Effects of coenzyme Q10 supplementation on oxidative stress biomarkers following reperfusion in STEMI patients undergoing primary percutaneous coronary intervention.

IF 0.7 Q3 CARDIAC & CARDIOVASCULAR SYSTEMS
Amirhossein Yazdi, Kimia Shirmohammadi, Erfan Parvaneh, Taher Entezari-Maleki, Seyed Kianoosh Hosseini, Akram Ranjbar, Maryam Mehrpooya
{"title":"Effects of coenzyme Q10 supplementation on oxidative stress biomarkers following reperfusion in STEMI patients undergoing primary percutaneous coronary intervention.","authors":"Amirhossein Yazdi, Kimia Shirmohammadi, Erfan Parvaneh, Taher Entezari-Maleki, Seyed Kianoosh Hosseini, Akram Ranjbar, Maryam Mehrpooya","doi":"10.34172/jcvtr.2023.31817","DOIUrl":null,"url":null,"abstract":"<p><strong>Introduction: </strong>It is well-established that oxidative stress is deeply involved in myocardial ischemia-reperfusion injury. Considering the potent antioxidant properties of coenzyme Q10 (CoQ10), we aimed to assess whether CoQ10 supplementation could exert beneficial effects on plasma levels of oxidative stress biomarkers in patients with ST-elevation myocardial infarction (STEMI) undergoing primary percutaneous coronary intervention (PPIC).</p><p><strong>Methods: </strong>Seventy patients with the first attack of STEMI, eligible for PPCI were randomly assigned to receive either standard treatments plus CoQ10 (400 mg before PPCI and 200 mg twice daily for three days after PPCI) or standard treatments plus placebo. Plasma levels of oxidative stress biomarkers, including superoxide dismutase (SOD), catalase (CAT), glutathione peroxidase (GPx), total antioxidant capacity (TAC), and malondialdehyde (MDA) were measured at 6, 24, and 72 hours after completion of PPCI.</p><p><strong>Results: </strong>The changes in plasma levels of the studied biomarkers at 6 and 24 hours after PPCI were similar in the both groups (<i>P</i> values>0.05). This is while at 72 hours, the CoQ10- treated group exhibited significantly higher plasma levels of SOD (<i>P</i> value<0.001), CAT (<i>P</i> value=0.001), and TAC (<i>P</i> value<0.001), along with a lower plasma level of MDA (<i>P</i> value=0.002) compared to the placebo-treated group. The plasma activity of GPX showed no significant difference between the groups at all the study time points (<i>P</i> values>0.05).</p><p><strong>Conclusion: </strong>This study showed that CoQ10 has the potential to modulate the balance between antioxidant and oxidant biomarkers after reperfusion therapy. Our results suggest that CoQ10, through its antioxidant capacity, may help reduce the reperfusion injury in ischemic myocardium.</p>","PeriodicalId":15207,"journal":{"name":"Journal of Cardiovascular and Thoracic Research","volume":"15 4","pages":"250-261"},"PeriodicalIF":0.7000,"publicationDate":"2023-01-01","publicationTypes":"Journal Article","fieldsOfStudy":null,"isOpenAccess":false,"openAccessPdf":"https://www.ncbi.nlm.nih.gov/pmc/articles/PMC10862029/pdf/","citationCount":"0","resultStr":null,"platform":"Semanticscholar","paperid":null,"PeriodicalName":"Journal of Cardiovascular and Thoracic Research","FirstCategoryId":"1085","ListUrlMain":"https://doi.org/10.34172/jcvtr.2023.31817","RegionNum":0,"RegionCategory":null,"ArticlePicture":[],"TitleCN":null,"AbstractTextCN":null,"PMCID":null,"EPubDate":"2023/12/30 0:00:00","PubModel":"Epub","JCR":"Q3","JCRName":"CARDIAC & CARDIOVASCULAR SYSTEMS","Score":null,"Total":0}
引用次数: 0

Abstract

Introduction: It is well-established that oxidative stress is deeply involved in myocardial ischemia-reperfusion injury. Considering the potent antioxidant properties of coenzyme Q10 (CoQ10), we aimed to assess whether CoQ10 supplementation could exert beneficial effects on plasma levels of oxidative stress biomarkers in patients with ST-elevation myocardial infarction (STEMI) undergoing primary percutaneous coronary intervention (PPIC).

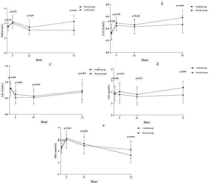
Methods: Seventy patients with the first attack of STEMI, eligible for PPCI were randomly assigned to receive either standard treatments plus CoQ10 (400 mg before PPCI and 200 mg twice daily for three days after PPCI) or standard treatments plus placebo. Plasma levels of oxidative stress biomarkers, including superoxide dismutase (SOD), catalase (CAT), glutathione peroxidase (GPx), total antioxidant capacity (TAC), and malondialdehyde (MDA) were measured at 6, 24, and 72 hours after completion of PPCI.

Results: The changes in plasma levels of the studied biomarkers at 6 and 24 hours after PPCI were similar in the both groups (P values>0.05). This is while at 72 hours, the CoQ10- treated group exhibited significantly higher plasma levels of SOD (P value<0.001), CAT (P value=0.001), and TAC (P value<0.001), along with a lower plasma level of MDA (P value=0.002) compared to the placebo-treated group. The plasma activity of GPX showed no significant difference between the groups at all the study time points (P values>0.05).

Conclusion: This study showed that CoQ10 has the potential to modulate the balance between antioxidant and oxidant biomarkers after reperfusion therapy. Our results suggest that CoQ10, through its antioxidant capacity, may help reduce the reperfusion injury in ischemic myocardium.

Abstract Image

Abstract Image

补充辅酶Q10对接受初级经皮冠状动脉介入治疗的STEMI患者再灌注后氧化应激生物标志物的影响。
导言:氧化应激深度参与了心肌缺血再灌注损伤,这一点已得到公认。考虑到辅酶Q10(CoQ10)的强效抗氧化特性,我们旨在评估补充辅酶Q10是否能对接受经皮冠状动脉介入治疗(PPIC)的ST段抬高型心肌梗死(STEMI)患者血浆中的氧化应激生物标志物水平产生有益影响:70名符合经皮冠状动脉介入治疗条件的STEMI首次发作患者被随机分配接受标准治疗加辅酶Q10(经皮冠状动脉介入治疗前400毫克,经皮冠状动脉介入治疗后三天内每天两次,每次200毫克)或标准治疗加安慰剂。在完成 PPCI 后 6、24 和 72 小时测量血浆中氧化应激生物标志物的水平,包括超氧化物歧化酶 (SOD)、过氧化氢酶 (CAT)、谷胱甘肽过氧化物酶 (GPx)、总抗氧化能力 (TAC) 和丙二醛 (MDA):结果:两组患者在气管插管术后 6 小时和 24 小时的血浆生物标志物水平变化相似(P 值均大于 0.05)。而在72小时后,与安慰剂治疗组相比,辅酶Q10治疗组的血浆SOD(P值=0.001)和TAC(P值=0.002)水平明显更高。在所有研究时间点,血浆中 GPX 的活性在各组间均无显著差异(P 值>0.05):本研究表明,CoQ10 有可能调节再灌注治疗后抗氧化剂和氧化剂生物标志物之间的平衡。我们的研究结果表明,辅酶Q10通过其抗氧化能力可帮助减轻缺血心肌的再灌注损伤。
本文章由计算机程序翻译,如有差异,请以英文原文为准。
求助全文
约1分钟内获得全文 求助全文
来源期刊
Journal of Cardiovascular and Thoracic Research
Journal of Cardiovascular and Thoracic Research CARDIAC & CARDIOVASCULAR SYSTEMS-
CiteScore
2.00
自引率
0.00%
发文量
22
审稿时长
7 weeks
×
引用
GB/T 7714-2015
复制
MLA
复制
APA
复制
导出至
BibTeX EndNote RefMan NoteFirst NoteExpress
×
提示
您的信息不完整,为了账户安全,请先补充。
现在去补充
×
提示
您因"违规操作"
具体请查看互助需知
我知道了
×
提示
确定
请完成安全验证×
copy
已复制链接
快去分享给好友吧!
我知道了
右上角分享
点击右上角分享
0
联系我们:info@booksci.cn Book学术提供免费学术资源搜索服务,方便国内外学者检索中英文文献。致力于提供最便捷和优质的服务体验。 Copyright © 2023 布克学术 All rights reserved.
京ICP备2023020795号-1
ghs 京公网安备 11010802042870号
Book学术文献互助
Book学术文献互助群
群 号:604180095
Book学术官方微信