Listening Effort for Speech in Noise Perception Using Pupil Dilation: A Comparison Among Percussionists, Non-Percussionists, and Non-Musicians.

IF 1.4 Q3 OTORHINOLARYNGOLOGY
Journal of Audiology and Otology Pub Date : 2024-07-01 Epub Date: 2024-02-22 DOI:10.7874/jao.2023.00248
Vallampati Lavanya, Ramaprasad Rajaram, Ramya Vaidyanath, Ajith Kumar Uppunda
{"title":"Listening Effort for Speech in Noise Perception Using Pupil Dilation: A Comparison Among Percussionists, Non-Percussionists, and Non-Musicians.","authors":"Vallampati Lavanya, Ramaprasad Rajaram, Ramya Vaidyanath, Ajith Kumar Uppunda","doi":"10.7874/jao.2023.00248","DOIUrl":null,"url":null,"abstract":"<p><strong>Background and objectives: </strong>Most studies in literature attribute the benefits of musical training on speech in noise (SIN) perception to \"experience-based\" plasticity, which assists in the activation of speech-processing networks. However, whether musicianship provides an advantage for the listening effort (LE) required to comprehend speech in degraded environments has received less attention. The current study aimed to understand the influence of Indian classical music training on SIN perception and its related LE across percussionists, non-percussionists, and non-musicians.</p><p><strong>Subjects and methods: </strong>A quasi-experiment was conducted on 16 percussionists, 17 non-percussionists, and 26 non-musicians aged 18-35 years with normal hearing. In phase 1, musical abilities were assessed using Mini-Profile of Music Perception Skills (Mini-PROMS). Phase 2 examined SIN using Tamil Phonemically-Balanced Words and Tamil Matrix Sentence Test at +5 dB, 0 dB, and -5 dB SNR and LE using pupillometry, measuring pupil dilations with an eye-tracker.</p><p><strong>Results: </strong>Fractional Logit and Linear Regression models demonstrated that percussionists outperformed non-percussionists in Tuning and Speed subsets of Mini-PROMS. Percussionists outperformed non-percussionists and non-musicians in SIN and LE at -5 dB SNR for words and at 0 dB and -5 dB SNR for sentences.</p><p><strong>Conclusions: </strong>Percussionists have the greatest advantage in decoding SIN with reduced LE followed by non-percussionists and non-musicians, demonstrating musician-advantage in most challenging listening conditions.</p>","PeriodicalId":44886,"journal":{"name":"Journal of Audiology and Otology","volume":" ","pages":"186-194"},"PeriodicalIF":1.4000,"publicationDate":"2024-07-01","publicationTypes":"Journal Article","fieldsOfStudy":null,"isOpenAccess":false,"openAccessPdf":"https://www.ncbi.nlm.nih.gov/pmc/articles/PMC11273191/pdf/","citationCount":"0","resultStr":null,"platform":"Semanticscholar","paperid":null,"PeriodicalName":"Journal of Audiology and Otology","FirstCategoryId":"1085","ListUrlMain":"https://doi.org/10.7874/jao.2023.00248","RegionNum":0,"RegionCategory":null,"ArticlePicture":[],"TitleCN":null,"AbstractTextCN":null,"PMCID":null,"EPubDate":"2024/2/22 0:00:00","PubModel":"Epub","JCR":"Q3","JCRName":"OTORHINOLARYNGOLOGY","Score":null,"Total":0}
引用次数: 0

Abstract

Background and objectives: Most studies in literature attribute the benefits of musical training on speech in noise (SIN) perception to "experience-based" plasticity, which assists in the activation of speech-processing networks. However, whether musicianship provides an advantage for the listening effort (LE) required to comprehend speech in degraded environments has received less attention. The current study aimed to understand the influence of Indian classical music training on SIN perception and its related LE across percussionists, non-percussionists, and non-musicians.

Subjects and methods: A quasi-experiment was conducted on 16 percussionists, 17 non-percussionists, and 26 non-musicians aged 18-35 years with normal hearing. In phase 1, musical abilities were assessed using Mini-Profile of Music Perception Skills (Mini-PROMS). Phase 2 examined SIN using Tamil Phonemically-Balanced Words and Tamil Matrix Sentence Test at +5 dB, 0 dB, and -5 dB SNR and LE using pupillometry, measuring pupil dilations with an eye-tracker.

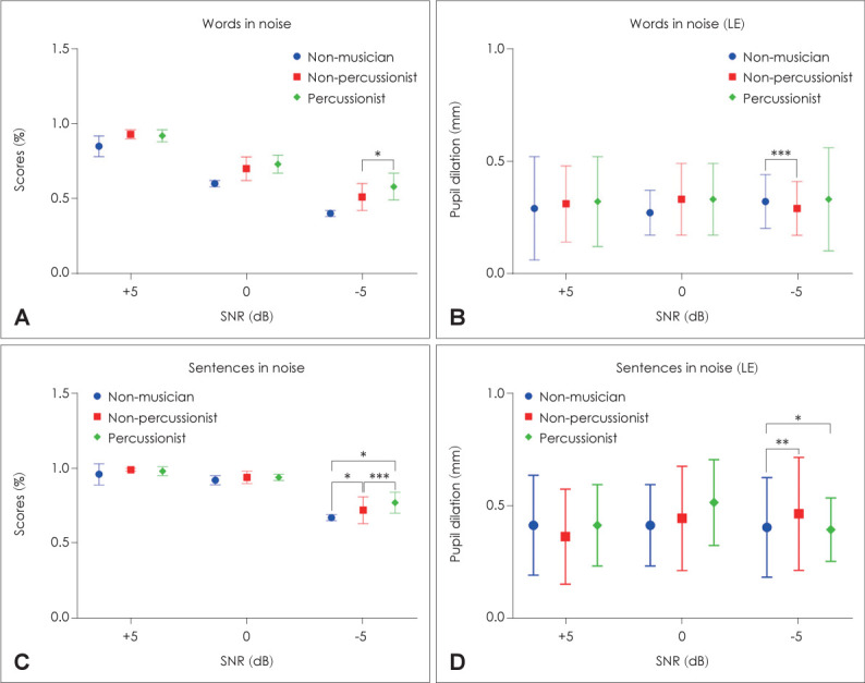
Results: Fractional Logit and Linear Regression models demonstrated that percussionists outperformed non-percussionists in Tuning and Speed subsets of Mini-PROMS. Percussionists outperformed non-percussionists and non-musicians in SIN and LE at -5 dB SNR for words and at 0 dB and -5 dB SNR for sentences.

Conclusions: Percussionists have the greatest advantage in decoding SIN with reduced LE followed by non-percussionists and non-musicians, demonstrating musician-advantage in most challenging listening conditions.

Abstract Image

使用瞳孔放大法感知噪音中的语音时的聆听强度:打击乐演奏者、非打击乐演奏者和非音乐家之间的比较。
背景和目的:大多数文献研究将音乐训练对噪声中语音(SIN)感知的益处归因于 "基于经验 "的可塑性,这种可塑性有助于激活语音处理网络。然而,音乐训练是否对在降噪环境中理解语音所需的聆听努力(LE)具有优势,却较少受到关注。本研究旨在了解印度古典音乐训练对打击乐手、非打击乐手和非音乐家的 SIN 感知及其相关 LE 的影响:对 16 名打击乐演奏者、17 名非打击乐演奏者和 26 名听力正常的 18-35 岁非音乐家进行了准实验。第一阶段使用音乐感知能力迷你档案(Mini-PROMS)评估音乐能力。第二阶段使用泰米尔语音素平衡词和泰米尔语矩阵句测试在+5 dB、0 dB和-5 dB信噪比下检测 SIN,并使用瞳孔测量法检测 LE,即使用眼动仪测量瞳孔放大情况:分数 Logit 模型和线性回归模型表明,打击乐演奏者在 Mini-PROMS 的调音和速度子集中的表现优于非打击乐演奏者。在单词的信噪比为-5 dB时,以及在句子的信噪比为0 dB和-5 dB时,打击乐演奏者在SIN和LE方面的表现优于非打击乐演奏者和非音乐家:结论:打击乐演奏者在 SIN 解码方面具有最大的优势,而 LE 则有所降低,其次是非打击乐演奏者和非音乐家,这表明音乐家在最具挑战性的听力条件下具有优势。
本文章由计算机程序翻译,如有差异,请以英文原文为准。
求助全文
约1分钟内获得全文 求助全文
来源期刊
Journal of Audiology and Otology
Journal of Audiology and Otology OTORHINOLARYNGOLOGY-
CiteScore
1.90
自引率
9.10%
发文量
20
期刊介绍: Journal of Audiology and Otology (JAO) (formerly known as Korean Journal of Audiology) aims to publish the most advanced findings for all aspects of the auditory and vestibular system and diseases of the ear using state-of-the-art techniques and analyses. The journal covers recent trends related to the topics of audiology, otology, and neurotology conducted by professionals, with the goal of providing better possible treatment to people of all ages, from infants to the elderly, who suffer from auditory and/or vestibular disorders and thus, improving their quality of life. This journal encourages the submission of review papers about current professional issues, research papers presenting a scientific base and clinical application, and case papers with unique reports or clinical trials. We also invite letters to the editor and papers related to the manufacture and distribution of medical devices. This journal provides integrated views from otologists, audiologists, and other healthcare practitioners, offering readers high quality scientific and clinical information. This peer-reviewed and open access journal has been the official journal of the Korean Audiological Society since 1997 and of both the Korean Audiological Society and the Korean Otological Society since 2017. It is published in English four times a year in January, April, July, and October.
×
引用
GB/T 7714-2015
复制
MLA
复制
APA
复制
导出至
BibTeX EndNote RefMan NoteFirst NoteExpress
×
提示
您的信息不完整,为了账户安全,请先补充。
现在去补充
×
提示
您因"违规操作"
具体请查看互助需知
我知道了
×
提示
确定
请完成安全验证×
copy
已复制链接
快去分享给好友吧!
我知道了
右上角分享
点击右上角分享
0
联系我们:info@booksci.cn Book学术提供免费学术资源搜索服务,方便国内外学者检索中英文文献。致力于提供最便捷和优质的服务体验。 Copyright © 2023 布克学术 All rights reserved.
京ICP备2023020795号-1
ghs 京公网安备 11010802042870号
Book学术文献互助
Book学术文献互助群
群 号:604180095
Book学术官方微信