Weekly Training Load Differences between Starting and Non-Starting Soccer Players.

IF 2.8 3区 医学 Q2 SPORT SCIENCES
Journal of Human Kinetics Pub Date : 2023-11-28 eCollection Date: 2024-01-01 DOI:10.5114/jhk/171449
Matej Varjan, Mikulas Hank, Maros Kalata, Paweł Chmura, Lucia Mala, Frantisek Zahalka
{"title":"Weekly Training Load Differences between Starting and Non-Starting Soccer Players.","authors":"Matej Varjan, Mikulas Hank, Maros Kalata, Paweł Chmura, Lucia Mala, Frantisek Zahalka","doi":"10.5114/jhk/171449","DOIUrl":null,"url":null,"abstract":"<p><p>The aim of this study was to examine the differences in the weekly training load between starters and non-starters classified based on the match starting line-up, with respect to the playing position and a training day. Notably, 31 young adult soccer players (age: 18.79 ± 1.04 years) competing in the 3<sup>rd</sup> Czech division were monitored across the season. The weekly training load was measured using a GPS system as follows: total distance covered (TD), high-speed running distance (HSR), sprint running distance (SR), and acceleration and deceleration distance (ACDC). We found higher values in three out of four observed variables (HSR, SR, and ACDC, excluding TD) for starters compared to non-starters (p < 0.05), with small to moderate effect sizes (d = 0.40-0.49). Differences were observed especially in players who were fullbacks, offensive midfielders, and forwards. Moreover, the largest differences were found in training prior to a match day for HSR, SR, and ACDC (p < 0.05). Non-starters experienced lower weekly external loads in offensive player positions, predominantly in high-intensity variables, which are essential for their physical performance. It seems that non-starters may experience potential under-loading in the training process. Coaches and practitioners should be aware of this potential risk and find an appropriate method to compensate for load discrepancies, particularly in terms of high-intensity activities.</p>","PeriodicalId":16055,"journal":{"name":"Journal of Human Kinetics","volume":"90 ","pages":"125-135"},"PeriodicalIF":2.8000,"publicationDate":"2023-11-28","publicationTypes":"Journal Article","fieldsOfStudy":null,"isOpenAccess":false,"openAccessPdf":"https://www.ncbi.nlm.nih.gov/pmc/articles/PMC10875698/pdf/","citationCount":"0","resultStr":null,"platform":"Semanticscholar","paperid":null,"PeriodicalName":"Journal of Human Kinetics","FirstCategoryId":"3","ListUrlMain":"https://doi.org/10.5114/jhk/171449","RegionNum":3,"RegionCategory":"医学","ArticlePicture":[],"TitleCN":null,"AbstractTextCN":null,"PMCID":null,"EPubDate":"2024/1/1 0:00:00","PubModel":"eCollection","JCR":"Q2","JCRName":"SPORT SCIENCES","Score":null,"Total":0}
引用次数: 0

Abstract

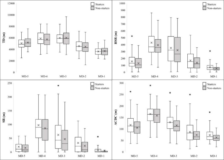
The aim of this study was to examine the differences in the weekly training load between starters and non-starters classified based on the match starting line-up, with respect to the playing position and a training day. Notably, 31 young adult soccer players (age: 18.79 ± 1.04 years) competing in the 3rd Czech division were monitored across the season. The weekly training load was measured using a GPS system as follows: total distance covered (TD), high-speed running distance (HSR), sprint running distance (SR), and acceleration and deceleration distance (ACDC). We found higher values in three out of four observed variables (HSR, SR, and ACDC, excluding TD) for starters compared to non-starters (p < 0.05), with small to moderate effect sizes (d = 0.40-0.49). Differences were observed especially in players who were fullbacks, offensive midfielders, and forwards. Moreover, the largest differences were found in training prior to a match day for HSR, SR, and ACDC (p < 0.05). Non-starters experienced lower weekly external loads in offensive player positions, predominantly in high-intensity variables, which are essential for their physical performance. It seems that non-starters may experience potential under-loading in the training process. Coaches and practitioners should be aware of this potential risk and find an appropriate method to compensate for load discrepancies, particularly in terms of high-intensity activities.

Abstract Image

首发和非首发足球运动员每周训练负荷的差异。
本研究的目的是根据比赛首发阵容、比赛位置和训练日,研究首发球员和非首发球员每周训练量的差异。值得注意的是,研究人员在整个赛季中对 31 名参加捷克第三级别联赛的青少年足球运动员(年龄:18.79 ± 1.04 岁)进行了监测。使用 GPS 系统测量了每周的训练负荷,具体如下:总跑动距离 (TD)、高速跑动距离 (HSR)、冲刺跑动距离 (SR) 和加减速跑动距离 (ACDC)。我们发现,在四个观察变量中,起跑运动员的三个变量值(HSR、SR 和 ACDC,不包括 TD)都高于非起跑运动员(P < 0.05),影响大小为小到中(d = 0.40-0.49)。后卫、进攻型中场和前锋球员的差异尤为明显。此外,在比赛日之前的训练中,HSR、SR 和 ACDC 的差异最大(p < 0.05)。在进攻型球员的位置上,非首发球员的每周外部负荷较低,主要是在高强度变量方面,这对他们的体能表现至关重要。由此看来,非新手在训练过程中可能会出现负荷不足的情况。教练和从业人员应意识到这一潜在风险,并找到适当的方法来弥补负荷差异,尤其是在高强度活动方面。
本文章由计算机程序翻译,如有差异,请以英文原文为准。
求助全文
约1分钟内获得全文 求助全文
来源期刊
Journal of Human Kinetics
Journal of Human Kinetics 医学-运动科学
CiteScore
4.80
自引率
0.00%
发文量
83
审稿时长
3 months
期刊介绍: The Journal of Human Kinetics is an open access interdisciplinary periodical offering the latest research in the science of human movement studies. This comprehensive professional journal features articles and research notes encompassing such topic areas as: Kinesiology, Exercise Physiology and Nutrition, Sports Training and Behavioural Sciences in Sport, but especially considering elite and competitive aspects of sport. The journal publishes original papers, invited reviews, short communications and letters to the Editors. Manuscripts submitted to the journal must contain novel data on theoretical or experimental research or on practical applications in the field of sport sciences. The Journal of Human Kinetics is published in March, June, September and December. We encourage scientists from around the world to submit their papers to our periodical.
×
引用
GB/T 7714-2015
复制
MLA
复制
APA
复制
导出至
BibTeX EndNote RefMan NoteFirst NoteExpress
×
提示
您的信息不完整,为了账户安全,请先补充。
现在去补充
×
提示
您因"违规操作"
具体请查看互助需知
我知道了
×
提示
确定
请完成安全验证×
copy
已复制链接
快去分享给好友吧!
我知道了
右上角分享
点击右上角分享
0
联系我们:info@booksci.cn Book学术提供免费学术资源搜索服务,方便国内外学者检索中英文文献。致力于提供最便捷和优质的服务体验。 Copyright © 2023 布克学术 All rights reserved.
京ICP备2023020795号-1
ghs 京公网安备 11010802042870号
Book学术文献互助
Book学术文献互助群
群 号:604180095
Book学术官方微信