Two-stage association study of mitochondrial DNA variants in allergic rhinitis.

IF 2.4 4区 医学 Q2 ALLERGY
Huajie Yuan, Lingling Wang, Song Wang, Linge Li, Qingping Liu, Yan Wang, Yuping Yang, Hua Zhang
{"title":"Two-stage association study of mitochondrial DNA variants in allergic rhinitis.","authors":"Huajie Yuan, Lingling Wang, Song Wang, Linge Li, Qingping Liu, Yan Wang, Yuping Yang, Hua Zhang","doi":"10.1186/s13223-024-00881-z","DOIUrl":null,"url":null,"abstract":"<p><strong>Background: </strong>Correlations between mitochondrial DNA (mtDNA) and allergic rhinitis (AR) have not been reported before. This study aimed to better understand the mitochondrial genome profile with AR and to investigate the associations between AR in China and the mitochondrial genome at a single variant and gene level.</p><p><strong>Methods: </strong>Mitochondrial sequencing was conducted on a total of 134 unrelated individual subjects (68 patients with AR, 66 healthy controls) at discovery stage. Heteroplasmy was analyzed using the Mann-Whitney U test. Sequence kernel association tests (SKAT) were conducted to study the association between mitochondrial genes and AR. Single-variant analysis was performed using logistic regression analysis and further validated in 120 subjects (69 patients with AR, 51 healthy controls). Candidate genes were further explored based on differences in mRNA and protein abundance in nasal mucosal tissue.</p><p><strong>Results: </strong>In the discovery stage, 886 variants, including 836 SNV and 50 indels, were identified with mitochondrial sequencing. No statistically significant differences were identified for the mitochondrial heteroplasmy or SKAT analysis between these two groups after applying a Boferroni correction. One nonsynonymous variants, rs3135028 (MT8584.G/A) in ATP6, was related to a reduced risk of AR in both the discovery and validation cohorts. Furthermore, mRNA levels of MT-ATP6 in nasal mucosal tissue were significantly lower in AR individuals than in controls (P < 0.05).</p><p><strong>Conclusions: </strong>In a two-stage analysis of associations between AR and mtDNA variations, mitochondrial gene maps of Chinese patients with AR indicated that the ATP6 gene was probably associated with AR at the single-variant level.</p>","PeriodicalId":51302,"journal":{"name":"Allergy Asthma and Clinical Immunology","volume":"20 1","pages":"16"},"PeriodicalIF":2.4000,"publicationDate":"2024-02-23","publicationTypes":"Journal Article","fieldsOfStudy":null,"isOpenAccess":false,"openAccessPdf":"https://www.ncbi.nlm.nih.gov/pmc/articles/PMC10893604/pdf/","citationCount":"0","resultStr":null,"platform":"Semanticscholar","paperid":null,"PeriodicalName":"Allergy Asthma and Clinical Immunology","FirstCategoryId":"3","ListUrlMain":"https://doi.org/10.1186/s13223-024-00881-z","RegionNum":4,"RegionCategory":"医学","ArticlePicture":[],"TitleCN":null,"AbstractTextCN":null,"PMCID":null,"EPubDate":"","PubModel":"","JCR":"Q2","JCRName":"ALLERGY","Score":null,"Total":0}
引用次数: 0

Abstract

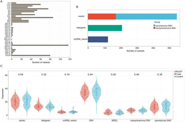
Background: Correlations between mitochondrial DNA (mtDNA) and allergic rhinitis (AR) have not been reported before. This study aimed to better understand the mitochondrial genome profile with AR and to investigate the associations between AR in China and the mitochondrial genome at a single variant and gene level.

Methods: Mitochondrial sequencing was conducted on a total of 134 unrelated individual subjects (68 patients with AR, 66 healthy controls) at discovery stage. Heteroplasmy was analyzed using the Mann-Whitney U test. Sequence kernel association tests (SKAT) were conducted to study the association between mitochondrial genes and AR. Single-variant analysis was performed using logistic regression analysis and further validated in 120 subjects (69 patients with AR, 51 healthy controls). Candidate genes were further explored based on differences in mRNA and protein abundance in nasal mucosal tissue.

Results: In the discovery stage, 886 variants, including 836 SNV and 50 indels, were identified with mitochondrial sequencing. No statistically significant differences were identified for the mitochondrial heteroplasmy or SKAT analysis between these two groups after applying a Boferroni correction. One nonsynonymous variants, rs3135028 (MT8584.G/A) in ATP6, was related to a reduced risk of AR in both the discovery and validation cohorts. Furthermore, mRNA levels of MT-ATP6 in nasal mucosal tissue were significantly lower in AR individuals than in controls (P < 0.05).

Conclusions: In a two-stage analysis of associations between AR and mtDNA variations, mitochondrial gene maps of Chinese patients with AR indicated that the ATP6 gene was probably associated with AR at the single-variant level.

Abstract Image

Abstract Image

Abstract Image

过敏性鼻炎线粒体 DNA 变异的两阶段关联研究。
背景:线粒体DNA(mtDNA)与过敏性鼻炎(AR)之间的相关性尚未见报道。本研究旨在更好地了解线粒体基因组与过敏性鼻炎的关系,并在单个变体和基因水平上研究中国的过敏性鼻炎与线粒体基因组之间的关联:方法:在发现阶段,对134名无血缘关系的个体受试者(68名AR患者,66名健康对照者)进行了线粒体测序。采用 Mann-Whitney U 检验分析异质性。序列核关联检验(SKAT)用于研究线粒体基因与 AR 之间的关联。使用逻辑回归分析进行单变异分析,并在 120 名受试者(69 名 AR 患者和 51 名健康对照者)中进一步验证。根据鼻粘膜组织中 mRNA 和蛋白质丰度的差异,进一步探索了候选基因:结果:在发现阶段,通过线粒体测序确定了 886 个变异,包括 836 个 SNV 和 50 个 indels。在应用 Boferroni 校正后,两组之间的线粒体异质性或 SKAT 分析未发现有统计学意义的差异。在发现组和验证组中,有一个非同义变异,即 ATP6 中的 rs3135028 (MT8584.G/A),与 AR 风险降低有关。此外,AR 患者鼻腔粘膜组织中 MT-ATP6 的 mRNA 水平明显低于对照组(P 结论):在对 AR 与 mtDNA 变异之间的关联性进行的两阶段分析中,中国 AR 患者的线粒体基因图谱显示,ATP6 基因可能在单变异水平上与 AR 相关。
本文章由计算机程序翻译,如有差异,请以英文原文为准。
求助全文
约1分钟内获得全文 求助全文
来源期刊
CiteScore
4.30
自引率
3.70%
发文量
96
审稿时长
12 weeks
期刊介绍: Allergy, Asthma & Clinical Immunology (AACI), the official journal of the Canadian Society of Allergy and Clinical Immunology (CSACI), is an open access journal that encompasses all aspects of diagnosis, epidemiology, prevention and treatment of allergic and immunologic disease. By offering a high-visibility forum for new insights and discussions, AACI provides a platform for the dissemination of allergy and clinical immunology research and reviews amongst allergists, pulmonologists, immunologists and other physicians, healthcare workers, medical students and the public worldwide. AACI reports on basic research and clinically applied studies in the following areas and other related topics: asthma and occupational lung disease, rhinoconjunctivitis and rhinosinusitis, drug hypersensitivity, allergic skin diseases, urticaria and angioedema, venom hypersensitivity, anaphylaxis and food allergy, immunotherapy, immune modulators and biologics, immune deficiency and autoimmunity, T cell and B cell functions, regulatory T cells, natural killer cells, mast cell and eosinophil functions, complement abnormalities.
×
引用
GB/T 7714-2015
复制
MLA
复制
APA
复制
导出至
BibTeX EndNote RefMan NoteFirst NoteExpress
×
提示
您的信息不完整,为了账户安全,请先补充。
现在去补充
×
提示
您因"违规操作"
具体请查看互助需知
我知道了
×
提示
确定
请完成安全验证×
copy
已复制链接
快去分享给好友吧!
我知道了
右上角分享
点击右上角分享
0
联系我们:info@booksci.cn Book学术提供免费学术资源搜索服务,方便国内外学者检索中英文文献。致力于提供最便捷和优质的服务体验。 Copyright © 2023 布克学术 All rights reserved.
京ICP备2023020795号-1
ghs 京公网安备 11010802042870号
Book学术文献互助
Book学术文献互助群
群 号:604180095
Book学术官方微信