Survival and Treatment Outcomes of Childhood Acute Lymphoblastic Leukemia in a Low-Middle Income Country: A Single-Center Experience in West Java, Indonesia.

IF 2.7 Q3 HEMATOLOGY
Journal of Blood Medicine Pub Date : 2024-02-19 eCollection Date: 2024-01-01 DOI:10.2147/JBM.S438042
Monika Hasna Ramadhan, Nur Melani Sari, Stanza Uga Peryoga, Susi Susanah
{"title":"Survival and Treatment Outcomes of Childhood Acute Lymphoblastic Leukemia in a Low-Middle Income Country: A Single-Center Experience in West Java, Indonesia.","authors":"Monika Hasna Ramadhan, Nur Melani Sari, Stanza Uga Peryoga, Susi Susanah","doi":"10.2147/JBM.S438042","DOIUrl":null,"url":null,"abstract":"<p><strong>Purpose: </strong>This study aimed to determine the survival rates and treatment outcomes of patients with childhood Acute Lymphoblastic Leukemia (ALL) in a single-center study at Indonesia.</p><p><strong>Patients and methods: </strong>Factors contributing to the relapse and survival of ALL in Bandung, Indonesia, were evaluated. Data were collected from the medical record and the Indonesian Pediatric Cancer Registry (IPCAR). Subsequently, univariate and multivariate analyses were evaluated using Cox proportional hazard regression and Kaplan Meier was used for survival analysis. An analytic observational study was conducted on newly diagnosed children aged 1-18 with ALL from January 2019 to December 2022.</p><p><strong>Results: </strong>A total of 137 children were included in the analysis, 30 (21,9%) were dropped out during treatment and 60.5% died during the study period. Most of the deaths occurred after relapse in 32 (38.5%) with a high early relapse (70.5%), occurring mainly during the maintenance phase (42.4%). At the one-year mark, the observed overall survival (OS) rate was at 36%, while event-free survival (EFS) was lower, at 19%. Univariate Cox regression analysis showed that the leucocyte counts at diagnosis (p=0.005) and response to induction phase (p < 0.008) was associated with the death of ALL. Furthermore, a response to induction phase was significant [hazard ratio 4.67 (CI 95%: 1.64-13.29); p = 0.004] in the multivariate analysis.</p><p><strong>Conclusion: </strong>In conclusion, this study underscored the persistent challenges of high treatment discontinuation rates and the occurrence of very early relapses in low- to middle-income countries (LMICs), which significantly impacted the OS of children diagnosed with ALL.</p>","PeriodicalId":15166,"journal":{"name":"Journal of Blood Medicine","volume":"15 ","pages":"77-85"},"PeriodicalIF":2.7000,"publicationDate":"2024-02-19","publicationTypes":"Journal Article","fieldsOfStudy":null,"isOpenAccess":false,"openAccessPdf":"https://www.ncbi.nlm.nih.gov/pmc/articles/PMC10887884/pdf/","citationCount":"0","resultStr":null,"platform":"Semanticscholar","paperid":null,"PeriodicalName":"Journal of Blood Medicine","FirstCategoryId":"1085","ListUrlMain":"https://doi.org/10.2147/JBM.S438042","RegionNum":0,"RegionCategory":null,"ArticlePicture":[],"TitleCN":null,"AbstractTextCN":null,"PMCID":null,"EPubDate":"2024/1/1 0:00:00","PubModel":"eCollection","JCR":"Q3","JCRName":"HEMATOLOGY","Score":null,"Total":0}
引用次数: 0

Abstract

Purpose: This study aimed to determine the survival rates and treatment outcomes of patients with childhood Acute Lymphoblastic Leukemia (ALL) in a single-center study at Indonesia.

Patients and methods: Factors contributing to the relapse and survival of ALL in Bandung, Indonesia, were evaluated. Data were collected from the medical record and the Indonesian Pediatric Cancer Registry (IPCAR). Subsequently, univariate and multivariate analyses were evaluated using Cox proportional hazard regression and Kaplan Meier was used for survival analysis. An analytic observational study was conducted on newly diagnosed children aged 1-18 with ALL from January 2019 to December 2022.

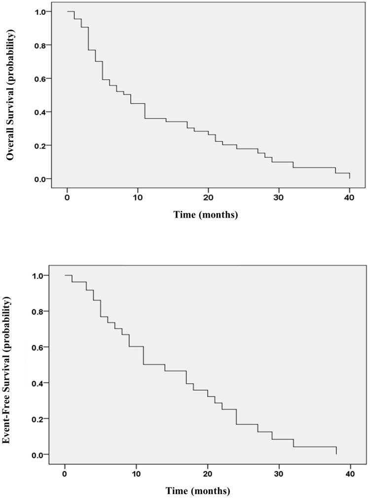
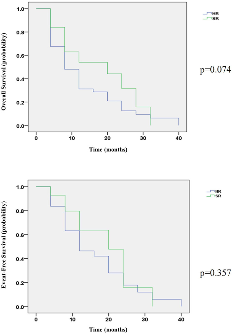
Results: A total of 137 children were included in the analysis, 30 (21,9%) were dropped out during treatment and 60.5% died during the study period. Most of the deaths occurred after relapse in 32 (38.5%) with a high early relapse (70.5%), occurring mainly during the maintenance phase (42.4%). At the one-year mark, the observed overall survival (OS) rate was at 36%, while event-free survival (EFS) was lower, at 19%. Univariate Cox regression analysis showed that the leucocyte counts at diagnosis (p=0.005) and response to induction phase (p < 0.008) was associated with the death of ALL. Furthermore, a response to induction phase was significant [hazard ratio 4.67 (CI 95%: 1.64-13.29); p = 0.004] in the multivariate analysis.

Conclusion: In conclusion, this study underscored the persistent challenges of high treatment discontinuation rates and the occurrence of very early relapses in low- to middle-income countries (LMICs), which significantly impacted the OS of children diagnosed with ALL.

Abstract Image

Abstract Image

Abstract Image

中低收入国家儿童急性淋巴细胞白血病的存活率和治疗效果:印度尼西亚西爪哇的单中心经验。
目的:本研究旨在通过印度尼西亚的一项单中心研究确定儿童急性淋巴细胞白血病(ALL)患者的存活率和治疗效果:研究评估了印度尼西亚万隆地区急性淋巴细胞白血病复发和存活的因素。数据收集自医疗记录和印尼儿科癌症登记处(IPCAR)。随后,使用Cox比例危险回归进行了单变量和多变量分析,并使用Kaplan Meier进行了生存分析。分析观察研究的对象是2019年1月至2022年12月新确诊的1-18岁ALL患儿:共有137名儿童纳入分析,30名(21.9%)在治疗期间退出,60.5%在研究期间死亡。大部分死亡发生在复发后,32 名儿童(38.5%)死亡,其中早期复发率较高(70.5%),主要发生在维持治疗阶段(42.4%)。一年后,观察到的总生存率(OS)为 36%,而无事件生存率(EFS)较低,为 19%。单变量考克斯回归分析显示,诊断时的白细胞计数(P=0.005)和对诱导阶段的反应(P < 0.008)与 ALL 的死亡有关。此外,在多变量分析中,对诱导阶段的反应具有显著性[危险比为4.67(CI 95%:1.64-13.29);P=0.004]:总之,本研究强调了中低收入国家(LMICs)持续存在的高治疗中断率和极早期复发的挑战,这严重影响了确诊为ALL的儿童的OS。
本文章由计算机程序翻译,如有差异,请以英文原文为准。
求助全文
约1分钟内获得全文 求助全文
来源期刊
CiteScore
3.50
自引率
0.00%
发文量
94
审稿时长
16 weeks
期刊介绍: The Journal of Blood Medicine is an international, peer-reviewed, open access, online journal publishing laboratory, experimental and clinical aspects of all topics pertaining to blood based medicine including but not limited to: Transfusion Medicine (blood components, stem cell transplantation, apheresis, gene based therapeutics), Blood collection, Donor issues, Transmittable diseases, and Blood banking logistics, Immunohematology, Artificial and alternative blood based therapeutics, Hematology including disorders/pathology related to leukocytes/immunology, red cells, platelets and hemostasis, Biotechnology/nanotechnology of blood related medicine, Legal aspects of blood medicine, Historical perspectives. Original research, short reports, reviews, case reports and commentaries are invited.
×
引用
GB/T 7714-2015
复制
MLA
复制
APA
复制
导出至
BibTeX EndNote RefMan NoteFirst NoteExpress
×
提示
您的信息不完整,为了账户安全,请先补充。
现在去补充
×
提示
您因"违规操作"
具体请查看互助需知
我知道了
×
提示
确定
请完成安全验证×
copy
已复制链接
快去分享给好友吧!
我知道了
右上角分享
点击右上角分享
0
联系我们:info@booksci.cn Book学术提供免费学术资源搜索服务,方便国内外学者检索中英文文献。致力于提供最便捷和优质的服务体验。 Copyright © 2023 布克学术 All rights reserved.
京ICP备2023020795号-1
ghs 京公网安备 11010802042870号
Book学术文献互助
Book学术文献互助群
群 号:604180095
Book学术官方微信