Kidney R2* Mapping for Noninvasive Evaluation of Iron Overload in Paroxysmal Nocturnal Hemoglobinuria.

IF 3.2
Koichi Ito, Kazuyuki Ohgi, Koichiro Kimura, Koichi Ishitaki, Akiyoshi Yamashita, Hiroyuki Yokote, Shunji Tsukuda, Ko Matsushita, Yuko Naraoka, Amon Fujioka, Tatsuki Ono
{"title":"Kidney R2* Mapping for Noninvasive Evaluation of Iron Overload in Paroxysmal Nocturnal Hemoglobinuria.","authors":"Koichi Ito, Kazuyuki Ohgi, Koichiro Kimura, Koichi Ishitaki, Akiyoshi Yamashita, Hiroyuki Yokote, Shunji Tsukuda, Ko Matsushita, Yuko Naraoka, Amon Fujioka, Tatsuki Ono","doi":"10.2463/mrms.mp.2023-0114","DOIUrl":null,"url":null,"abstract":"<p><strong>Purpose: </strong>The kidney iron deposition can cause kidney damage and renal insufficiency in paroxysmal nocturnal hemoglobinuria (PNH) patients. Assessment of iron deposition in the kidney is essential for the early diagnosis of renal damage in PNH patients. The purpose of this study was to evaluate kidney R2* (T2* reciprocals) values in PNH patients using the iterative decomposition of water and fat with echo asymmetry and least-squares estimation (IDEAL-IQ).</p><p><strong>Methods: </strong>Two radiologists measured the R2* values of the renal cortex in 14 PNH patients and 13 healthy volunteers using IDEAL-IQ. Lactate dehydrogenase (LDH), a reliable marker of intravascular hemolysis, was also measured in all participants.</p><p><strong>Results: </strong>The kidney R2* values were significantly higher in PNH patients compared with those in healthy volunteers (P < 0.001). High inter-operator reproducibility of the measurements was also acquired using IDEAL-IQ. LDH levels were also significantly higher in PNH patients compared with those in healthy volunteers (P < 0.001). Kidney R2* values strongly correlated with LDH levels in PNH patients.</p><p><strong>Conclusion: </strong>IDEAL-IQ has a possibility of becoming a useful method for the noninvasive evaluation of renal iron overload in PNH patients.</p>","PeriodicalId":94126,"journal":{"name":"Magnetic resonance in medical sciences : MRMS : an official journal of Japan Society of Magnetic Resonance in Medicine","volume":" ","pages":"204-209"},"PeriodicalIF":3.2000,"publicationDate":"2025-04-01","publicationTypes":"Journal Article","fieldsOfStudy":null,"isOpenAccess":false,"openAccessPdf":"https://www.ncbi.nlm.nih.gov/pmc/articles/PMC11996248/pdf/","citationCount":"0","resultStr":null,"platform":"Semanticscholar","paperid":null,"PeriodicalName":"Magnetic resonance in medical sciences : MRMS : an official journal of Japan Society of Magnetic Resonance in Medicine","FirstCategoryId":"1085","ListUrlMain":"https://doi.org/10.2463/mrms.mp.2023-0114","RegionNum":0,"RegionCategory":null,"ArticlePicture":[],"TitleCN":null,"AbstractTextCN":null,"PMCID":null,"EPubDate":"2024/2/16 0:00:00","PubModel":"Epub","JCR":"","JCRName":"","Score":null,"Total":0}
引用次数: 0

Abstract

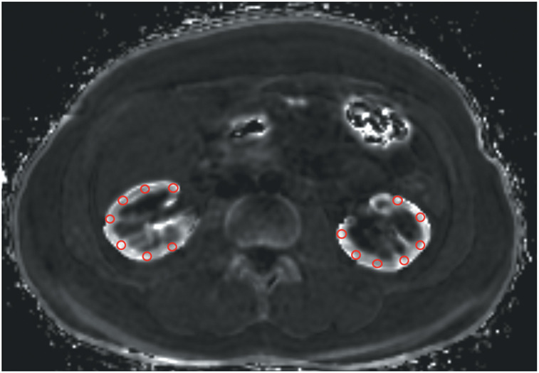
Purpose: The kidney iron deposition can cause kidney damage and renal insufficiency in paroxysmal nocturnal hemoglobinuria (PNH) patients. Assessment of iron deposition in the kidney is essential for the early diagnosis of renal damage in PNH patients. The purpose of this study was to evaluate kidney R2* (T2* reciprocals) values in PNH patients using the iterative decomposition of water and fat with echo asymmetry and least-squares estimation (IDEAL-IQ).

Methods: Two radiologists measured the R2* values of the renal cortex in 14 PNH patients and 13 healthy volunteers using IDEAL-IQ. Lactate dehydrogenase (LDH), a reliable marker of intravascular hemolysis, was also measured in all participants.

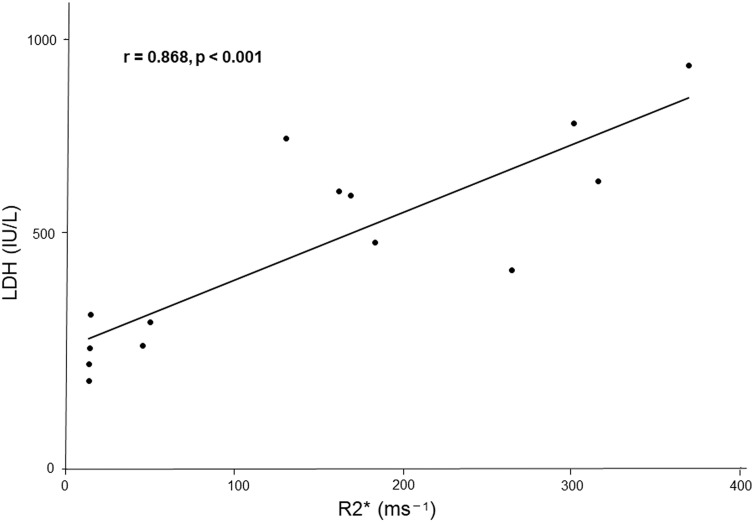
Results: The kidney R2* values were significantly higher in PNH patients compared with those in healthy volunteers (P < 0.001). High inter-operator reproducibility of the measurements was also acquired using IDEAL-IQ. LDH levels were also significantly higher in PNH patients compared with those in healthy volunteers (P < 0.001). Kidney R2* values strongly correlated with LDH levels in PNH patients.

Conclusion: IDEAL-IQ has a possibility of becoming a useful method for the noninvasive evaluation of renal iron overload in PNH patients.

Abstract Image

Abstract Image

Abstract Image

用于阵发性夜间血红蛋白尿症铁超载无创评估的肾脏 R2* 图谱。
目的:肾脏铁沉积可导致阵发性夜间血红蛋白尿症(PNH)患者的肾脏损伤和肾功能不全。评估肾脏中的铁沉积对早期诊断 PNH 患者的肾脏损伤至关重要。本研究的目的是使用回声不对称和最小二乘估计(IDEAL-IQ)的水和脂肪迭代分解法评估 PNH 患者的肾脏 R2*(T2*倒数)值:两名放射科医生使用 IDEAL-IQ 测量了 14 名 PNH 患者和 13 名健康志愿者的肾皮质 R2* 值。同时还测量了所有参与者的乳酸脱氢酶(LDH),这是血管内溶血的可靠标记:结果:与健康志愿者相比,PNH 患者的肾脏 R2* 值明显升高(P 结论:IDEAL-IQ 有可能为 PNH 患者和健康志愿者提供更高的肾脏 R2* 值:IDEAL-IQ 有可能成为无创评估 PNH 患者肾脏铁负荷过重的有效方法。
本文章由计算机程序翻译,如有差异,请以英文原文为准。
求助全文
约1分钟内获得全文 求助全文
来源期刊
自引率
0.00%
发文量
0
×
引用
GB/T 7714-2015
复制
MLA
复制
APA
复制
导出至
BibTeX EndNote RefMan NoteFirst NoteExpress
×
提示
您的信息不完整,为了账户安全,请先补充。
现在去补充
×
提示
您因"违规操作"
具体请查看互助需知
我知道了
×
提示
确定
请完成安全验证×
copy
已复制链接
快去分享给好友吧!
我知道了
右上角分享
点击右上角分享
0
联系我们:info@booksci.cn Book学术提供免费学术资源搜索服务,方便国内外学者检索中英文文献。致力于提供最便捷和优质的服务体验。 Copyright © 2023 布克学术 All rights reserved.
京ICP备2023020795号-1
ghs 京公网安备 11010802042870号
Book学术文献互助
Book学术文献互助群
群 号:604180095
Book学术官方微信