Can absence of cardiac activity on point-of-care echocardiography predict death in out-of-hospital cardiac arrest? A systematic review and meta-analysis.

IF 2.9 Q2 Medicine
Omar Albaroudi, Bilal Albaroudi, Mahmoud Haddad, Manar E Abdle-Rahman, Thirumoothy Samy Suresh Kumar, Robert David Jarman, Tim Harris
{"title":"Can absence of cardiac activity on point-of-care echocardiography predict death in out-of-hospital cardiac arrest? A systematic review and meta-analysis.","authors":"Omar Albaroudi, Bilal Albaroudi, Mahmoud Haddad, Manar E Abdle-Rahman, Thirumoothy Samy Suresh Kumar, Robert David Jarman, Tim Harris","doi":"10.1186/s13089-024-00360-x","DOIUrl":null,"url":null,"abstract":"<p><strong>Aim: </strong>The purpose of this systematic review and meta-analysis was to evaluate the accuracy of the absence of cardiac motion on point-of-care echocardiography (PCE) in predicting termination of resuscitation (TOR), short-term death (STD), and long-term death (LTD), in adult patients with cardiac arrest of all etiologies in out-of-hospital and emergency department setting.</p><p><strong>Methods: </strong>A systematic review and meta-analysis was conducted based on PRISMA guidelines. A literature search in Medline, EMBASE, Cochrane, WHO registry, and ClinicalTrials.gov was performed from inspection to August 2022. Risk of bias was evaluated using QUADAS-2 tool. Meta-analysis was divided into medical cardiac arrest (MCA) and traumatic cardiac arrest (TCA). Sensitivity and specificity were calculated using bivariate random-effects, and heterogeneity was analyzed using I<sup>2</sup> statistic.</p><p><strong>Results: </strong>A total of 27 studies (3657 patients) were included in systematic review. There was a substantial variation in methodologies across the studies, with notable difference in inclusion criteria, PCE timing, and cardiac activity definition. In MCA (15 studies, 2239 patients), the absence of cardiac activity on PCE had a sensitivity of 72% [95% CI 62-80%] and specificity of 80% [95% CI 58-92%] to predict LTD. Although the low numbers of studies in TCA preluded meta-analysis, all patients who lacked cardiac activity on PCE eventually died.</p><p><strong>Conclusions: </strong>The absence of cardiac motion on PCE for MCA predicts higher likelihood of death but does not have sufficient accuracy to be used as a stand-alone tool to terminate resuscitation. In TCA, the absence of cardiac activity is associated with 100% mortality rate, but low number of patients requires further studies to validate this finding. Future work would benefit from a standardized protocol for PCE timing and agreement on cardiac activity definition.</p>","PeriodicalId":36911,"journal":{"name":"Ultrasound Journal","volume":"16 1","pages":"10"},"PeriodicalIF":2.9000,"publicationDate":"2024-02-20","publicationTypes":"Journal Article","fieldsOfStudy":null,"isOpenAccess":false,"openAccessPdf":"https://www.ncbi.nlm.nih.gov/pmc/articles/PMC10879065/pdf/","citationCount":"0","resultStr":null,"platform":"Semanticscholar","paperid":null,"PeriodicalName":"Ultrasound Journal","FirstCategoryId":"1085","ListUrlMain":"https://doi.org/10.1186/s13089-024-00360-x","RegionNum":0,"RegionCategory":null,"ArticlePicture":[],"TitleCN":null,"AbstractTextCN":null,"PMCID":null,"EPubDate":"","PubModel":"","JCR":"Q2","JCRName":"Medicine","Score":null,"Total":0}
引用次数: 0

Abstract

Aim: The purpose of this systematic review and meta-analysis was to evaluate the accuracy of the absence of cardiac motion on point-of-care echocardiography (PCE) in predicting termination of resuscitation (TOR), short-term death (STD), and long-term death (LTD), in adult patients with cardiac arrest of all etiologies in out-of-hospital and emergency department setting.

Methods: A systematic review and meta-analysis was conducted based on PRISMA guidelines. A literature search in Medline, EMBASE, Cochrane, WHO registry, and ClinicalTrials.gov was performed from inspection to August 2022. Risk of bias was evaluated using QUADAS-2 tool. Meta-analysis was divided into medical cardiac arrest (MCA) and traumatic cardiac arrest (TCA). Sensitivity and specificity were calculated using bivariate random-effects, and heterogeneity was analyzed using I2 statistic.

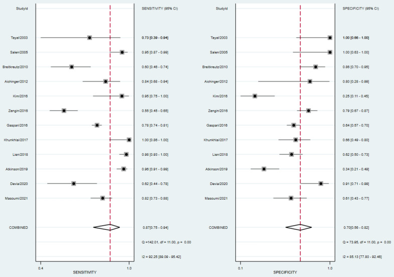
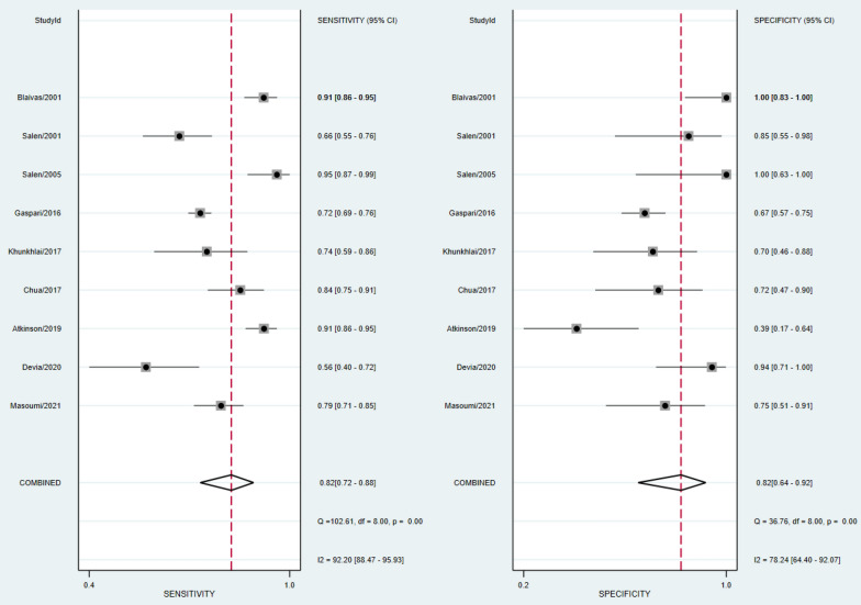
Results: A total of 27 studies (3657 patients) were included in systematic review. There was a substantial variation in methodologies across the studies, with notable difference in inclusion criteria, PCE timing, and cardiac activity definition. In MCA (15 studies, 2239 patients), the absence of cardiac activity on PCE had a sensitivity of 72% [95% CI 62-80%] and specificity of 80% [95% CI 58-92%] to predict LTD. Although the low numbers of studies in TCA preluded meta-analysis, all patients who lacked cardiac activity on PCE eventually died.

Conclusions: The absence of cardiac motion on PCE for MCA predicts higher likelihood of death but does not have sufficient accuracy to be used as a stand-alone tool to terminate resuscitation. In TCA, the absence of cardiac activity is associated with 100% mortality rate, but low number of patients requires further studies to validate this finding. Future work would benefit from a standardized protocol for PCE timing and agreement on cardiac activity definition.

Abstract Image

Abstract Image

Abstract Image

护理点超声心动图显示无心脏活动能否预测院外心脏骤停患者的死亡?系统回顾和荟萃分析。
目的:本系统综述和荟萃分析的目的是评估护理点超声心动图(PCE)上无心脏运动在预测院外和急诊科各种病因的成人心脏骤停患者的复苏终止(TOR)、短期死亡(STD)和长期死亡(LTD)方面的准确性:根据 PRISMA 指南进行了系统回顾和荟萃分析。从检查到 2022 年 8 月,在 Medline、EMBASE、Cochrane、WHO 注册表和 ClinicalTrials.gov 中进行了文献检索。使用 QUADAS-2 工具评估偏倚风险。元分析分为医源性心脏骤停(MCA)和创伤性心脏骤停(TCA)。使用双变量随机效应计算灵敏度和特异性,使用I2统计量分析异质性:共有 27 项研究(3657 名患者)被纳入系统综述。各研究的方法存在很大差异,在纳入标准、PCE时间和心脏活动定义方面也有显著不同。在 MCA(15 项研究,2239 名患者)中,PCE 无心脏活动预测 LTD 的灵敏度为 72% [95% CI 62-80%],特异性为 80% [95% CI 58-92%]。尽管 TCA 研究的数量较少,但所有 PCE 缺乏心脏活动的患者最终都死亡了:结论:在 MCA 的 PCE 中没有心脏活动可预测更高的死亡可能性,但其准确性不足以单独作为终止复苏的工具。在 TCA 中,没有心脏活动与 100% 的死亡率相关,但患者人数较少,需要进一步研究来验证这一发现。未来的工作将受益于 PCE 时间的标准化方案和对心脏活动定义的一致意见。
本文章由计算机程序翻译,如有差异,请以英文原文为准。
求助全文
约1分钟内获得全文 求助全文
来源期刊
Ultrasound Journal
Ultrasound Journal Health Professions-Radiological and Ultrasound Technology
CiteScore
6.80
自引率
2.90%
发文量
45
审稿时长
22 weeks
×
引用
GB/T 7714-2015
复制
MLA
复制
APA
复制
导出至
BibTeX EndNote RefMan NoteFirst NoteExpress
×
提示
您的信息不完整,为了账户安全,请先补充。
现在去补充
×
提示
您因"违规操作"
具体请查看互助需知
我知道了
×
提示
确定
请完成安全验证×
copy
已复制链接
快去分享给好友吧!
我知道了
右上角分享
点击右上角分享
0
联系我们:info@booksci.cn Book学术提供免费学术资源搜索服务,方便国内外学者检索中英文文献。致力于提供最便捷和优质的服务体验。 Copyright © 2023 布克学术 All rights reserved.
京ICP备2023020795号-1
ghs 京公网安备 11010802042870号
Book学术文献互助
Book学术文献互助群
群 号:604180095
Book学术官方微信