 角度与 Formetric 4D 表面地形图系统之间的关联:方法:100 名被诊断为脑瘫的痉挛性截瘫儿童(6 至 8 岁)参与了此次研究,他们均来自物理治疗学院的门诊部。研究采用数字 X 射线和形态分析法测量脑瘫儿童的脊柱畸形和骨盆偏斜:结果:Cobb's 角和形态参数(包括躯干不平衡、侧向偏离和骨盆倾斜)之间存在正相关。此外,形态参数也是预测 Cobb 角度的重要指标,包括躯干不平衡(增加一度,Cobb 角度增加 0.227)、侧偏(增加一度,Cobb 角度增加 0.665)和骨盆倾斜(增加一度,Cobb 角度增加 0.252):结论:与数字 X 光片相比,Formetric 4D 表面地形图系统能有效评估脑瘫儿童的脊柱和骨盆畸形。
本文章由计算机程序翻译,如有差异,请以英文原文为准。
求助全文
约1分钟内获得全文 求助全文
来源期刊
CiteScore
3.40
自引率
0.00%
发文量
67
审稿时长
>12 weeks
期刊介绍: The Journal of Musculoskeletal and Neuronal Interactions (JMNI) is an academic journal dealing with the pathophysiology and treatment of musculoskeletal disorders. It is published quarterly (months of issue March, June, September, December). Its purpose is to publish original, peer-reviewed papers of research and clinical experience in all areas of the musculoskeletal system and its interactions with the nervous system, especially metabolic bone diseases, with particular emphasis on osteoporosis. Additionally, JMNI publishes the Abstracts from the biannual meetings of the International Society of Musculoskeletal and Neuronal Interactions, and hosts Abstracts of other meetings on topics related to the aims and scope of JMNI.
×
引用
GB/T 7714-2015
复制
MLA
复制
APA
复制
导出至
BibTeX EndNote RefMan NoteFirst NoteExpress
×
提示
您的信息不完整,为了账户安全,请先补充。
现在去补充
×
提示
您因"违规操作"
具体请查看互助需知
我知道了
×
提示
确定
请完成安全验证×
copy
已复制链接
快去分享给好友吧!
我知道了
右上角分享
点击右上角分享
0
联系我们:info@booksci.cn Book学术提供免费学术资源搜索服务,方便国内外学者检索中英文文献。致力于提供最便捷和优质的服务体验。 Copyright © 2023 布克学术 All rights reserved.
京ICP备2023020795号-1
ghs 京公网安备 11010802042870号
Book学术文献互助
Book学术文献互助群
群 号:604180095
Book学术官方微信